Đề kiểm tra Toán 11 Đại số Chương 5 (có đáp án)
Đề kiểm tra Toán 11 Đại số Chương 5 (có đáp án)
(199k) Xem Khóa học Toán 11 KNTTXem Khóa học Toán 11 CDXem Khóa học Toán 11 CTST
Câu 1: Tính đạo hàm của hàm số sau
Câu 2: Tính đạo hàm của hàm số sau: y = x5 - 5x3 - 2x2 + 1
A. x4 - 15x2 + 4x
B. 5x4 - 15x2 - 4x
C. 5x4 - 15x2 - 4x
D. 5x4 - 5x2 - 2x
Câu 3: Tính đạo hàm của hàm số sau
Câu 4: Tính đạo hàm của hàm số sau: y = (9 - 2x)(3x2 - 3x + 1)
A. -18x2 + 46x - 21
B. -10x2 + 66x - 19
C. -18x2 + 66x - 29
D. -12x2 + 48x - 21
Câu 5: Tính đạo hàm của hàm số sau: y = (2x4 + 4x - 3)1994
A. 1994(2x4 + 4x - 3)1993(8x3 + 4)
B. 1994(2x4 + 4x - 3)1993(8x3 + 4)
C. 1994(2x4 + 4x - 3)1993(8x3 + 4)
D. 1994(2x4 + 4x - 3)1993(8x3 + 4)
Câu 6: Tính đạo hàm của hàm số
Câu 7: Tính đạo hàm của hàm số sau
Câu 8: Giải bất phương trình sau f'(x) < 0 ,với
A. S = (2; 3)
B. S = (1; 2)
C. S = (3; 4)
D. S = (2; 4)
Câu 9: Giải bất phương trình g(x) ≤ 0 với
A. S = (1; 3)
B. S = [1; 3]/{2}
C. (-∞; 1)(3; ∞)
D. (-∞; 1)
Câu 10: Giải bất phương trình f'(x) < g'(x) ,với
A. S = (1; 2)
B. S= (-2; 1)
C. S = (-1; 2)
D. S= (-2; -1)
Câu 11: Tính đạo hàm của hàm số y = sinx + cos x
A. sinx + cosx
B. sinx – cosx
C. cosx – sinx
D. -sinx – cosx
Câu 12: Tính đạo hàm của hàm số sau y = tanx + cotx
Câu 13: Tính đạo hàm của hàm số sau
Câu 14: Tính đạo hàm của hàm số
Câu 15: Tính đạo hàm của hàm số y = 3tan22x + cot22x
Câu 16: Tính đạo hàm của hàm số
Câu 17: Xác định giá trị của với 4 chữ số thập phân.
A. 1,9975
B. 1,9976
C. 1,9973
D.1,9974
Câu 18: Tính giá trị của 30°30'
A. 0,5074
B. 0,5075
C. 0,5076
D. 0,5077
Câu 19: Tìm vi phân của hàm số
Câu 20: Tìm vi phân của hàm số
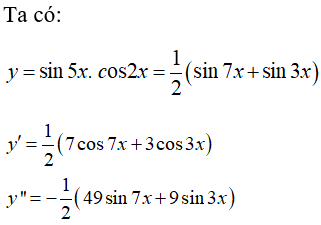
Câu 21: Tính đạo hàm cấp hai của hàm số sau y = sin5x.cos2x
Câu 22: Tính đạo hàm cấp hai của hàm số y = x2.sinx
A. y'' = (2 + x2)sinx + 2x.cosx
B. y'' = (1 - x2)sinx + 6x.cosx
C. y'' = (2 - x2)sinx + 4x.cosx
D. Đáp án khác
Câu 23: Cho hàm số có đồ thị (C) viết phương trình tiếp tuyến của (C) tại điểm có hoành độ bằng -3.
A. y = 3x + 11
B. y = 3x – 4
C. y = 2x+ 4
D. y = 2x – 1
Câu 24: Có bao nhiêu tiếp tuyến của đồ thị (C): y = 2x3 - 3x2 + 5 đi qua điểm
A. 1
B.2
C. 3
D. 4
Câu 25: Một vật rơi tự do với phương trình chuyển động , trong đó g = 9,8 m/s2 và t tính bằng giây. Vận tốc của vật tại thời điểm t = 5s bằng:
A. 49 m/s.
B. 25 m/s.
C. 10 m/s.
D. 18 m/s.
Câu 26: Cho chuyển động thẳng xác định bởi phương trình , trong đó t tính bằng giây s và S được tính bằng mét m. Gia tốc của chuyển động tại thời điểm t = 4s bằng:
A. 80 m/s.
B. 32 m/s.
C. 90 m/s.
D.116 m/s.
Hướng dẫn giải và Đáp án
| Câu | 1 | 2 | 3 | 4 | 5 | 6 | 7 | 8 | 9 | 10 |
| Đáp án | A | B | D | C | A | D | A | A | B | B |
| Câu | 11 | 12 | 13 | 14 | 15 | 16 | 17 | 18 | 19 | 20 |
| Đáp án | C | D | C | D | C | A | A | C | B | D |
| Câu | 21 | 22 | 23 | 24 | 25 | 26 | ||||
| Đáp án | B | C | A | C | A | C |
Câu 1:
Chọn đáp án A.
Câu 2:
Chọn đáp án B.
Câu 3:
Chọn đáp án D.
Câu 4:
Chọn đáp án C.
Câu 5:
Chọn đáp án A.
Câu 6:
Chọn đáp án D.
Câu 7:
Chọn đáp án A.
Câu 8:
Chọn đáp án A.
Câu 9:
Chọn đáp án B.
Câu 10:
Chọn đáp án B.
Câu 11:
Chọn đáp án C.
Câu 12:
Chọn đáp án D.
Câu 13:
Chọn đáp án C.
Câu 14:
Chọn đáp án D.
Câu 15:
Chọn đáp án C.
Câu 16:
Chọn đáp án A.
Câu 17:
Chọn đáp án A.
Câu 18:
Ta có:
1+ 2+ 3 + .. + n là tổng của n + 1 số hạng của 1 cấp số cộng có u1 = 1 và d = 1 nên:
Chọn đáp án C.
Câu 19:
Chọn đáp án B.
Câu 20:
Chọn đáp án B.
Câu 21:
Chọn đáp án B.
Câu 22:
Chọn đáp án C.
Câu 23:
Chọn đáp án A.
Câu 24:
Chọn đáp án C.
Câu 25:
Chọn đáp án A.
Câu 26:
Chọn đáp án C.
(199k) Xem Khóa học Toán 11 KNTTXem Khóa học Toán 11 CDXem Khóa học Toán 11 CTST
Xem thêm Bài tập trắc nghiệm Toán 11 có lời giải hay khác:
- 26 bài tập trắc nghiệm tổng hợp Đạo hàm
- 51 bài tập trắc nghiệm tổng ôn Toán 11 Đại số (có đáp án)
- 51 bài tập trắc nghiệm tổng ôn Toán 11 Đại số (phần 2)
- 51 bài tập trắc nghiệm tổng ôn Toán 11 Đại số (phần 3)
- Đề thi Toán 11 Đại số Học kì 2
Tủ sách VIETJACK shopee lớp 10-11 (cả 3 bộ sách):
Đã có app VietJack trên điện thoại, giải bài tập SGK, SBT Soạn văn, Văn mẫu, Thi online, Bài giảng....miễn phí. Tải ngay ứng dụng trên Android và iOS.
Theo dõi chúng tôi miễn phí trên mạng xã hội facebook và youtube:Nếu thấy hay, hãy động viên và chia sẻ nhé! Các bình luận không phù hợp với nội quy bình luận trang web sẽ bị cấm bình luận vĩnh viễn.
- Giải Tiếng Anh 11 Global Success
- Giải sgk Tiếng Anh 11 Smart World
- Giải sgk Tiếng Anh 11 Friends Global
- Lớp 11 - Kết nối tri thức
- Soạn văn 11 (hay nhất) - KNTT
- Soạn văn 11 (ngắn nhất) - KNTT
- Giải sgk Toán 11 - KNTT
- Giải sgk Vật Lí 11 - KNTT
- Giải sgk Hóa học 11 - KNTT
- Giải sgk Sinh học 11 - KNTT
- Giải sgk Lịch Sử 11 - KNTT
- Giải sgk Địa Lí 11 - KNTT
- Giải sgk Giáo dục KTPL 11 - KNTT
- Giải sgk Tin học 11 - KNTT
- Giải sgk Công nghệ 11 - KNTT
- Giải sgk Hoạt động trải nghiệm 11 - KNTT
- Giải sgk Giáo dục quốc phòng 11 - KNTT
- Giải sgk Âm nhạc 11 - KNTT
- Lớp 11 - Chân trời sáng tạo
- Soạn văn 11 (hay nhất) - CTST
- Soạn văn 11 (ngắn nhất) - CTST
- Giải sgk Toán 11 - CTST
- Giải sgk Vật Lí 11 - CTST
- Giải sgk Hóa học 11 - CTST
- Giải sgk Sinh học 11 - CTST
- Giải sgk Lịch Sử 11 - CTST
- Giải sgk Địa Lí 11 - CTST
- Giải sgk Giáo dục KTPL 11 - CTST
- Giải sgk Hoạt động trải nghiệm 11 - CTST
- Giải sgk Âm nhạc 11 - CTST
- Lớp 11 - Cánh diều
- Soạn văn 11 Cánh diều (hay nhất)
- Soạn văn 11 Cánh diều (ngắn nhất)
- Giải sgk Toán 11 - Cánh diều
- Giải sgk Vật Lí 11 - Cánh diều
- Giải sgk Hóa học 11 - Cánh diều
- Giải sgk Sinh học 11 - Cánh diều
- Giải sgk Lịch Sử 11 - Cánh diều
- Giải sgk Địa Lí 11 - Cánh diều
- Giải sgk Giáo dục KTPL 11 - Cánh diều
- Giải sgk Tin học 11 - Cánh diều
- Giải sgk Công nghệ 11 - Cánh diều
- Giải sgk Hoạt động trải nghiệm 11 - Cánh diều
- Giải sgk Giáo dục quốc phòng 11 - Cánh diều
- Giải sgk Âm nhạc 11 - Cánh diều


Giải bài tập SGK & SBT
Tài liệu giáo viên
Sách
Khóa học
Thi online
Hỏi đáp

