11 bài tập trắc nghiệm Phép chia số phức (có đáp án)
Với 11 bài tập & câu hỏi trắc nghiệm Phép chia số phức lớp 12 có đáp án và lời giải chi tiết đầy đủ các mức độ nhận biết, thông hiểu, vận dụng sẽ giúp học sinh ôn trắc nghiệm Toán 12.
11 bài tập trắc nghiệm Phép chia số phức (có đáp án)
(199k) Học Toán 12 KNTTHọc Toán 12 CDHọc Toán 12 CTST
Câu 1: Nghịch đảo của số phức z = 1 - 2i là
Ta có
Chọn đáp án D.
Câu 2: Số phức
A. -1+i B.1-i C. -1-i D. 1+5i.
Ta có
Chọn đáp án A.
Câu 3: Số phức z thỏa mãn z(1 + 2i) + 1 - i = 2i là
A. -1+i B. 1-i C. 1+i D. -1-i.
Ta có:z(1 + 2i) + 1 - i = 2i là <=> z(1 + 2i) = -1 + 3i
Do đó:
Chọn đáp án C.
Câu 4: Nghịch đảo của số phức z = 1 + i là
Nghịch đảo của số phức z = 1 + i là
Câu 5: Phần thực và phần ảo của số phức
A. 0 và 1 B. 0 và i C. 0 và -1 D. 0 và – i.
Ta có
Vậy phần thực và phần ảo của z là 0 và -1
Câu 6: Cho số phức
Phần thực và phần ảo của số phức w = (z + 1)(z + 2) là
A. 2 và 1 B. 1 và 3 C. 2 và i D. 1 và 3i.
Ta có
Suy ra w = (z + 1)(z + 2) = (i + 1)(i + 2) = -1 + 2i + i + 2 = 1 + 3i
Vậy phần thực và phần ảo của w là 1 và 3
Câu 7: Số phức
Ta có
Câu 8: Cho số phức z thỏa mãn (2 + 3i)z = 1 Khi đó, z− + 2z bằng
A. – 3 + i B. – 3 – i C. 3 + i D. 3 – i.
Ta có: (2 + 3i)z = 1 - 5i. Do đó
⇒ z− = -1 + i
Câu 9: Các số thực x, y thỏa mãn
Khi đó, tổng T = x + y bằng
A. 4 B.5 C. 6 D. 7.
Ta có
Vậy T = -2 + 8 = 6
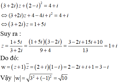
Câu 10: Cho số phức z thỏa mãn (3 + 2i)z + (2 - i)2 = 4 + i. Môđun của số phức w = (z + 1)z− là
A. 2 B. 4 C. 10 D. √10
Ta có:
Câu 11: Cho số phức z thỏa mãn
Môđun của số phức w = z + i + 1 là
A. 3 B. 4 C. 5 D. 6.
(199k) Học Toán 12 KNTTHọc Toán 12 CDHọc Toán 12 CTST
Xem thêm bài tập trắc nghiệm Toán lớp 12 có đáp án hay khác:
- 12 bài tập trắc nghiệm Phương trình bậc hai với hệ số thực (có đáp án)
- 14 bài tập trắc nghiệm Số phức (có đáp án)
- Đề kiểm tra 1 tiết Toán 12 Giải tích Chương 4 (có đáp án)
- 46 bài tập trắc nghiệm Ôn tập cuối năm Toán 12 Giải tích (có đáp án)
- Đề thi Học kì 2 Toán 12 Giải tích (có đáp án)
Đã có app VietJack trên điện thoại, giải bài tập SGK, SBT Soạn văn, Văn mẫu, Thi online, Bài giảng....miễn phí. Tải ngay ứng dụng trên Android và iOS.
Theo dõi chúng tôi miễn phí trên mạng xã hội facebook và youtube:Nếu thấy hay, hãy động viên và chia sẻ nhé! Các bình luận không phù hợp với nội quy bình luận trang web sẽ bị cấm bình luận vĩnh viễn.
- Giải Tiếng Anh 12 Global Success
- Giải sgk Tiếng Anh 12 Smart World
- Giải sgk Tiếng Anh 12 Friends Global
- Lớp 12 Kết nối tri thức
- Soạn văn 12 (hay nhất) - KNTT
- Soạn văn 12 (ngắn nhất) - KNTT
- Giải sgk Toán 12 - KNTT
- Giải sgk Vật Lí 12 - KNTT
- Giải sgk Hóa học 12 - KNTT
- Giải sgk Sinh học 12 - KNTT
- Giải sgk Lịch Sử 12 - KNTT
- Giải sgk Địa Lí 12 - KNTT
- Giải sgk Giáo dục KTPL 12 - KNTT
- Giải sgk Tin học 12 - KNTT
- Giải sgk Công nghệ 12 - KNTT
- Giải sgk Hoạt động trải nghiệm 12 - KNTT
- Giải sgk Giáo dục quốc phòng 12 - KNTT
- Giải sgk Âm nhạc 12 - KNTT
- Giải sgk Mĩ thuật 12 - KNTT
- Lớp 12 Chân trời sáng tạo
- Soạn văn 12 (hay nhất) - CTST
- Soạn văn 12 (ngắn nhất) - CTST
- Giải sgk Toán 12 - CTST
- Giải sgk Vật Lí 12 - CTST
- Giải sgk Hóa học 12 - CTST
- Giải sgk Sinh học 12 - CTST
- Giải sgk Lịch Sử 12 - CTST
- Giải sgk Địa Lí 12 - CTST
- Giải sgk Giáo dục KTPL 12 - CTST
- Giải sgk Tin học 12 - CTST
- Giải sgk Hoạt động trải nghiệm 12 - CTST
- Giải sgk Âm nhạc 12 - CTST
- Lớp 12 Cánh diều
- Soạn văn 12 Cánh diều (hay nhất)
- Soạn văn 12 Cánh diều (ngắn nhất)
- Giải sgk Toán 12 Cánh diều
- Giải sgk Vật Lí 12 - Cánh diều
- Giải sgk Hóa học 12 - Cánh diều
- Giải sgk Sinh học 12 - Cánh diều
- Giải sgk Lịch Sử 12 - Cánh diều
- Giải sgk Địa Lí 12 - Cánh diều
- Giải sgk Giáo dục KTPL 12 - Cánh diều
- Giải sgk Tin học 12 - Cánh diều
- Giải sgk Công nghệ 12 - Cánh diều
- Giải sgk Hoạt động trải nghiệm 12 - Cánh diều
- Giải sgk Giáo dục quốc phòng 12 - Cánh diều
- Giải sgk Âm nhạc 12 - Cánh diều


Giải bài tập SGK & SBT
Tài liệu giáo viên
Sách
Khóa học
Thi online
Hỏi đáp

