27 bài tập trắc nghiệm Cấp số nhân (có đáp án)
Với 27 bài tập & câu hỏi trắc nghiệm Cấp số nhân lớp 11 có đáp án và lời giải chi tiết đầy đủ các mức độ nhận biết, thông hiểu, vận dụng sẽ giúp học sinh ôn tập trắc nghiệm Toán 11.
27 bài tập trắc nghiệm Cấp số nhân (có đáp án)
(199k) Học Toán 11 KNTTHọc Toán 11 CDHọc Toán 11 CTST
Câu 1: Cho các dãy số sau
Hỏi có bao nhiêu dãy số là cấp số nhân ?
A. 1
B. 2
C. 3
D. 4
Chọn đáp án A
Câu 2: Cho cấp số nhân (un) với
Chọn đáp án B
Câu 3: Cho cấp số nhân (un) với u1 = 4 ; q = - 4 Viết 3 số hạng tiếp theo và số hạng tổng quát un?
A. 16; -64; 256; (-4)n.
B. 16; -64; 256; (-4)n.
C. -16; 64; 256; 4.(-4)n - 1.
D. -16; 64; -256; 4n.
Chọn đáp án C
Câu 4: Cho cấp số nhân (un) với u1 = -1; q = -1/10 . Số là số hạng thứ mấy của (un) ?
A. Số hạng thứ 103
B. Số hạng thứ 104
C. Số hạng thứ 105
D. Đáp án khác
Chọn đáp án B
Câu 5: Cho dãy số (un) với
a. Tìm công bội của dãy số (un).
b. Tính tổng S = u2 + u4 + u6 + ... + u20
c. Số 19683 là số hạng thứ mấy của dãy số.
A. 15
B. 17
C. 19
D. 16
Chọn đáp án B
Chọn đáp án C
Chọn đáp án D
Câu 6: Cho cấp số nhân có 7 số hạng, số hạng thứ tư bằng 6 và số hạng thứ 7 gấp 243 lần số hạng thứ hai. Hãy tìm số hạng còn lại của cấp số nhân đó.
Chọn đáp án D
Câu 7: Cho cấp số nhân có u2 = 1/4; u5 = 16 . Tìm q và u1
Chọn đáp án C
Câu 8: Cho cấp số nhân (un) thỏa mãn :
a. Tìm công bội và số hạng tổng quát của cấp số
b. Tính tổng S2011
Chọn đáp án C
Chọn đáp án C
Câu 9: Cho cấp số nhân: . Giá trị của a là:
Chọn đáp án B
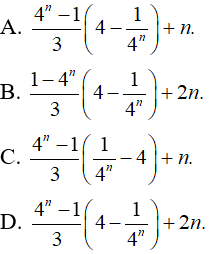
Câu 10: Tính tổng sau
Chọn đáp án D
Câu 11: Mệnh đề nào dưới đây sai?
A. Dãy số 1; -2; 4; -8; 16; -32; 64 là một cấp số nhân.
B. Dãy số 7; 0; 0; 0;... là một cấp số nhân.
C. Dãy số (un):un = n.6n + 1 là một cấp số nhân.
D. Dãy số (vn):vn = (-1)n.32n là một cấp số nhân.
Chọn đáp án C
Câu 12: Dãy số (un) có phải là cấp số nhân không ? Nếu phải hãy xác định số công bội ? Biết rằng un = 4.3n
A. q = 3
B. q = 2
C. q = 4
D. q = ∅
Chọn đáp án A
Câu 13: Cho cấp số nhân (un) với u1 = 3; q = -2 . Số 192 là số hạng thứ mấy của (un) ?
A. Số hạng thứ 5.
B. Số hạng thứ 6.
C. Số hạng thứ 7.
D. Không là số hạng của cấp số đã cho.
Chọn đáp án C
(199k) Học Toán 11 KNTTHọc Toán 11 CDHọc Toán 11 CTST
Xem thêm Bài tập trắc nghiệm Toán 11 có lời giải hay khác:
- 27 bài tập trắc nghiệm Cấp số nhân (phần 2)
- 18 bài tập trắc nghiệm tổng hợp Dãy số
- Đề kiểm tra Toán 11 Đại số Chương 3
- 41 bài tập trắc nghiệm Giới hạn của dãy số (có đáp án)
- 41 bài tập trắc nghiệm Giới hạn của dãy số (phần 2)
Tủ sách VIETJACK shopee lớp 10-11 (cả 3 bộ sách):
Đã có app VietJack trên điện thoại, giải bài tập SGK, SBT Soạn văn, Văn mẫu, Thi online, Bài giảng....miễn phí. Tải ngay ứng dụng trên Android và iOS.
Theo dõi chúng tôi miễn phí trên mạng xã hội facebook và youtube:Nếu thấy hay, hãy động viên và chia sẻ nhé! Các bình luận không phù hợp với nội quy bình luận trang web sẽ bị cấm bình luận vĩnh viễn.
- Giải Tiếng Anh 11 Global Success
- Giải sgk Tiếng Anh 11 Smart World
- Giải sgk Tiếng Anh 11 Friends Global
- Lớp 11 - Kết nối tri thức
- Soạn văn 11 (hay nhất) - KNTT
- Soạn văn 11 (ngắn nhất) - KNTT
- Giải sgk Toán 11 - KNTT
- Giải sgk Vật Lí 11 - KNTT
- Giải sgk Hóa học 11 - KNTT
- Giải sgk Sinh học 11 - KNTT
- Giải sgk Lịch Sử 11 - KNTT
- Giải sgk Địa Lí 11 - KNTT
- Giải sgk Giáo dục KTPL 11 - KNTT
- Giải sgk Tin học 11 - KNTT
- Giải sgk Công nghệ 11 - KNTT
- Giải sgk Hoạt động trải nghiệm 11 - KNTT
- Giải sgk Giáo dục quốc phòng 11 - KNTT
- Giải sgk Âm nhạc 11 - KNTT
- Lớp 11 - Chân trời sáng tạo
- Soạn văn 11 (hay nhất) - CTST
- Soạn văn 11 (ngắn nhất) - CTST
- Giải sgk Toán 11 - CTST
- Giải sgk Vật Lí 11 - CTST
- Giải sgk Hóa học 11 - CTST
- Giải sgk Sinh học 11 - CTST
- Giải sgk Lịch Sử 11 - CTST
- Giải sgk Địa Lí 11 - CTST
- Giải sgk Giáo dục KTPL 11 - CTST
- Giải sgk Hoạt động trải nghiệm 11 - CTST
- Giải sgk Âm nhạc 11 - CTST
- Lớp 11 - Cánh diều
- Soạn văn 11 Cánh diều (hay nhất)
- Soạn văn 11 Cánh diều (ngắn nhất)
- Giải sgk Toán 11 - Cánh diều
- Giải sgk Vật Lí 11 - Cánh diều
- Giải sgk Hóa học 11 - Cánh diều
- Giải sgk Sinh học 11 - Cánh diều
- Giải sgk Lịch Sử 11 - Cánh diều
- Giải sgk Địa Lí 11 - Cánh diều
- Giải sgk Giáo dục KTPL 11 - Cánh diều
- Giải sgk Tin học 11 - Cánh diều
- Giải sgk Công nghệ 11 - Cánh diều
- Giải sgk Hoạt động trải nghiệm 11 - Cánh diều
- Giải sgk Giáo dục quốc phòng 11 - Cánh diều
- Giải sgk Âm nhạc 11 - Cánh diều


Giải bài tập SGK & SBT
Tài liệu giáo viên
Sách
Khóa học
Thi online
Hỏi đáp

