Trắc nghiệm Các quy tắc tính đạo hàm (có lời giải - phần 2)
Bài tập trắc nghiệm Các quy tắc tính đạo hàm lớp 11 có lời giải chi tiết giúp học sinh ôn tập và biết cách làm bài tập Toán 11.
Trắc nghiệm Các quy tắc tính đạo hàm (có lời giải - phần 2)
(199k) Học Toán 11 KNTTHọc Toán 11 CDHọc Toán 11 CTST
Bài 14: Tính đạo hàm của hàm số
Chọn đáp án A
Bài 15: Cho . Giải bất phương trình f'(x) > g'(x).
Chọn đáp án C
Bài 16: Cho hàm số đạo hàm của hàm số tại x = 1 là:
A. - 4
B. - 5
C. - 3
D. -2
Chọn đáp án B
Bài 17: Cho hàm số . Tính y'(0) bằng:
A. 1/2
B. 1/3
C. 1
D. 2
Chọn đáp án A
Bài 18: Cho hàm số y = 4x - √x. Nghiệm của phương trình y’ = 0 là
Chọn đáp án C
Bài 19: Giải bất phương trình f'(x) ≥ 0 với f(x)= 2x3 - 3x2 + 1
Chọn đáp án D
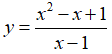
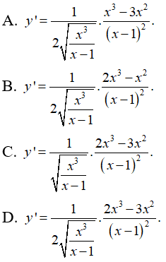
Bài 20: Tính đạo hàm của hàm số sau:
Chọn đáp án D
Bài 21: Tính đạo hàm của hàm số sau:
Chọn đáp án A
Bài 22: Đạo hàm của hàm số bằng biểu thức nào sau đây?
Chọn đáp án B
Bài 23: Tính đạo hàm của hàm số
Chọn đáp án D
Bài 24: Cho hàm số .Để x = 1 là nghiệm của bất phương trình f'(x) ≤ 1 khi và chỉ khi:
A. m ≥ 1
B. m ≤ -1
C. -1 ≤ m ≤ 1
D. m ≥ -1
Chọn đáp án D
Bài 25: Tìm m để các hàm số y = (m - 1)x3 - 3(m + 2)x2 - 6(m + 2)x + 1 có y' ≥ 0, ∀ x ∈ R
A. m ≥ 3
B. m ≥ 1
C. m ≥ 4
D. Đáp án khác
Chọn đáp án D
Bài 26: Tính đạo hàm của hàm số .
Chọn đáp án D
Bài 27: Tính đạo hàm của hàm số
Chọn đáp án A
Bài 28: Đạo hàm của bằng:
Chọn đáp án A
Bài 29: Đạo hàm của hàm số là
Chọn đáp án C
Bài 30: Cho . Giải bất phương trình f'(x) > g'(x)
Chọn đáp án B
Bài 31: Tính đạo hàm của hàm số
Chọn đáp án D
Bài 32: Cho hàm số: .Giải phương trình : y' = 2
A. S = {0; 1}
B. S = {0; -1}
C. S = {1; -1}
D. S = {-1; 0; 1}
Chọn đáp án B
Bài 33: Tính đạo hàm cuả hàm số
Chọn đáp án A
Bài 34: Tính đạo hàm của hàm số
Chọn đáp án C
Bài 35: Tính đạo hàm của hàm số .
Chọn đáp án B
Bài 36: Tính đạo hàm của hàm số .
Chọn đáp án A
Bài 37: Tính đạo hàm của hàm số .
Chọn đáp án C
(199k) Học Toán 11 KNTTHọc Toán 11 CDHọc Toán 11 CTST
Xem thêm Bài tập trắc nghiệm Toán 11 có lời giải hay khác:
- Trắc nghiệm Toán 11 Bài 3: Đạo hàm của các hàm số lượng giác
- Trắc nghiệm Toán 11 Bài 4: Vi phân
- Trắc nghiệm Toán 11 Bài 5: Đạo hàm cấp hai
- Bài tập tổng ôn Đạo hàm (có lời giải)
- Bài tập Toán 11 Đại số tổng ôn cuối năm (có lời giải)
Tủ sách VIETJACK shopee lớp 10-11 (cả 3 bộ sách):
Đã có app VietJack trên điện thoại, giải bài tập SGK, SBT Soạn văn, Văn mẫu, Thi online, Bài giảng....miễn phí. Tải ngay ứng dụng trên Android và iOS.
Theo dõi chúng tôi miễn phí trên mạng xã hội facebook và youtube:Nếu thấy hay, hãy động viên và chia sẻ nhé! Các bình luận không phù hợp với nội quy bình luận trang web sẽ bị cấm bình luận vĩnh viễn.
- Giải Tiếng Anh 11 Global Success
- Giải sgk Tiếng Anh 11 Smart World
- Giải sgk Tiếng Anh 11 Friends Global
- Lớp 11 - Kết nối tri thức
- Soạn văn 11 (hay nhất) - KNTT
- Soạn văn 11 (ngắn nhất) - KNTT
- Giải sgk Toán 11 - KNTT
- Giải sgk Vật Lí 11 - KNTT
- Giải sgk Hóa học 11 - KNTT
- Giải sgk Sinh học 11 - KNTT
- Giải sgk Lịch Sử 11 - KNTT
- Giải sgk Địa Lí 11 - KNTT
- Giải sgk Giáo dục KTPL 11 - KNTT
- Giải sgk Tin học 11 - KNTT
- Giải sgk Công nghệ 11 - KNTT
- Giải sgk Hoạt động trải nghiệm 11 - KNTT
- Giải sgk Giáo dục quốc phòng 11 - KNTT
- Giải sgk Âm nhạc 11 - KNTT
- Lớp 11 - Chân trời sáng tạo
- Soạn văn 11 (hay nhất) - CTST
- Soạn văn 11 (ngắn nhất) - CTST
- Giải sgk Toán 11 - CTST
- Giải sgk Vật Lí 11 - CTST
- Giải sgk Hóa học 11 - CTST
- Giải sgk Sinh học 11 - CTST
- Giải sgk Lịch Sử 11 - CTST
- Giải sgk Địa Lí 11 - CTST
- Giải sgk Giáo dục KTPL 11 - CTST
- Giải sgk Hoạt động trải nghiệm 11 - CTST
- Giải sgk Âm nhạc 11 - CTST
- Lớp 11 - Cánh diều
- Soạn văn 11 Cánh diều (hay nhất)
- Soạn văn 11 Cánh diều (ngắn nhất)
- Giải sgk Toán 11 - Cánh diều
- Giải sgk Vật Lí 11 - Cánh diều
- Giải sgk Hóa học 11 - Cánh diều
- Giải sgk Sinh học 11 - Cánh diều
- Giải sgk Lịch Sử 11 - Cánh diều
- Giải sgk Địa Lí 11 - Cánh diều
- Giải sgk Giáo dục KTPL 11 - Cánh diều
- Giải sgk Tin học 11 - Cánh diều
- Giải sgk Công nghệ 11 - Cánh diều
- Giải sgk Hoạt động trải nghiệm 11 - Cánh diều
- Giải sgk Giáo dục quốc phòng 11 - Cánh diều
- Giải sgk Âm nhạc 11 - Cánh diều


Giải bài tập SGK & SBT
Tài liệu giáo viên
Sách
Khóa học
Thi online
Hỏi đáp

