Trắc nghiệm Giới hạn của hàm số (có lời giải - phần 2)
Bài tập trắc nghiệm Giới hạn của hàm số lớp 11 có lời giải chi tiết giúp học sinh ôn tập và biết cách làm bài tập Toán 11.
Trắc nghiệm Giới hạn của hàm số (có lời giải - phần 2)
(199k) Học Toán 11 KNTTHọc Toán 11 CDHọc Toán 11 CTST
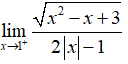
Bài 21: bằng:
A. -1
B. 0
C. 1
D. +∞
Chọn đáp án C
Bài 22: Giá tri đúng của
A. Không tồn tại.
B. 0
C. 1
D. +∞
Chọn đáp án A
Bài 23: Cho hàm số . Chọn kết quả đúng của
:
A. -∞
B. -2/3
C. 2/3
D. +∞
Chọn đáp án A
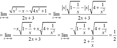
Bài 24: Giới hạn của hàm số khi x → -∞ bằng:
A. -∞
B. +∞
C. -1
D. 3.
Chọn đáp án A
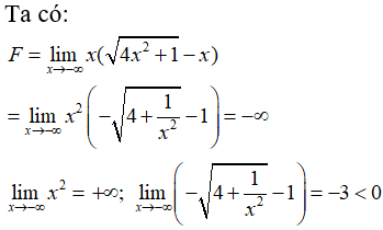
Bài 25: Giới hạn bằng:
A. 0.
B. -3
C. -∞
D. +∞
Chọn đáp án C
Bài 26: Giả sử . Hệ số a bằng bao nhiêu để L = 3 ?
A. - 6
B. 6
C. - 12
D. 12
Chọn đáp án D
Bài 27: Giới hạn bằng :
A. -1/2
B. 1/2
C. -∞
D. +∞
Chọn đáp án B
Bài 28: Giới hạn bằng :
A. 0
B. -1
C. 1
D. -∞
Chọn đáp án B
Bài 29: Giới hạn bằng :
A. +∞
B. -∞
C. 0
D. 1
Chọn đáp án C
Bài 30: Giới hạn bằng:
A. +∞
B. -∞
C. -3
D. -2
Chọn đáp án B
Bài 31: Chọn kết quả đúng trong các kết quả sau của là:
A. -∞
B. 0
C. 1/2
D. +∞
Chọn đáp án B
Bài 32: Tìm giới hạn :
A. +∞
B. -∞
C. -1/6
D. 1
Chọn đáp án D
Bài 33: bằng:
Chọn đáp án A
Bài 34: bằng:
A. 3
B. 1/2
C. 1
D. √3
Chọn đáp án D
Bài 35: Tìm giới hạn :
A. +∞
B. -∞
C. 4/3
D. 0
Chọn đáp án B
Bài 36: Tìm giới hạn :
A. +∞
B. -∞
C. 4/3
D. 0
Chọn đáp án B
Bài 37: Tìm giới hạn :
A. +∞
B. -∞
C. -1/3
D. 1
Chọn đáp án C
Bài 38: Tìm a để hàm số sau có giới hạn khi x → 2:
.
A. +∞
B. -∞
C. 1/2
D. 1
Chọn đáp án C
Bài 39: Tìm giới hạn :
A. +∞
B. -∞
C. 4/3
D. 0
Chọn đáp án C
Bài 40: Chọn kết quả đúng của :
A. -∞
B. +∞
C.0
D. Không tồn tại.
Chọn đáp án B
(199k) Học Toán 11 KNTTHọc Toán 11 CDHọc Toán 11 CTST
Xem thêm Bài tập trắc nghiệm Toán 11 có lời giải hay khác:
Tủ sách VIETJACK shopee lớp 10-11 (cả 3 bộ sách):
Đã có app VietJack trên điện thoại, giải bài tập SGK, SBT Soạn văn, Văn mẫu, Thi online, Bài giảng....miễn phí. Tải ngay ứng dụng trên Android và iOS.
Theo dõi chúng tôi miễn phí trên mạng xã hội facebook và youtube:Nếu thấy hay, hãy động viên và chia sẻ nhé! Các bình luận không phù hợp với nội quy bình luận trang web sẽ bị cấm bình luận vĩnh viễn.
- Giải Tiếng Anh 11 Global Success
- Giải sgk Tiếng Anh 11 Smart World
- Giải sgk Tiếng Anh 11 Friends Global
- Lớp 11 - Kết nối tri thức
- Soạn văn 11 (hay nhất) - KNTT
- Soạn văn 11 (ngắn nhất) - KNTT
- Giải sgk Toán 11 - KNTT
- Giải sgk Vật Lí 11 - KNTT
- Giải sgk Hóa học 11 - KNTT
- Giải sgk Sinh học 11 - KNTT
- Giải sgk Lịch Sử 11 - KNTT
- Giải sgk Địa Lí 11 - KNTT
- Giải sgk Giáo dục KTPL 11 - KNTT
- Giải sgk Tin học 11 - KNTT
- Giải sgk Công nghệ 11 - KNTT
- Giải sgk Hoạt động trải nghiệm 11 - KNTT
- Giải sgk Giáo dục quốc phòng 11 - KNTT
- Giải sgk Âm nhạc 11 - KNTT
- Lớp 11 - Chân trời sáng tạo
- Soạn văn 11 (hay nhất) - CTST
- Soạn văn 11 (ngắn nhất) - CTST
- Giải sgk Toán 11 - CTST
- Giải sgk Vật Lí 11 - CTST
- Giải sgk Hóa học 11 - CTST
- Giải sgk Sinh học 11 - CTST
- Giải sgk Lịch Sử 11 - CTST
- Giải sgk Địa Lí 11 - CTST
- Giải sgk Giáo dục KTPL 11 - CTST
- Giải sgk Hoạt động trải nghiệm 11 - CTST
- Giải sgk Âm nhạc 11 - CTST
- Lớp 11 - Cánh diều
- Soạn văn 11 Cánh diều (hay nhất)
- Soạn văn 11 Cánh diều (ngắn nhất)
- Giải sgk Toán 11 - Cánh diều
- Giải sgk Vật Lí 11 - Cánh diều
- Giải sgk Hóa học 11 - Cánh diều
- Giải sgk Sinh học 11 - Cánh diều
- Giải sgk Lịch Sử 11 - Cánh diều
- Giải sgk Địa Lí 11 - Cánh diều
- Giải sgk Giáo dục KTPL 11 - Cánh diều
- Giải sgk Tin học 11 - Cánh diều
- Giải sgk Công nghệ 11 - Cánh diều
- Giải sgk Hoạt động trải nghiệm 11 - Cánh diều
- Giải sgk Giáo dục quốc phòng 11 - Cánh diều
- Giải sgk Âm nhạc 11 - Cánh diều


Giải bài tập SGK & SBT
Tài liệu giáo viên
Sách
Khóa học
Thi online
Hỏi đáp

