Đề thi Toán 11 Đại số Học kì 2 (có đáp án)
Đề thi Toán 11 Đại số Học kì 2 (có đáp án)
(199k) Xem Khóa học Toán 11 KNTTXem Khóa học Toán 11 CDXem Khóa học Toán 11 CTST
Câu 1. Tập xác định của hàm số y = sinx là:
A. [-1;1]
B. R\ {kπ}; k ∈ Z
C. R\ { π/2+kπ}; k ∈ Z
D. R
Câu 2. Nghiệm của phương trình cosx = cos∝ là:
Câu 3. Số nào sau đây là nghiệm của phương trình 2cos2x +1= 0 trong khoảng (-π;π) ?
Câu 4. Phương trình sinx+ (m-1)cosx = √2 có nghiệm khi và chỉ khi:
A. m≤0 hoặc m≥2
B. m > 0 hoặc m≤2
C. m > 2
D. 0≤m≤2
Câu 5. Số các số chập k của n phần tử được tính bởi công thức:
Câu 6. Gọi P là tập hợp bốn điểm phân biệt nằm trên một đường tròn. Số các tam giác có 3 đỉnh thuộc P được tính bằng:
A. Số các hoán vị của các phần tử thuộc P
B. Số các chỉnh hợp chập 3 của các phần tử thuộc P
C. Số các tổ hợp chập 3 của các phần tử thuộc P
D. Số các tổ hợp chập 4 của các phần tử thuộc P
Câu 7. Cho một túi đựng 5 quả cầu màu đỏ, 7 quả cầu màu xanh . Lấy ngẫu nhiên 3 quả cầu trong túi đó . Xác suất để lấy được 3 quả cầu màu đỏ là:
Câu 8. Dãy số nào sau đây là một cấp số nhân?
A. 1; -2; 4; 8; -16; 32
B. 1; -2; 4; -8; 16; -32
C. 1; 2; 3; 4; 8; 16
D. 1; 4; 7; 10; 13; 16
Câu 9. Cấp số cộng (un) có u1=13 và công sai d = -3. Số hạng u31 của dãy số đó là:
A. 87 B. -77
C. 77 D. -87
Câu 10. Cho cấp số nhân (un) có u3=24; u4= -48. Tổng 6 số hạng đầu bằng:
A. -126 B. 837
C. -378 D. 378
Câu 11. Dãy số nào sau đây có giớ hạn bằng 0?
A. (-5/2)n B. (-4/3)n
C. (3/4)n D. (4/3)n
Câu 12.
A. 1/3 B. 1/6
C. 0 D. 8
Câu 13.
A. +∞ B. 29/3
C. 9 D. 3
Câu 14.
A. -8 B. -4
C. 1/2 D. +∞
Câu 15.
A. 2/3 B. -1/2
C. 1/2 D. 2/3
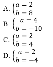
Câu 16. Cho hàm số
Với giá trị nào của a,b thì hàm số f(x) liên tục trên R?
Câu 17. Đạo hàm của hàm số y= x5+ 2/x -1 bằng
Câu 18. Đạo hàm của hàm số f(x) = cot2x bằng biểu thức nào sau đây?
Câu 19. Đạo hàm của hàm số y=√(3x2-2x+1) bằng
Câu 20. Đạo hàm cấp hai của hàm số y= cos2x bằng biểu thức nào sau đây?
A. -2sin2x B. -4cos2x
C. -4sin2x D. 4cos2x
Hướng dẫn giải và Đáp án
| 1 | 2 | 3 | 4 | 5 | 6 | 7 | 8 | 9 | 10 |
| D | B | B | A | D | C | A | B | B | A |
| 11 | 12 | 13 | 14 | 15 | 16 | 17 | 18 | 19 | 20 |
| C | A | D | B | A | C | B | D | A | B |
(199k) Xem Khóa học Toán 11 KNTTXem Khóa học Toán 11 CDXem Khóa học Toán 11 CTST
Xem thêm Bài tập trắc nghiệm Toán 11 có lời giải hay khác:
- 26 bài tập trắc nghiệm tổng hợp Đạo hàm
- Đề kiểm tra Toán 11 Đại số Chương 5
- 51 bài tập trắc nghiệm tổng ôn Toán 11 Đại số (có đáp án)
- 51 bài tập trắc nghiệm tổng ôn Toán 11 Đại số (phần 2)
- 51 bài tập trắc nghiệm tổng ôn Toán 11 Đại số (phần 3)
Tủ sách VIETJACK shopee lớp 10-11 (cả 3 bộ sách):
Đã có app VietJack trên điện thoại, giải bài tập SGK, SBT Soạn văn, Văn mẫu, Thi online, Bài giảng....miễn phí. Tải ngay ứng dụng trên Android và iOS.
Theo dõi chúng tôi miễn phí trên mạng xã hội facebook và youtube:Nếu thấy hay, hãy động viên và chia sẻ nhé! Các bình luận không phù hợp với nội quy bình luận trang web sẽ bị cấm bình luận vĩnh viễn.
- Giải Tiếng Anh 11 Global Success
- Giải sgk Tiếng Anh 11 Smart World
- Giải sgk Tiếng Anh 11 Friends Global
- Lớp 11 - Kết nối tri thức
- Soạn văn 11 (hay nhất) - KNTT
- Soạn văn 11 (ngắn nhất) - KNTT
- Giải sgk Toán 11 - KNTT
- Giải sgk Vật Lí 11 - KNTT
- Giải sgk Hóa học 11 - KNTT
- Giải sgk Sinh học 11 - KNTT
- Giải sgk Lịch Sử 11 - KNTT
- Giải sgk Địa Lí 11 - KNTT
- Giải sgk Giáo dục KTPL 11 - KNTT
- Giải sgk Tin học 11 - KNTT
- Giải sgk Công nghệ 11 - KNTT
- Giải sgk Hoạt động trải nghiệm 11 - KNTT
- Giải sgk Giáo dục quốc phòng 11 - KNTT
- Giải sgk Âm nhạc 11 - KNTT
- Lớp 11 - Chân trời sáng tạo
- Soạn văn 11 (hay nhất) - CTST
- Soạn văn 11 (ngắn nhất) - CTST
- Giải sgk Toán 11 - CTST
- Giải sgk Vật Lí 11 - CTST
- Giải sgk Hóa học 11 - CTST
- Giải sgk Sinh học 11 - CTST
- Giải sgk Lịch Sử 11 - CTST
- Giải sgk Địa Lí 11 - CTST
- Giải sgk Giáo dục KTPL 11 - CTST
- Giải sgk Hoạt động trải nghiệm 11 - CTST
- Giải sgk Âm nhạc 11 - CTST
- Lớp 11 - Cánh diều
- Soạn văn 11 Cánh diều (hay nhất)
- Soạn văn 11 Cánh diều (ngắn nhất)
- Giải sgk Toán 11 - Cánh diều
- Giải sgk Vật Lí 11 - Cánh diều
- Giải sgk Hóa học 11 - Cánh diều
- Giải sgk Sinh học 11 - Cánh diều
- Giải sgk Lịch Sử 11 - Cánh diều
- Giải sgk Địa Lí 11 - Cánh diều
- Giải sgk Giáo dục KTPL 11 - Cánh diều
- Giải sgk Tin học 11 - Cánh diều
- Giải sgk Công nghệ 11 - Cánh diều
- Giải sgk Hoạt động trải nghiệm 11 - Cánh diều
- Giải sgk Giáo dục quốc phòng 11 - Cánh diều
- Giải sgk Âm nhạc 11 - Cánh diều


Giải bài tập SGK & SBT
Tài liệu giáo viên
Sách
Khóa học
Thi online
Hỏi đáp

