30 bài tập trắc nghiệm Hàm số lượng giác và phương trình lượng giác (có đáp án - phần 2)
Với 30 bài tập & câu hỏi trắc nghiệm Hàm số lượng giác và phương trình lượng giác lớp 11 có đáp án và lời giải chi tiết đầy đủ các mức độ nhận biết, thông hiểu, vận dụng sẽ giúp học sinh ôn tập trắc nghiệm Toán 11.
30 bài tập trắc nghiệm Hàm số lượng giác và phương trình lượng giác (có đáp án - phần 2)
(199k) Xem Khóa học Toán 11 KNTTXem Khóa học Toán 11 CDXem Khóa học Toán 11 CTST
Câu 16: Trong các phương trình sau, phương trình nào vô nghiệm?
A. sinx+ 3 = 0 B. 2cos2x -cosx – 1 = 0
C. tanx + 3 = 0 D. 3sinx – 2 = 0
Phương trình sinx = a có nghiệm
⇔ -1 ≤ a ≤ 1
Xét phương trình sinx + 3= 0
⇔ sinx = -3 ∉ [-1; 1]
Do đó, phương trình này vô nghiệm.
Chọn đáp án A
Câu 17: Tập nghiệm của phương trình sinxcos2x= 0 là:
A. {kπ, k∈Z} B. {π/2+kπ,k∈Z}
C. {k2π,k∈Z} D. Kết quả khác
Chọn đáp án D
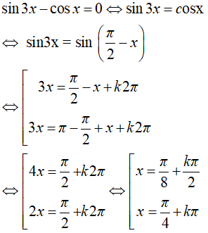
Câu 18: Nghiệm của phương trình sin3x – cosx = 0 là:
Chọn đáp án C
Câu 19: Giá trị lớn nhất của hàm số y = 3sinx + 4cosx là:
A. 3 B. 4
C. 5 D. 7
Chọn đáp án C
Câu 20: Giá trị nhỏ nhất của hàm số y = 2 + sinxcosx là:
A. 1 B. 3/2
C. 2 D. Một số khác
Chọn đáp án B
Câu 21: Tổng các nghiệm của phương trình
thuộc khoảng (0;4π) là:
A. 2π B. 6π
C. 9π D. 10π
Chọn đáp án B
Câu 22: Phương trình cos(πcos2x) = 1 có nghiệm là:
A. x=π/4+kπ,k∈Z B. x=π/4+k π/2,k∈Z
C. x=π/2+kπ,k∈Z D. x=0
Chọn đáp án B
Câu 23: Tập nghiệm của phương trình sin23x – 3sin3x + 2 = 0 là:
A. {π/2+k2π,k∈Z} B. {π/6+k2π,k∈Z}
C. {π/6+k π/3,k∈Z} D. {π/6+k2 π/3,k∈Z}
Chọn đáp án D
Câu 24: Tập nghiệm của phương trình sin4x – 13sin2x + 36 = 0 là:
A. {k2π,k∈Z} B. {π/4+k2π,k∈Z}
C. {±π/4+k2π,k∈Z} D. ∅
Đặt t= sin2x;
Khi đó, phương trình đã cho trở thành:
Đối chiếu điều kiện, suy ra không có giá trị nào của t thỏa mãn. Nên phương trình đã cho vô nghiệm.
Chọn đáp án D
Câu 25: Phương trình 2sin2x – 5sinxcosx – cos2x + 2 = 0 có cùng tập nghiệm với phương trình nào trong số bốn phương trình sau:
A. 4sin2x – 5sinxcosx -cos2x = 0
B. 4sin2x + 5sinxcosx + cos2x = 0
C. 4tan2x – 5tanx + 1 =0
D. 5sin2x + 3cos2x = 2
Ta có:
* Lại có, cos x =0 không là nghiệm của phương trình trên .
Chia cả hai vế cho cos2x ta được: 4tan2x - 5tanx + 1 = 0
Chọn đáp án C
Câu 26: Tập nghiệm của phương trình sin2x - √3sinxcosx + cos2x = 0 là:
A. {π/6+kπ,k∈Z} B. {π/2+kπ,k∈Z}
C. {π/6+kπ,π/2+kπ,k∈Z} D. {π/2+k2π,k∈Z}
Chọn đáp án C
Câu 27: Tập nghiệm của phương trình sin15x + cos14x = 1 là:
A. {k2π,π/2+k2π;k∈Z} B. {kπ,π/2+k2π;k∈Z}
C. {π/2+k2π;k∈Z} D. ∅
Chọn đáp án B
Câu 28: Có bao nhiêu giá trị nguyên của tham số m để phương trình sinxcosx - sinx - cosx + m = 0 có nghiệm?
A. 1
B. 2
C. 3
D. 4
Chọn đáp án C
Câu 29: Cho x thỏa mãn 2sin2x - 3√6|sin x + cos x| + 8 = 0 . Tính sin2x
lần lượt là:
A. – 1/2 và 2 B. 1/2 và 2
C. -2 và -1/2 D. -2 và 1/2
Chọn đáp án C
Câu 30: Tìm giá trị lớn nhất M của hàm số
A. M = √2
B. M = √2 - 1
C. M = √2 + 1
D. M = √2 + 2
Chọn đáp án D
(199k) Xem Khóa học Toán 11 KNTTXem Khóa học Toán 11 CDXem Khóa học Toán 11 CTST
Xem thêm Bài tập trắc nghiệm Toán 11 có lời giải hay khác:
- Đề kiểm tra Toán 11 Đại số Chương 1
- 20 bài tập trắc nghiệm Quy tắc đếm (có đáp án)
- 20 bài tập trắc nghiệm Quy tắc đếm (phần 2)
- 24 bài tập trắc nghiệm Hoán vị; Chỉnh hợp; Tổ hợp (có đáp án)
- 24 bài tập trắc nghiệm Hoán vị; Chỉnh hợp; Tổ hợp (phần 2)
Tủ sách VIETJACK shopee lớp 10-11 (cả 3 bộ sách):
Đã có app VietJack trên điện thoại, giải bài tập SGK, SBT Soạn văn, Văn mẫu, Thi online, Bài giảng....miễn phí. Tải ngay ứng dụng trên Android và iOS.
Theo dõi chúng tôi miễn phí trên mạng xã hội facebook và youtube:Nếu thấy hay, hãy động viên và chia sẻ nhé! Các bình luận không phù hợp với nội quy bình luận trang web sẽ bị cấm bình luận vĩnh viễn.
- Giải Tiếng Anh 11 Global Success
- Giải sgk Tiếng Anh 11 Smart World
- Giải sgk Tiếng Anh 11 Friends Global
- Lớp 11 - Kết nối tri thức
- Soạn văn 11 (hay nhất) - KNTT
- Soạn văn 11 (ngắn nhất) - KNTT
- Giải sgk Toán 11 - KNTT
- Giải sgk Vật Lí 11 - KNTT
- Giải sgk Hóa học 11 - KNTT
- Giải sgk Sinh học 11 - KNTT
- Giải sgk Lịch Sử 11 - KNTT
- Giải sgk Địa Lí 11 - KNTT
- Giải sgk Giáo dục KTPL 11 - KNTT
- Giải sgk Tin học 11 - KNTT
- Giải sgk Công nghệ 11 - KNTT
- Giải sgk Hoạt động trải nghiệm 11 - KNTT
- Giải sgk Giáo dục quốc phòng 11 - KNTT
- Giải sgk Âm nhạc 11 - KNTT
- Lớp 11 - Chân trời sáng tạo
- Soạn văn 11 (hay nhất) - CTST
- Soạn văn 11 (ngắn nhất) - CTST
- Giải sgk Toán 11 - CTST
- Giải sgk Vật Lí 11 - CTST
- Giải sgk Hóa học 11 - CTST
- Giải sgk Sinh học 11 - CTST
- Giải sgk Lịch Sử 11 - CTST
- Giải sgk Địa Lí 11 - CTST
- Giải sgk Giáo dục KTPL 11 - CTST
- Giải sgk Hoạt động trải nghiệm 11 - CTST
- Giải sgk Âm nhạc 11 - CTST
- Lớp 11 - Cánh diều
- Soạn văn 11 Cánh diều (hay nhất)
- Soạn văn 11 Cánh diều (ngắn nhất)
- Giải sgk Toán 11 - Cánh diều
- Giải sgk Vật Lí 11 - Cánh diều
- Giải sgk Hóa học 11 - Cánh diều
- Giải sgk Sinh học 11 - Cánh diều
- Giải sgk Lịch Sử 11 - Cánh diều
- Giải sgk Địa Lí 11 - Cánh diều
- Giải sgk Giáo dục KTPL 11 - Cánh diều
- Giải sgk Tin học 11 - Cánh diều
- Giải sgk Công nghệ 11 - Cánh diều
- Giải sgk Hoạt động trải nghiệm 11 - Cánh diều
- Giải sgk Giáo dục quốc phòng 11 - Cánh diều
- Giải sgk Âm nhạc 11 - Cánh diều


Giải bài tập SGK & SBT
Tài liệu giáo viên
Sách
Khóa học
Thi online
Hỏi đáp

