Trắc nghiệm Hàm số liên tục
Bài tập trắc nghiệm Hàm số liên tục lớp 11 có lời giải chi tiết giúp học sinh ôn tập và biết cách làm bài tập Toán 11.
Trắc nghiệm Hàm số liên tục
(199k) Học Toán 11 KNTTHọc Toán 11 CDHọc Toán 11 CTST
Bài 1: Cho hàm số . Tìm khẳng định đúng trong các khẳng định sau:
A. Chỉ (I) và (III).
B. Chỉ (I) và (II).
C. Chỉ (I).
D. Chỉ (II)
Chọn đáp án B
Bài 2: Cho hàm số . Tìm k để f(x) gián đoạn tại x= 1.
A. k ≠ ±2.
B. k ≠ 2.
C. k ≠ -2.
D. k ≠ ±1.
Chọn đáp án A
Bài 3: Cho hàm số . Khẳng định nào sau đây đúng nhất
A. Hàm số liên tục tại x = 1
B. Hàm số liên tục tại mọi điểm
C. Hàm số không liên tục tại x = 1
D. Tất cả đều sai
Chọn đáp án C
Bài 4: Chọn giá trị f(0) để các hàm số liên tục tại điểm x= 0.
A. 1
B. 2
C. 3
D. 4
Chọn đáp án A
Bài 5: Cho hàm số . Khẳng định nào sau đây đúng nhất
A. Hàm số liên tục tại x0 = 0
B. Hàm số liên tục tại mọi điểm nhưg gián đoạn tại x0 = 0
C. Hàm số không liên tục tại x0 = 0
D. Tất cả đều sai
Chọn đáp án A
Bài 6: Cho hàm số . Khẳng định nào sau đây đúng nhất
A. Hàm số liên tục tại x0 = 2
B. Hàm số liên tục tại mọi điẻm
C. Hàm số không liên tục tại x0 = 2
D. Tất cả đều sai
Chọn đáp án C
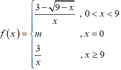
Bài 7: Cho hàm số . Tìm m để f(x) liên tục trên [0; +∞) là.
A. 1/3
B. 1/2
C. 1/6
D. 1
Chọn đáp án C
Bài 8: Cho hàm số . Giá trị của a để f(x) liên tục trên R là:
A. 1 và 2.
B. 1 và -1
C. -1 và 2.
D. 1 và -2
Chọn đáp án D
Bài 9: Cho hàm số Kết luận nào sau đây là đúng?
A. Hàm số f(x) liên tục tại điểm x = -2
B. Hàm số f(x) liên tục tại điểm x = 0
C. Hàm số f(x) liên tục tại điểm x = 0,5
D. Hàm số f(x) liên tục tại điểm x = 2
Hàm số đã cho không xác định tại x = 0, x = -2, x = 2 nên không liên tục tại các điểm đó. Hàm số liên tục tại x = 0,5 vì nó thuộc tập xác định của hàm phân thức f(x).
Chọn đáp án C
Bài 10: Cho với x ≠ 0. Phải bổ sung thêm giá trị f(0) bằng bao nhiêu để hàm số f(x) liên tục tại x=0?
Chọn đáp án C
Bài 11: Cho hàm số với x ≠ 2 . Giá trị của m để f(x) liên tục tại x =2 là:
Chọn đáp án C
Bài 12: Cho hàm số . Tìm b để f(x) liên tục tại x = 3.
Chọn đáp án D
Bài 13: Cho hàm số . Khẳng định nào sau đây đúng nhất.
A. Hàm số liên tục trên R
B. Hàm số không liên tục trên R
C. Hàm số không liên tục trên (1; +∞)
D. Hàm số gián đoạn tại các điểm x= 1.
Chọn đáp án A
Bài 14: Cho phương trình (1) .Chọn khẳng định đúng:
A. Phương trình (1) có đúng một nghiệm trên khoảng (-1; 3).
B. Phương trình (1) có đúng hai nghiệm trên khoảng (-1; 3).
C. Phương trình (1) có đúng ba nghiệm trên khoảng (-1; 3).
D. Phương trình (1) có đúng bốn nghiệm trên khoảng (-1; 3).
Do đó phương trình có ít nhất 4 ngiệm thuộc khoảng (-1; 3).
Mặt khác phương trình bậc 4 có tối đa bốn nghiệm.
Vậy phương trình có đúng 4 nghiệm thuộc khoảng (-1; 3).
Chọn đáp án D
Bài 15: Cho hàm số . Tìm khẳng định đúng trong các khẳng định sau:
A. Chỉ (I).
B. Chỉ (III)
C. Chỉ (I) và (III)
D. Chỉ (II) và (III)
Chọn đáp án C
(199k) Học Toán 11 KNTTHọc Toán 11 CDHọc Toán 11 CTST
Xem thêm Bài tập trắc nghiệm Toán 11 có lời giải hay khác:
- Bài tập tổng ôn Giới hạn (có lời giải)
- Bài tập tổng ôn Giới hạn (có lời giải - phần 2)
- Trắc nghiệm Toán 11 Bài 1: Định nghĩa và ý nghĩa của đạo hàm
- Trắc nghiệm Toán 11 Bài 2: Các quy tắc tính đạo hàm (có lời giải)
- Trắc nghiệm Toán 11 Bài 2: Các quy tắc tính đạo hàm (có lời giải - phần 2)
Tủ sách VIETJACK shopee lớp 10-11 (cả 3 bộ sách):
Đã có app VietJack trên điện thoại, giải bài tập SGK, SBT Soạn văn, Văn mẫu, Thi online, Bài giảng....miễn phí. Tải ngay ứng dụng trên Android và iOS.
Theo dõi chúng tôi miễn phí trên mạng xã hội facebook và youtube:Nếu thấy hay, hãy động viên và chia sẻ nhé! Các bình luận không phù hợp với nội quy bình luận trang web sẽ bị cấm bình luận vĩnh viễn.
- Giải Tiếng Anh 11 Global Success
- Giải sgk Tiếng Anh 11 Smart World
- Giải sgk Tiếng Anh 11 Friends Global
- Lớp 11 - Kết nối tri thức
- Soạn văn 11 (hay nhất) - KNTT
- Soạn văn 11 (ngắn nhất) - KNTT
- Giải sgk Toán 11 - KNTT
- Giải sgk Vật Lí 11 - KNTT
- Giải sgk Hóa học 11 - KNTT
- Giải sgk Sinh học 11 - KNTT
- Giải sgk Lịch Sử 11 - KNTT
- Giải sgk Địa Lí 11 - KNTT
- Giải sgk Giáo dục KTPL 11 - KNTT
- Giải sgk Tin học 11 - KNTT
- Giải sgk Công nghệ 11 - KNTT
- Giải sgk Hoạt động trải nghiệm 11 - KNTT
- Giải sgk Giáo dục quốc phòng 11 - KNTT
- Giải sgk Âm nhạc 11 - KNTT
- Lớp 11 - Chân trời sáng tạo
- Soạn văn 11 (hay nhất) - CTST
- Soạn văn 11 (ngắn nhất) - CTST
- Giải sgk Toán 11 - CTST
- Giải sgk Vật Lí 11 - CTST
- Giải sgk Hóa học 11 - CTST
- Giải sgk Sinh học 11 - CTST
- Giải sgk Lịch Sử 11 - CTST
- Giải sgk Địa Lí 11 - CTST
- Giải sgk Giáo dục KTPL 11 - CTST
- Giải sgk Hoạt động trải nghiệm 11 - CTST
- Giải sgk Âm nhạc 11 - CTST
- Lớp 11 - Cánh diều
- Soạn văn 11 Cánh diều (hay nhất)
- Soạn văn 11 Cánh diều (ngắn nhất)
- Giải sgk Toán 11 - Cánh diều
- Giải sgk Vật Lí 11 - Cánh diều
- Giải sgk Hóa học 11 - Cánh diều
- Giải sgk Sinh học 11 - Cánh diều
- Giải sgk Lịch Sử 11 - Cánh diều
- Giải sgk Địa Lí 11 - Cánh diều
- Giải sgk Giáo dục KTPL 11 - Cánh diều
- Giải sgk Tin học 11 - Cánh diều
- Giải sgk Công nghệ 11 - Cánh diều
- Giải sgk Hoạt động trải nghiệm 11 - Cánh diều
- Giải sgk Giáo dục quốc phòng 11 - Cánh diều
- Giải sgk Âm nhạc 11 - Cánh diều


Giải bài tập SGK & SBT
Tài liệu giáo viên
Sách
Khóa học
Thi online
Hỏi đáp

