50 bài tập trắc nghiệm Dấu của tam thức bậc hai (có đáp án)
50 bài tập trắc nghiệm Dấu của tam thức bậc hai (có đáp án)
(199k) Học Toán 10 KNTTHọc Toán 10 CDHọc Toán 10 CTST
Câu 1: Tam thức y = x2 - 12x - 13 nhận giá trị âm khi và chỉ khi
Ta có x2 - 12x - 13 < 0 ⇒ -1 < x < 13
Chọn đáp án D
Câu 2: Tam thức y = x2 - 2x - 3 nhận giá trị dương khi và chỉ khi
Chọn đáp án B
Câu 3: Tập nghiệm của bất phương trình x2 - 25 > 0 là
Chọn đáp án D
Câu 4: Tìm tập nghiệm của bất phương trình x2 - 4√2 + 8 < 0.
Chọn đáp án C
Câu 5: Tập nghiệm của bất phương trình x2 - x - 6 < 0 là
Chọn đáp án C
Câu 6: Tập nghiệm của bất phương trình là
Chọn đáp án A
Câu 7: Tam thức f(x) = 2mx2 - 2mx - 1 nhận giá trị âm với mọi x khi và chỉ khi
Chọn đáp án C
Câu 8: Tìm tập xác định của hàm số .
Chọn đáp án A
Câu 9: Tập nghiệm của bất phương trình |x2 - x - 12| > x + 12 - x2 là
Chọn đáp án A
Câu 10: Tập nghiệm của bất phương trình √x - 3x ≤ 0 là
Chọn đáp án C
Câu 11: Tam thức y = -x2 - 3x - 4 nhận giá trị âm khi và chỉ khi
Chọn đáp án D
Câu 12: Tam thức nào sau đây nhận giá trị âm với mọi x < 2?
Chọn đáp án D
Câu 13: Tập nghiệm của bất phương trình x2 - 4x + 4 > 0 là
Chọn đáp án A
Câu 14: Tập nghiệm của bất phương trình x2 + (√2 + √3)x + √6 ≤ 0 là
Chọn đáp án C
Câu 15: Tập nghiệm của bất phương trình là
Chọn đáp án A
Câu 16: Tập nghiệm của bất phương trình là
Chọn đáp án D
Câu 17: Tập xác định của hàm số là
Chọn đáp án B
Câu 18: Tập xác định của hàm số là
Chọn đáp án C
Câu 19: Tập xác định của hàm số là
Chọn đáp án A
Câu 20: Tập nghiệm của bất phương trình |x2 + x + 12| > x2 + x + 12 là
Chọn đáp án A
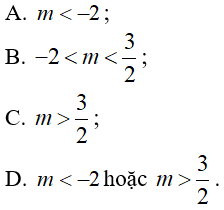
Câu 21: Biểu thức (m2 + 2)x2 - 2(m - 2)x + 2 luôn nhận giá trị dương khi và chỉ khi
Chọn đáp án B
Câu 22: Tìm tập xác định của hàm số
Chọn đáp án B
Câu 23: Tập nghiệm của bất phương trình √x - 2x < 0 là
Chọn đáp án A
Câu 24: Tập nghiệm của bất phương trình là
Chọn đáp án C
Câu 25: Tập nghiệm của bất phương trình (ẩn m) là
Chọn đáp án D
Câu 26: Tập nghiệm của bất phương trình là
Chọn đáp án A
Câu 27: Kí hiệu n là số nghiệm của phương trình .
Khẳng định nào sau đây là đúng?
Chọn đáp án B
Câu 28: Tập nghiệm của bất phương trình là
Chọn đáp án C
Câu 29: Phương trình (m + 2)x2 - 3x + 2m - 3 = 0 có hai nghiệm trái dấu khi và chỉ khi
Để phương trình đã cho có 2 nghiệm trái dấu khi và chỉ khi phương trình đã cho là phương trình bậc hai và ac < 0.
Chọn đáp án B
Câu 30: Tập nghiệm của phương trình là
Chọn đáp án C
Câu 31: Tập nghiệm của phương trình là
Chọn đáp án B
Câu 32: Nếu 2 < m < 8 thì phương trình x2 - mx + 2m - 3 = 0 có bao nhiêu nghiệm?
A. 0;
B. 1;
C. 2;
D. không xác định được.
Chọn đáp án D
Câu 33: Phương trình (m + 1)2 - x - 3m + 4 = 0 có hai nghiệm trái dấu khi và chỉ khi
Chọn đáp án A
Câu 34: Phương trình x2 - mx - 2m = 0 có nghiệm khi và chỉ khi
Chọn đáp án D
Câu 35: Giá trị nào sau đây là nghiệm của phương trình ?
A. 4/3;
B. -4;
C. 4;
D. 0.
Chọn đáp án D
Câu 36: Với giá trị nào của tham số m thì bất phương trình (m + 1)x - m2 - m + 2 = 0 có tập nghiệm là (0; +∞)?
Chọn đáp án B
Câu 37: Phương trình x2 - 2(m + 2)x + m2 - m - 6 = 0 có hai nghiệm trái dấu khi và chỉ khi
Chọn đáp án D
Câu 38: Phương trình x2 - mx - m = 0 vô nghiệm khi và chỉ khi
Chọn đáp án C
Câu 39: Cho hệ bất phương trình
Hệ đã cho có nghiệm khi và chỉ khi
Chọn đáp án A
Câu 40: Tập xác định của hàm số là
Chọn đáp án C
Câu 41: Tập xác định của hàm số là
Chọn đáp án A
Câu 42: Tập xác định của hàm số là
Chọn đáp án C
Câu 43: Phương trình x2 - 2(m - 2)x + m2 - m - 6 = 0 có hai nghiệm đối nhau khi và chỉ khi
Chọn đáp án A
Câu 44: Với điều kiện nào của tham số m thì hai phương trình sau cùng vô nghiệm?
x2 + x + m = 0; x2 + (m + 1)x + 1 = 0.
Chọn đáp án B
Câu 45: Tập nghiệm của bất phương trình là
Chọn đáp án D
Câu 46: Tập nghiệm của hệ bất phương trình là
Chọn đáp án A
Câu 47: Bất phương trình có tập nghiệm là
Chọn đáp án D
Câu 48: Tập tất cả các giá trị của tham số m để phương trình có nghiệm là
Chọn đáp án B
Câu 49: Tập tất cả các giá trị của tham số m để phương trình có nghiệm là
Chọn đáp án A
Câu 50: Tìm tất cả các giá trị của tham số m để tập xác định của hàm số là một đoạn trên trục số.
Chọn đáp án A
(199k) Học Toán 10 KNTTHọc Toán 10 CDHọc Toán 10 CTST
Xem thêm bài tập trắc nghiệm Toán lớp 10 có đáp án hay khác:
- Top 40 Bài tập trắc nghiệm Bất đẳng thức; Bất phương trình
- 11 bài tập trắc nghiệm Bảng phân bố tần số và tần suất
- 8 bài tập trắc nghiệm Số trung bình cộng; Số trung vị; Mốt
- Top 5 Bài tập trắc nghiệm Thống kê
- Đề kiểm tra Đại số 10 Chương 5 (có đáp án)
Tủ sách VIETJACK shopee lớp 10-11 (cả 3 bộ sách):
Đã có app VietJack trên điện thoại, giải bài tập SGK, SBT Soạn văn, Văn mẫu, Thi online, Bài giảng....miễn phí. Tải ngay ứng dụng trên Android và iOS.
Theo dõi chúng tôi miễn phí trên mạng xã hội facebook và youtube:Nếu thấy hay, hãy động viên và chia sẻ nhé! Các bình luận không phù hợp với nội quy bình luận trang web sẽ bị cấm bình luận vĩnh viễn.
- Giải Tiếng Anh 10 Global Success
- Giải Tiếng Anh 10 Friends Global
- Giải sgk Tiếng Anh 10 iLearn Smart World
- Giải sgk Tiếng Anh 10 Explore New Worlds
- Lớp 10 - Kết nối tri thức
- Soạn văn 10 (hay nhất) - KNTT
- Soạn văn 10 (ngắn nhất) - KNTT
- Soạn văn 10 (siêu ngắn) - KNTT
- Giải sgk Toán 10 - KNTT
- Giải sgk Vật lí 10 - KNTT
- Giải sgk Hóa học 10 - KNTT
- Giải sgk Sinh học 10 - KNTT
- Giải sgk Địa lí 10 - KNTT
- Giải sgk Lịch sử 10 - KNTT
- Giải sgk Kinh tế và Pháp luật 10 - KNTT
- Giải sgk Tin học 10 - KNTT
- Giải sgk Công nghệ 10 - KNTT
- Giải sgk Hoạt động trải nghiệm 10 - KNTT
- Giải sgk Giáo dục quốc phòng 10 - KNTT
- Lớp 10 - Chân trời sáng tạo
- Soạn văn 10 (hay nhất) - CTST
- Soạn văn 10 (ngắn nhất) - CTST
- Soạn văn 10 (siêu ngắn) - CTST
- Giải Toán 10 - CTST
- Giải sgk Vật lí 10 - CTST
- Giải sgk Hóa học 10 - CTST
- Giải sgk Sinh học 10 - CTST
- Giải sgk Địa lí 10 - CTST
- Giải sgk Lịch sử 10 - CTST
- Giải sgk Kinh tế và Pháp luật 10 - CTST
- Giải sgk Hoạt động trải nghiệm 10 - CTST
- Lớp 10 - Cánh diều
- Soạn văn 10 (hay nhất) - Cánh diều
- Soạn văn 10 (ngắn nhất) - Cánh diều
- Soạn văn 10 (siêu ngắn) - Cánh diều
- Giải sgk Toán 10 - Cánh diều
- Giải sgk Vật lí 10 - Cánh diều
- Giải sgk Hóa học 10 - Cánh diều
- Giải sgk Sinh học 10 - Cánh diều
- Giải sgk Địa lí 10 - Cánh diều
- Giải sgk Lịch sử 10 - Cánh diều
- Giải sgk Kinh tế và Pháp luật 10 - Cánh diều
- Giải sgk Tin học 10 - Cánh diều
- Giải sgk Công nghệ 10 - Cánh diều
- Giải sgk Hoạt động trải nghiệm 10 - Cánh diều
- Giải sgk Giáo dục quốc phòng 10 - Cánh diều


Giải bài tập SGK & SBT
Tài liệu giáo viên
Sách
Khóa học
Thi online
Hỏi đáp

