Đề kiểm tra Toán 11 Đại số Chương 1 (có đáp án)
Đề kiểm tra Toán 11 Đại số Chương 1 (có đáp án)
(199k) Xem Khóa học Toán 11 KNTTXem Khóa học Toán 11 CDXem Khóa học Toán 11 CTST
Câu 1: Tìm tập xác định D của hàm số
.
Câu 2: Trong các hàm số sau, hàm số nào là hàm số chẵn?
A. y = - sin x
B. y = cosx - sinx
C. y = cosx + sin2x
D. y = cosx. sin x
Câu 3: Tìm chu kì T của hàm số
Câu 4: Tìm chu kì T của hàm số
Câu 5: Tìm chu kì T của hàm số y = 2sin2 + 3cos23x
A. T = π
B. T = 2π
C. T = 3π
D. T = π/3
Câu 6: Trong các hàm số sau, hàm số nào đồng biến trên khoảng ?
Câu 7: Đường cong trong hình dưới đây là đồ thị của một hàm số trong bốn hàm số được liệt kê ở bốn phương án A, B, C, D.
Hỏi hàm số đó là hàm số nào?
Câu 8: Cho hàm số . Mệnh đề nào sau đây là đúng?
Câu 9: Tìm giá trị lớn nhất M của hàm số .
A. M = √2
B. M = √2 - 1
C. M = √2 + 1
D. M = √2 + 2
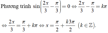
Câu 10: Giải phương trình .
Câu 11: Số nghiệm của phương trình sin(2x - 40°) = √3/2 với -180° ≤ x ≤ 180° là?
A. 2.
B. 4.
C. 6.
D. 7.
Câu 12: Giải phương trình tan 3x. cot2x = 1
Câu 13: Gọi S là tập hợp tất cả các giá trị nguyên của tham số m để phương trình có nghiệm. Tính tổng T của các phần tử trong S.
A T= 6
B. T = - 6
C. T = 2
D. T = - 4
Câu 14: Số nghiệm của phương trình sin 2x + √3 cos 2x = √3 trên khoảng (0; π/2) là?
A. 1
B. 2
C. 3
D. 4
Câu 15: Tính tổng T các nghiệm của phương trình cos2x - sin2x = √2 + sin2x trên khoảng (0; 2π)
Câu 16: Hỏi trên [0; π/2) , phương trình 2sin2x - 3sinx + 1 = 0 có bao nhiêu nghiệm?
A. 1
B. 2
C. 3
D. 4
Câu 17: Số nghiệm của phương trình trên (0; π) là
A. 1
B. 2
C. 3
D. 4
Câu 18:Gọi S là tập nghiệm của phương trình 2sin2x + 3√3sinxcosx - cos2x = 2. Khẳng định nào sau đây là đúng?
Câu 19: Giải phương trình sinxcosx + 2(sinx + cosx) = 2.
Câu 20: Cho x thỏa mãn phương trình sin2x + sinx - cosx = 1 . Tính sin(x - π/4).
Hướng dẫn giải và Đáp án
| 1 | 2 | 3 | 4 | 5 | 6 | 7 | 8 | 9 | 10 |
| D | C | A | A | A | C | D | C | D | D |
| 11 | 12 | 13 | 14 | 15 | 16 | 17 | 18 | 19 | 20 |
| B | D | B | A | C | A | B | B | B | B |
Câu 1:
Chọn đáp án D
Câu 2:
Chọn đáp án C
Câu 3:
Chọn đáp án A
Câu 4:
Chọn đáp án A
Câu 5:
Chọn đáp án A
Câu 6:
Câu 7:
Tại x = 0 thì y = 0 . Do đó loại B và C. Tại x = π thì y = -1. Thay vào hai đáp án còn lại chỉ có D thỏa mãn.Chọn đáp án D
Câu 8:
Chọn đáp án C
Câu 9:
Chọn đáp án D
Câu 10:
Chọn đáp án D
Câu 11:
Chọn đáp án B
Câu 12:
Chọn đáp án D
Câu 13:
Chọn đáp án B
Câu 14:
Chọn đáp án A
Câu 15:
Chọn đáp án C
Câu 16:
Vậy phương trình có duy nhất một nghiệm trên [0; π/2).
Chọn đáp án A
Câu 17:
Chọn đáp án B
Câu 18:
Vậy tập nghiệm của phương trình chứa các nghiệm π/6 và π/2.
Chọn đáp án B
Câu 19:
Chọn đáp án B
Câu 20:
Chọn đáp án B
(199k) Xem Khóa học Toán 11 KNTTXem Khóa học Toán 11 CDXem Khóa học Toán 11 CTST
Xem thêm Bài tập trắc nghiệm Toán 11 có lời giải hay khác:
- 20 bài tập trắc nghiệm Quy tắc đếm (có đáp án)
- 20 bài tập trắc nghiệm Quy tắc đếm (phần 2)
- 24 bài tập trắc nghiệm Hoán vị; Chỉnh hợp; Tổ hợp (có đáp án)
- 24 bài tập trắc nghiệm Hoán vị; Chỉnh hợp; Tổ hợp (phần 2)
- 14 bài tập trắc nghiệm Nhị thức Niu - Tơn
Tủ sách VIETJACK shopee lớp 10-11 (cả 3 bộ sách):
Đã có app VietJack trên điện thoại, giải bài tập SGK, SBT Soạn văn, Văn mẫu, Thi online, Bài giảng....miễn phí. Tải ngay ứng dụng trên Android và iOS.
Theo dõi chúng tôi miễn phí trên mạng xã hội facebook và youtube:Nếu thấy hay, hãy động viên và chia sẻ nhé! Các bình luận không phù hợp với nội quy bình luận trang web sẽ bị cấm bình luận vĩnh viễn.
- Giải Tiếng Anh 11 Global Success
- Giải sgk Tiếng Anh 11 Smart World
- Giải sgk Tiếng Anh 11 Friends Global
- Lớp 11 - Kết nối tri thức
- Soạn văn 11 (hay nhất) - KNTT
- Soạn văn 11 (ngắn nhất) - KNTT
- Giải sgk Toán 11 - KNTT
- Giải sgk Vật Lí 11 - KNTT
- Giải sgk Hóa học 11 - KNTT
- Giải sgk Sinh học 11 - KNTT
- Giải sgk Lịch Sử 11 - KNTT
- Giải sgk Địa Lí 11 - KNTT
- Giải sgk Giáo dục KTPL 11 - KNTT
- Giải sgk Tin học 11 - KNTT
- Giải sgk Công nghệ 11 - KNTT
- Giải sgk Hoạt động trải nghiệm 11 - KNTT
- Giải sgk Giáo dục quốc phòng 11 - KNTT
- Giải sgk Âm nhạc 11 - KNTT
- Lớp 11 - Chân trời sáng tạo
- Soạn văn 11 (hay nhất) - CTST
- Soạn văn 11 (ngắn nhất) - CTST
- Giải sgk Toán 11 - CTST
- Giải sgk Vật Lí 11 - CTST
- Giải sgk Hóa học 11 - CTST
- Giải sgk Sinh học 11 - CTST
- Giải sgk Lịch Sử 11 - CTST
- Giải sgk Địa Lí 11 - CTST
- Giải sgk Giáo dục KTPL 11 - CTST
- Giải sgk Hoạt động trải nghiệm 11 - CTST
- Giải sgk Âm nhạc 11 - CTST
- Lớp 11 - Cánh diều
- Soạn văn 11 Cánh diều (hay nhất)
- Soạn văn 11 Cánh diều (ngắn nhất)
- Giải sgk Toán 11 - Cánh diều
- Giải sgk Vật Lí 11 - Cánh diều
- Giải sgk Hóa học 11 - Cánh diều
- Giải sgk Sinh học 11 - Cánh diều
- Giải sgk Lịch Sử 11 - Cánh diều
- Giải sgk Địa Lí 11 - Cánh diều
- Giải sgk Giáo dục KTPL 11 - Cánh diều
- Giải sgk Tin học 11 - Cánh diều
- Giải sgk Công nghệ 11 - Cánh diều
- Giải sgk Hoạt động trải nghiệm 11 - Cánh diều
- Giải sgk Giáo dục quốc phòng 11 - Cánh diều
- Giải sgk Âm nhạc 11 - Cánh diều


Giải bài tập SGK & SBT
Tài liệu giáo viên
Sách
Khóa học
Thi online
Hỏi đáp

