51 bài tập trắc nghiệm tổng ôn Toán lớp 11 Đại số (có đáp án)
Với 51 bài tập & câu hỏi trắc nghiệm Ôn tập cuối năm lớp 11 có đáp án và lời giải chi tiết đầy đủ các mức độ nhận biết, thông hiểu, vận dụng sẽ giúp học sinh ôn tập trắc nghiệm Toán 11.
51 bài tập trắc nghiệm Ôn tập cuối năm Đại số và giải tích (có đáp án)
(199k) Xem Khóa học Toán 11 KNTTXem Khóa học Toán 11 CDXem Khóa học Toán 11 CTST
Câu 1: Tập xác định của hàm số là
Chọn đáp án A
Câu 2 Tập xác định của hàm số là
Chọn đáp án D
Câu 3: Trong các hàm số sau, có bao nhiêu hàm số là hàm chẵn trên tập xác định của nó?
y = cot2x; y = cos(x + π); y = 1 - sinx; y = tan2016x
A. 1
B. 2
C. 3
D. 4
Chọn đáp án B
Câu 4: Khẳng định nào sau đây là sai?
A. Hàm số y = sinx + 2 là hàm số không chẵn, không lẻ.
B. Hàm số là hàm số chẵn.
C. Hàm số y = x2 + cosx là hàm số chẵn.
D. Hàm số y = |sinx - x| - |sinx + x| là hàm số lẻ.
Chọn đáp án D
Câu 5: Giá trị nhỏ nhất và giá trị lớn nhất của hàm số lần lượt là:
A. -2 và 7.
B. -2 và 2.
C. 5 và 9.
D. 4 và 7.
Do đó giá trị nhỏ nhất và giá trị nhỏ nhất của hàm số đã cho là 5 và 9.
Chọn đáp án C
Câu 6: Giá trị lớn nhất của hàm số y = 1 - 2cosx - cos2x là:
A. 2
B. 5
C. 0
D. 3
Chọn đáp án A
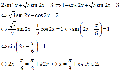
Câu 7: Nghiệm của phương trình là:
Chọn đáp án D
Câu 8: Số nghiệm của phương trình sinx + cosx = 1 trên khoảng (0; π) là
A. 0
B. 1
C. 2
D. 3
Chọn đáp án B
Câu 9: Điều kiện để phương trình 12sinx + mcosx = 13 có nghiệm là
Chọn đáp án B
Câu 10: Phương trình có nghiệm là
Chọn đáp án A
Câu 11: Phương trình có các họ nghiệm là:
Chọn đáp án A
Câu 12: Nghiệm của phương trình lượng giác: 2sinx - 3sinx + 1 = 0 thỏa điều kiện 0 ≤ x < π/2 là:
Chọn đáp án C
Câu 13: Nghiệm của phương trình 5 - 5sinx + 2cos2x là
Chọn đáp án C
Câu 14: Phương trình có các nghiệm là:
Chọn đáp án A
Câu 15: Phương trình có nghiệm là:
Chọn đáp án D
Câu 16: Phương trình có nghiệm là:
Chọn đáp án B
Câu 17: Từ các số 1, 2, 3, 4, 5, 6, 7 lập được bao nhiêu số tự nhiên gồm 4 chữ số khác nhau và là số chẵn
A. 360
B. 343
C. 523
D. 347
Chọn đáp án A
(199k) Xem Khóa học Toán 11 KNTTXem Khóa học Toán 11 CDXem Khóa học Toán 11 CTST
Xem thêm Bài tập trắc nghiệm Toán 11 có lời giải hay khác:
- 26 bài tập trắc nghiệm tổng hợp Đạo hàm
- Đề kiểm tra Toán 11 Đại số Chương 5
- 51 bài tập trắc nghiệm tổng ôn Toán 11 Đại số (phần 2)
- 51 bài tập trắc nghiệm tổng ôn Toán 11 Đại số (phần 3)
- Đề thi Toán 11 Đại số Học kì 2
Tủ sách VIETJACK shopee lớp 10-11 (cả 3 bộ sách):
Đã có app VietJack trên điện thoại, giải bài tập SGK, SBT Soạn văn, Văn mẫu, Thi online, Bài giảng....miễn phí. Tải ngay ứng dụng trên Android và iOS.
Theo dõi chúng tôi miễn phí trên mạng xã hội facebook và youtube:Nếu thấy hay, hãy động viên và chia sẻ nhé! Các bình luận không phù hợp với nội quy bình luận trang web sẽ bị cấm bình luận vĩnh viễn.
- Giải Tiếng Anh 11 Global Success
- Giải sgk Tiếng Anh 11 Smart World
- Giải sgk Tiếng Anh 11 Friends Global
- Lớp 11 - Kết nối tri thức
- Soạn văn 11 (hay nhất) - KNTT
- Soạn văn 11 (ngắn nhất) - KNTT
- Giải sgk Toán 11 - KNTT
- Giải sgk Vật Lí 11 - KNTT
- Giải sgk Hóa học 11 - KNTT
- Giải sgk Sinh học 11 - KNTT
- Giải sgk Lịch Sử 11 - KNTT
- Giải sgk Địa Lí 11 - KNTT
- Giải sgk Giáo dục KTPL 11 - KNTT
- Giải sgk Tin học 11 - KNTT
- Giải sgk Công nghệ 11 - KNTT
- Giải sgk Hoạt động trải nghiệm 11 - KNTT
- Giải sgk Giáo dục quốc phòng 11 - KNTT
- Giải sgk Âm nhạc 11 - KNTT
- Lớp 11 - Chân trời sáng tạo
- Soạn văn 11 (hay nhất) - CTST
- Soạn văn 11 (ngắn nhất) - CTST
- Giải sgk Toán 11 - CTST
- Giải sgk Vật Lí 11 - CTST
- Giải sgk Hóa học 11 - CTST
- Giải sgk Sinh học 11 - CTST
- Giải sgk Lịch Sử 11 - CTST
- Giải sgk Địa Lí 11 - CTST
- Giải sgk Giáo dục KTPL 11 - CTST
- Giải sgk Hoạt động trải nghiệm 11 - CTST
- Giải sgk Âm nhạc 11 - CTST
- Lớp 11 - Cánh diều
- Soạn văn 11 Cánh diều (hay nhất)
- Soạn văn 11 Cánh diều (ngắn nhất)
- Giải sgk Toán 11 - Cánh diều
- Giải sgk Vật Lí 11 - Cánh diều
- Giải sgk Hóa học 11 - Cánh diều
- Giải sgk Sinh học 11 - Cánh diều
- Giải sgk Lịch Sử 11 - Cánh diều
- Giải sgk Địa Lí 11 - Cánh diều
- Giải sgk Giáo dục KTPL 11 - Cánh diều
- Giải sgk Tin học 11 - Cánh diều
- Giải sgk Công nghệ 11 - Cánh diều
- Giải sgk Hoạt động trải nghiệm 11 - Cánh diều
- Giải sgk Giáo dục quốc phòng 11 - Cánh diều
- Giải sgk Âm nhạc 11 - Cánh diều


Giải bài tập SGK & SBT
Tài liệu giáo viên
Sách
Khóa học
Thi online
Hỏi đáp

