40 bài tập trắc nghiệm Giới hạn (có đáp án)
Với 40 bài tập & câu hỏi trắc nghiệm Giới hạn lớp 11 có đáp án và lời giải chi tiết đầy đủ các mức độ nhận biết, thông hiểu, vận dụng sẽ giúp học sinh ôn tập trắc nghiệm Toán 11.
40 bài tập trắc nghiệm Giới hạn (có đáp án)
(199k) Xem Khóa học Toán 11 KNTTXem Khóa học Toán 11 CDXem Khóa học Toán 11 CTST
Bộ câu hỏi & bài tập trắc nghiệm Toán 11 sách mới:
Câu 1: Cho dãy số (un) với . Tính limun
A. 0
B.1
C. - ∞
D. + ∞
Chọn đáp án A
Câu 2: Cho dãy số (un) với . Tính lim un
A. -2
B. 0
C. - ∞
D. + ∞
Chọn đáp án B
Câu 3: Cho dãy số (un) với . Tính limun
A. 2/9
B. 0
C. -2/9
D. + ∞
Chọn đáp án B
Câu 4: Cho dãy số (un) với . Tính limun
A. -1/7
B. + ∞
C. 1/4
D. 0
Chọn đáp án D
Câu 5: Cho dãy số (un) với . Tính lim un
A. 1/3
B. + ∞
C. 1/4
D. 0
Chọn đáp án D
Câu 6: Cho dãy số (un) với . Tính
Chọn đáp án B
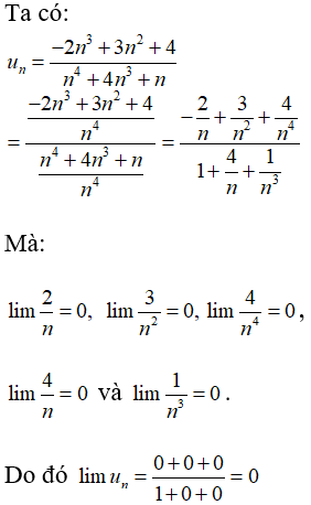
Câu 7: Cho dãy số (un) với . Tính limun
A. + ∞
B. 2
C. 0
D. 1
Chọn đáp án C
Câu 8: Cho dãy số (un) với . Tính lim un
A. 0
B. 2
C. 1/3
D. 1
Chọn đáp án A
Câu 9: Dãy số nào sau đây có giới hạn bằng 0?
Chọn đáp án D
Câu 10: Tính
A. 0.
B. 1.
C. + ∞.
D. 2.
Chọn đáp án A
Câu 11: Dãy số (un) với có giới hạn bằng
A. 5
B. 3
C. 0
D. 1
Chọn đáp án C
Câu 12: Tính giới hạn
A. 2
B. 4
C.6
D. 8
Chọn đáp án D
Câu 13: Tìm .
A. 1.
B. 2.
C. 3.
D. √2.
Chọn đáp án D
Câu 14: Tìm .
A. .
B. 0
C. 1
D. √2.
Chọn đáp án A
Câu 15: Tìm
A. 0
B. 6/8.
C. 36
D. 4/5.
Chọn đáp án A
Câu 16: Giá trị của là
A. 2
B. + ∞.
C. Không tồn tại.
D. - ∞.
Chọn đáp án B
Câu 17: Tính
A. 1/5
B. -1/5
C. 0
D. + ∞
Chọn đáp án B
Câu 18: Tính
A. + ∞.
B. - ∞.
C. 1
D. - 1
Chọn đáp án D
Câu 19: Cho dãy số (un ) với . Tính limun là:
A. - 1
B. 0
C. 1
D. 2
Chọn đáp án B
Câu 20: Tính .
A. + ∞.
B. - ∞.
C. 0
D. -1
Chọn đáp án B
(199k) Xem Khóa học Toán 11 KNTTXem Khóa học Toán 11 CDXem Khóa học Toán 11 CTST
Xem thêm Bài tập trắc nghiệm Toán 11 có lời giải hay khác:
- 40 bài tập trắc nghiệm tổng hợp Giới hạn (phần 2)
- Đề kiểm tra Toán 11 Đại số Chương 4
- 17 bài tập trắc nghiệm Định nghĩa và ý nghĩa của đạo hàm
- 37 bài tập trắc nghiệm Các quy tắc tính đạo hàm (có đáp án)
- 37 bài tập trắc nghiệm Các quy tắc tính đạo hàm (phần 2)
Tủ sách VIETJACK shopee lớp 10-11 (cả 3 bộ sách):
Đã có app VietJack trên điện thoại, giải bài tập SGK, SBT Soạn văn, Văn mẫu, Thi online, Bài giảng....miễn phí. Tải ngay ứng dụng trên Android và iOS.
Theo dõi chúng tôi miễn phí trên mạng xã hội facebook và youtube:Nếu thấy hay, hãy động viên và chia sẻ nhé! Các bình luận không phù hợp với nội quy bình luận trang web sẽ bị cấm bình luận vĩnh viễn.
- Giải Tiếng Anh 11 Global Success
- Giải sgk Tiếng Anh 11 Smart World
- Giải sgk Tiếng Anh 11 Friends Global
- Lớp 11 - Kết nối tri thức
- Soạn văn 11 (hay nhất) - KNTT
- Soạn văn 11 (ngắn nhất) - KNTT
- Giải sgk Toán 11 - KNTT
- Giải sgk Vật Lí 11 - KNTT
- Giải sgk Hóa học 11 - KNTT
- Giải sgk Sinh học 11 - KNTT
- Giải sgk Lịch Sử 11 - KNTT
- Giải sgk Địa Lí 11 - KNTT
- Giải sgk Giáo dục KTPL 11 - KNTT
- Giải sgk Tin học 11 - KNTT
- Giải sgk Công nghệ 11 - KNTT
- Giải sgk Hoạt động trải nghiệm 11 - KNTT
- Giải sgk Giáo dục quốc phòng 11 - KNTT
- Giải sgk Âm nhạc 11 - KNTT
- Lớp 11 - Chân trời sáng tạo
- Soạn văn 11 (hay nhất) - CTST
- Soạn văn 11 (ngắn nhất) - CTST
- Giải sgk Toán 11 - CTST
- Giải sgk Vật Lí 11 - CTST
- Giải sgk Hóa học 11 - CTST
- Giải sgk Sinh học 11 - CTST
- Giải sgk Lịch Sử 11 - CTST
- Giải sgk Địa Lí 11 - CTST
- Giải sgk Giáo dục KTPL 11 - CTST
- Giải sgk Hoạt động trải nghiệm 11 - CTST
- Giải sgk Âm nhạc 11 - CTST
- Lớp 11 - Cánh diều
- Soạn văn 11 Cánh diều (hay nhất)
- Soạn văn 11 Cánh diều (ngắn nhất)
- Giải sgk Toán 11 - Cánh diều
- Giải sgk Vật Lí 11 - Cánh diều
- Giải sgk Hóa học 11 - Cánh diều
- Giải sgk Sinh học 11 - Cánh diều
- Giải sgk Lịch Sử 11 - Cánh diều
- Giải sgk Địa Lí 11 - Cánh diều
- Giải sgk Giáo dục KTPL 11 - Cánh diều
- Giải sgk Tin học 11 - Cánh diều
- Giải sgk Công nghệ 11 - Cánh diều
- Giải sgk Hoạt động trải nghiệm 11 - Cánh diều
- Giải sgk Giáo dục quốc phòng 11 - Cánh diều
- Giải sgk Âm nhạc 11 - Cánh diều


Giải bài tập SGK & SBT
Tài liệu giáo viên
Sách
Khóa học
Thi online
Hỏi đáp

