17 bài tập trắc nghiệm Đường tiệm cận (có đáp án)
Với 17 bài tập & câu hỏi trắc nghiệm Đường tiệm cận lớp 12 có đáp án và lời giải chi tiết đầy đủ các mức độ nhận biết, thông hiểu, vận dụng sẽ giúp học sinh ôn trắc nghiệm Toán 12.
17 bài tập trắc nghiệm Đường tiệm cận (có đáp án)
(199k) Học Toán 12 KNTTHọc Toán 12 CDHọc Toán 12 CTST
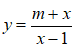
Câu 1: Đồ thị hàm số
có bao nhiêu đường tiệm cận?
A.1 B. 2 C.3 D.4
Suy ra x = 1 và là hai tiệm cận đứng của đồ thị hàm số.
⇒ y = 0 là tiệm cận ngang của đồ thị hàm số.
Vậy đồ thị hàm số đã cho có 3 đường tiệm cận.
Chọn đáp án C
Câu 2: Tìm mệnh đề sai trong các mệnh đề sau:
A. Đồ thị hàm số
có một tiệm cận đứng và một tiệm cận ngang.
B. Đồ thị hàm số
có một tiệm cận đứng và không có tiệm cận ngang
C. Đồ thị hàm số
có tiệm cận đứng x = 3 và tiệm cận ngang
D. Đồ thị hàm số
có một tiệm cận đứng và một tiệm cận ngang.
nên đồ thị hàm số có tiệm cận ngang y=0 . Chọn đáp án B.
Câu 3: Cho hàm số
có đồ thị (C). Chọn mệnh đề đúng trong các
mệnh đề sau:
A. Đường y = 2 là một tiệm cận ngang của (C).
B. Đường y = 1 là một tiệm cận ngang của (C).
C. Đường x = - 2 là một tiệm cận đứng của (C).
D. Đường x = 3 là một tiệm cận ngang của (C).
Ta có
=> y = 1 là một tiệm cận ngang của đồ thị hàm số.
=> y = 3 là một tiệm cận ngang của đồ thị hàm số.
=> x = 2 là tiệm cận đứng của đồ thị hàm số.
Chọn đáp án B.
Câu 4: Tìm tất cả các giá trị thực của tham số m sao cho đồ thị hàm số
A. m > 0 B. m ≥ 1 C. m > 1 D. Không có giá trị nào của m
Ta có
Vậy với m > 1 thì đồ thị hàm số
có hai tiệm cận ngang là
Chọn đáp án C.
Câu 5: Cho các mệnh đề sau
(1) Đường thẳng y = y 0 là đường tiệm cận ngang của đồ thị hàm số y = f(x) nếu
(2) Đường thẳng y = y 0 là đường tiệm cận ngang của đồ thị hàm số y = f(x) nếu
(3) Đường thẳng x = x 0 là đường tiệm cận đứng của đồ thị hàm số y = f(x) nếu
(4) Đường thẳng x = x 0 là đường tiệm cận đứng của đồ thị hàm số y = f(x) nếu
Trong các mệnh đề trên, số mệnh đề đúng là:
A.1 B. 2 C. 3 D. 4
Dựa vào định nghĩa mệnh đề 1 sai và mệnh đề 2, 3, 4 đúng.
Câu 6: Cho hàm số y = f(x) có
Trong các khẳng định dưới đây, khẳng định nào là đúng?
A. Đồ thị hàm số không có tiệm cận ngang.
B. Đồ thị hàm số có đúng một tiệm cận ngang.
C. Đồ thị hàm số có hai tiệm cận ngang là y = 1 và y = -1
D. Đồ thị hàm số có hai tiệm cận ngang là x = 1 và x = -1
Từ định nghĩa đồ thị hàm số có đúng một tiệm cận ngang là y=1
Câu 7: Tìm tất cả các giá trị thực của m để đồ thị hàm số
có hai tiệm cận ngang
A.Không tồn tại B. m < 0 C. m = 0 D. m > 0
Ta có:
Để hàm số có hai tiệm cận ngang thì m > 0.
Câu 8: Cho hàm số
Trong các khẳng định sau, khẳng định nào đúng?
A. Đồ thị hàm số không có tiệm cận ngang.
B. Đồ thị hàm số có đúng một tiệm cận ngang.
C. Đồ thị hàm số có hai tiệm cận ngang là y = 3 và y = -1
D. Đồ thị hàm số có hai tiệm cận ngang là x = 3 và x = -1
Hàm số có đúng một tiệm cận ngang y=3.
Câu 9: Đồ thị hàm số
có tất cả bao nhiêu tiệm cận?
A. 0 B. 1 C. 2 D. 3
Vì x ≥ -3 và x ≠ -1, nên ta chỉ xét trường hợp x → +∞
Vậy đồ thị hàm số đã cho có 2 tiệm cận
Câu 10: Hàm số nào sau đây có đồ thị nhận đường thẳng x = 0 làm tiệm cận đứng?
Ta có:
Do đó, đồ thị hàm số nhận đường thẳng x = 0 là tiệm cận đứng
Câu 11: Đường tiệm cận ngang của đồ thị hàm số
A.y = 1 B. y = 0 C. y = -1 D. Không tồn tại
Ta có:
=> y= -1 là tiệm cận ngang của đồ thị hàm số .
Câu 12: Đường tiệm cận đứng của đồ thị hàm số là
A. x = 0 B. x = 2, x = -2 C. x - 2 = 0 D. x + 2 = 0
Ta có
Do đó x - 2 = 0 là tiệm cận đứng của đồ thị hàm số.
Câu 13: Cho hàm số
Hỏi giao điểm của hai đường tiệm cận của đồ thị hàm số trên luôn nằm trên một đường cố định có phương trình nào trong các phương trình sau?
A. y = x B. x2 + y2 = 1 C. y = x2 D. y = x3
Với m > 1 thì hàm số đã cho không bị suy biến.
y = m là tiệm cận ngang, x = m là tiệm cận đứng của đồ thị hàm số. Vậy giao điểm hai tiệm cận là I(m;m).
Ta có: y1 = x1 nên điểm I thuộc đường thẳng có phương trình y = x.
Câu 14: Đồ thị hàm số y = x3 - mx2 + 2 có tất cả bao nhiêu đường tiệm cận?
A. 1 B. 2 C. 0 D. 3
Hàm số đã cho xác định với mọi x nên đồ thị hàm số không có TCĐ.
Lại có:
Do đó, đồ thị hàm số không có TCN.
Vậy đồ thị hàm số đã cho không có tiệm cận.
Câu 15: Đồ thị hàm số
có tất cả bao nhiêu đường tiệm cận?
A. 1 B. 2 C. 3 D. 4
Suy ra, y = 1; y = -1 là hai đường tiệm cận ngang của đồ thị hàm số.
Vậy đồ thị hàm số đã cho có tất cả 3 đường tiệm cận.
Câu 16: Đồ thị hàm số
có tất cả bao nhiêu đường tiệm cận?
A. 1 B. 2 C. 3 D. 4
Ta có:
Do đó, đồ thị hàm số có 2 đường tiệm cận ngang là y= 2; y = -2
Vậy đồ thị hàm số đã cho có tất cả 4 đường tiệm cận.
Câu 17: Tìm m để đồ thị hàm số
có ba đường tiệm cận
Nên đồ thị hàm số có 1 cận ngang là y= 0
Đồ thị hàm số có ba đường tiệm cận khi đồ thị hàm số có 2 TCĐ
⇒ phương trình x2 - 2mx + 4 = 0 có hai nghiệm phân biệt khác -1.
(199k) Học Toán 12 KNTTHọc Toán 12 CDHọc Toán 12 CTST
Xem thêm bài tập trắc nghiệm Toán lớp 12 có đáp án hay khác:
- 19 bài tập trắc nghiệm Khảo sát sự biến thiên và vẽ đồ thị hàm số (có đáp án)
- 24 bài tập trắc nghiệm Ứng dụng đạo hàm để khảo sát và vẽ đồ thị của hàm số (có đáp án)
- Đề kiểm tra Giải tích 12 Chương 1 (có đáp án)
- 28 bài tập trắc nghiệm Lũy thừa (có đáp án)
- 28 bài tập trắc nghiệm Lũy thừa (có đáp án - phần 2)
Đã có app VietJack trên điện thoại, giải bài tập SGK, SBT Soạn văn, Văn mẫu, Thi online, Bài giảng....miễn phí. Tải ngay ứng dụng trên Android và iOS.
Theo dõi chúng tôi miễn phí trên mạng xã hội facebook và youtube:Nếu thấy hay, hãy động viên và chia sẻ nhé! Các bình luận không phù hợp với nội quy bình luận trang web sẽ bị cấm bình luận vĩnh viễn.
- Giải Tiếng Anh 12 Global Success
- Giải sgk Tiếng Anh 12 Smart World
- Giải sgk Tiếng Anh 12 Friends Global
- Lớp 12 Kết nối tri thức
- Soạn văn 12 (hay nhất) - KNTT
- Soạn văn 12 (ngắn nhất) - KNTT
- Giải sgk Toán 12 - KNTT
- Giải sgk Vật Lí 12 - KNTT
- Giải sgk Hóa học 12 - KNTT
- Giải sgk Sinh học 12 - KNTT
- Giải sgk Lịch Sử 12 - KNTT
- Giải sgk Địa Lí 12 - KNTT
- Giải sgk Giáo dục KTPL 12 - KNTT
- Giải sgk Tin học 12 - KNTT
- Giải sgk Công nghệ 12 - KNTT
- Giải sgk Hoạt động trải nghiệm 12 - KNTT
- Giải sgk Giáo dục quốc phòng 12 - KNTT
- Giải sgk Âm nhạc 12 - KNTT
- Giải sgk Mĩ thuật 12 - KNTT
- Lớp 12 Chân trời sáng tạo
- Soạn văn 12 (hay nhất) - CTST
- Soạn văn 12 (ngắn nhất) - CTST
- Giải sgk Toán 12 - CTST
- Giải sgk Vật Lí 12 - CTST
- Giải sgk Hóa học 12 - CTST
- Giải sgk Sinh học 12 - CTST
- Giải sgk Lịch Sử 12 - CTST
- Giải sgk Địa Lí 12 - CTST
- Giải sgk Giáo dục KTPL 12 - CTST
- Giải sgk Tin học 12 - CTST
- Giải sgk Hoạt động trải nghiệm 12 - CTST
- Giải sgk Âm nhạc 12 - CTST
- Lớp 12 Cánh diều
- Soạn văn 12 Cánh diều (hay nhất)
- Soạn văn 12 Cánh diều (ngắn nhất)
- Giải sgk Toán 12 Cánh diều
- Giải sgk Vật Lí 12 - Cánh diều
- Giải sgk Hóa học 12 - Cánh diều
- Giải sgk Sinh học 12 - Cánh diều
- Giải sgk Lịch Sử 12 - Cánh diều
- Giải sgk Địa Lí 12 - Cánh diều
- Giải sgk Giáo dục KTPL 12 - Cánh diều
- Giải sgk Tin học 12 - Cánh diều
- Giải sgk Công nghệ 12 - Cánh diều
- Giải sgk Hoạt động trải nghiệm 12 - Cánh diều
- Giải sgk Giáo dục quốc phòng 12 - Cánh diều
- Giải sgk Âm nhạc 12 - Cánh diều


Giải bài tập SGK & SBT
Tài liệu giáo viên
Sách
Khóa học
Thi online
Hỏi đáp

