41 bài tập trắc nghiệm Giới hạn của dãy số (có đáp án - phần 2)
Với 41 bài tập & câu hỏi trắc nghiệm Giới hạn của dãy số lớp 11 có đáp án và lời giải chi tiết đầy đủ các mức độ nhận biết, thông hiểu, vận dụng sẽ giúp học sinh ôn tập trắc nghiệm Toán 11.
41 bài tập trắc nghiệm Giới hạn của dãy số (có đáp án - phần 2)
(199k) Học Toán 11 KNTTHọc Toán 11 CDHọc Toán 11 CTST
Câu 21: Tính lim(5n - n2 + 1)
A.
B.
C. 5.
D. -1
Chọn đáp án B
Câu 22: Tính lim un, với ?
A. 5
B. 0
C. 3
D. - 7
Chọn đáp án A
Câu 23: Tính lim un với ?
A. – 3
B. 1
C. 2
D. 0
Chia cả tử và mẫu của phân thức cho n3 (n3 là lũy thừa bậc cao nhất của n trong phân thức), ta được:
Chọn đáp án C
Câu 24: Giới hạn của dãy số (un) với bằng
A. 1
B. 0
C.
D.
Chia cả tử và mẫu của phân thức cho n4 (n4 là bậc cao nhất của n trong phân thức), ta được
Chọn đáp án B
Câu 25: Giới hạn của dãy số (un) với , bằng
A. 3/2
B.0
C. +∞.
D. 1
Cách 1: Chia cả tử và mẫu cho n2 (n2 là lũy thừa bậc cao nhất của n trong mẫu thức), ta được :
Cách 2: Ta có:
Chọn đáp án C
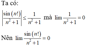
Câu 26: bằng
A. 0
B.1
C. +∞
D. 2
Chọn đáp án A
Câu 27: Tính giới hạn
A. I = -1
B. I = 1
C. I = 0
D. I = +∞
Chọn đáp án A
Câu 28: bằng:
A. +∞
B. -∞
C. -1
D. 0
Chọn đáp án B
Câu 29: bằng:
A. – 1
B. 3
C. +∞
D. -∞
Chọn đáp án C
Câu 30: bằng :
A. – 1
B. 1
C. +∞
D. -∞
Ta tiến hành nhân chia với biểu thức liên hợp (bậc ba) của
Chọn đáp án A
Câu 31: bằng :
A. -∞.
B. 3
C. +∞.
D. 5/2.
Chọn đáp án C
Câu 32: bằng :
A. 1
B. 7
C. 3/5
D. 7/5
Chọn đáp án B
Câu 33: Số thập phân vô hạn tuần hoàn 0,32111... được biểu diễn dưới dạng phân số tối giản a/b, trong đó a, b là các số nguyên dương. Tính a - b .
A. 611
B. 27901
C. - 611
D. -27901 .
Chọn đáp án C
Câu 34: bằng:
A. +∞
B. 3
C. 3/2
D. 2/3
Chọn đáp án A
Câu 35: Giá trị của bằng:
A. +∞
B. -∞
C. 0
D. 1
Chọn đáp án C
Câu 36: Kết quả đúng của là:
A. 4
B. 5
C. –4
D. 1/4
Chọn đáp án B
Câu 37: Giá trị của bằng:
A. +∞
B. -∞
C. 16
D. 1
Chọn đáp án C
Câu 38: Cho dãy số un với . Chọn kết quả đúng của lim un là:
A. -∞
B. 0
C. 1
D. +∞
Chọn đáp án B
Câu 39: Tính giới hạn:
A.0
B. 1/3
C. 2/3
D. 1
Chọn đáp án B
Câu 40: Giá trị của bằng:
A. +∞
B. -∞
C. 1/2
D. 1
Chọn đáp án C
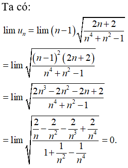
Câu 41: Tính giới hạn:
A. 3/4
B. 1
C. 0
D. 2/3
Chọn đáp án A
(199k) Học Toán 11 KNTTHọc Toán 11 CDHọc Toán 11 CTST
Xem thêm Bài tập trắc nghiệm Toán 11 có lời giải hay khác:
- 40 bài tập trắc nghiệm Giới hạn của hàm số (có đáp án)
- 40 bài tập trắc nghiệm Giới hạn của hàm số (phần 2)
- 15 bài tập trắc nghiệm Hàm số liên tục
- 40 bài tập trắc nghiệm tổng hợp Giới hạn (có đáp án)
- 40 bài tập trắc nghiệm tổng hợp Giới hạn (phần 2)
Tủ sách VIETJACK shopee lớp 10-11 (cả 3 bộ sách):
Đã có app VietJack trên điện thoại, giải bài tập SGK, SBT Soạn văn, Văn mẫu, Thi online, Bài giảng....miễn phí. Tải ngay ứng dụng trên Android và iOS.
Theo dõi chúng tôi miễn phí trên mạng xã hội facebook và youtube:Nếu thấy hay, hãy động viên và chia sẻ nhé! Các bình luận không phù hợp với nội quy bình luận trang web sẽ bị cấm bình luận vĩnh viễn.
- Giải Tiếng Anh 11 Global Success
- Giải sgk Tiếng Anh 11 Smart World
- Giải sgk Tiếng Anh 11 Friends Global
- Lớp 11 - Kết nối tri thức
- Soạn văn 11 (hay nhất) - KNTT
- Soạn văn 11 (ngắn nhất) - KNTT
- Giải sgk Toán 11 - KNTT
- Giải sgk Vật Lí 11 - KNTT
- Giải sgk Hóa học 11 - KNTT
- Giải sgk Sinh học 11 - KNTT
- Giải sgk Lịch Sử 11 - KNTT
- Giải sgk Địa Lí 11 - KNTT
- Giải sgk Giáo dục KTPL 11 - KNTT
- Giải sgk Tin học 11 - KNTT
- Giải sgk Công nghệ 11 - KNTT
- Giải sgk Hoạt động trải nghiệm 11 - KNTT
- Giải sgk Giáo dục quốc phòng 11 - KNTT
- Giải sgk Âm nhạc 11 - KNTT
- Lớp 11 - Chân trời sáng tạo
- Soạn văn 11 (hay nhất) - CTST
- Soạn văn 11 (ngắn nhất) - CTST
- Giải sgk Toán 11 - CTST
- Giải sgk Vật Lí 11 - CTST
- Giải sgk Hóa học 11 - CTST
- Giải sgk Sinh học 11 - CTST
- Giải sgk Lịch Sử 11 - CTST
- Giải sgk Địa Lí 11 - CTST
- Giải sgk Giáo dục KTPL 11 - CTST
- Giải sgk Hoạt động trải nghiệm 11 - CTST
- Giải sgk Âm nhạc 11 - CTST
- Lớp 11 - Cánh diều
- Soạn văn 11 Cánh diều (hay nhất)
- Soạn văn 11 Cánh diều (ngắn nhất)
- Giải sgk Toán 11 - Cánh diều
- Giải sgk Vật Lí 11 - Cánh diều
- Giải sgk Hóa học 11 - Cánh diều
- Giải sgk Sinh học 11 - Cánh diều
- Giải sgk Lịch Sử 11 - Cánh diều
- Giải sgk Địa Lí 11 - Cánh diều
- Giải sgk Giáo dục KTPL 11 - Cánh diều
- Giải sgk Tin học 11 - Cánh diều
- Giải sgk Công nghệ 11 - Cánh diều
- Giải sgk Hoạt động trải nghiệm 11 - Cánh diều
- Giải sgk Giáo dục quốc phòng 11 - Cánh diều
- Giải sgk Âm nhạc 11 - Cánh diều


Giải bài tập SGK & SBT
Tài liệu giáo viên
Sách
Khóa học
Thi online
Hỏi đáp

