25 Bài tập ôn tập Ứng dụng đạo hàm để khảo sát và vẽ đồ thị của hàm số (có lời giải)
Với 25 bài tập & câu hỏi trắc nghiệm Ứng dụng đạo hàm để khảo sát và vẽ đồ thị của hàm số lớp 12 có đáp án và lời giải chi tiết đầy đủ các mức độ nhận biết, thông hiểu, vận dụng sẽ giúp học sinh ôn trắc nghiệm Toán 12.
25 Bài tập ôn tập Ứng dụng đạo hàm để khảo sát và vẽ đồ thị của hàm số (có lời giải)
(199k) Học Toán 12 KNTTHọc Toán 12 CDHọc Toán 12 CTST
Bài 1: Cho hàm số
và các mệnh đề sau
(1) Hàm số trên nhận điểm I(1;-1) làm tâm đối xứng,
(2) Hàm số trên nhận đường thẳng y = -x làm trục đối xứng.
(3) Hàm số trên nhận y = -1 là tiệm cận đứng.
(4) Hàm số trên luôn đồng biến trên R .
Trong số các mệnh đề trên, số mệnh đề sai là
A. 1 B.2 C.3 D. 4
+ Hàm số có tiệm cận đứng x=1 và tiệm cận ngang y= -1. Giao điểm của hai đường tiệm cận là I(1; -1) là tâm đối xứng của đồ thị. Mệnh đề 1 đúng, mệnh đề 3 sai.
+ Vì đường thẳng y=-x là một phân giác của góc tạo bởi 2 đường tiệm cận nên đường thẳng y=-x là một trục đối xứng của đồ thị hàm số. Mệnh đề 2 đúng.
+ Hàm số có tập xác định là R\{1}, nên hàm số không thể luôn đồng biến trên R.Mệnh đề 4 sai.
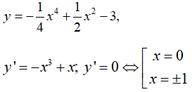
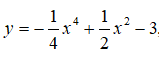
Bài 2: Trong các khẳng định sau về hàm số
khẳng định nào là đúng?
A. Hàm số có điểm cực tiểu là x = 0
B. Hàm số có hai điểm cực đại là x = ±1
C. Cả A và B đều đúng;
D. Cả A và B đều sai,
Lập bảng biến thiên, ta thấy hàm số có điểm cực tiểu là x = 0, có hai điểm cực đại là x = 1 và x = -1.
Bài 3: Trong các mệnh đề sau, hãy tìm mệnh đề sai:
A. Hàm số y = -x3 + 3x2 - 3 có cực đại và cực tiểu;
B. Hàm số y = x3 + 3x + 1 có cực trị;
C. Hàm số
không có cực trị;
D. Hàm số
đồng biến trên từng khoảng xác định.
Xét hàm số y=x3 + 3x + 1 có: y' = 3x2 + 3
Phương trình y’ = 0 vô nghiệm. Do đó, hàm số này không có cực trị
⇔ mệnh đề B sai .
Bài 4: Lưu lượng xe vào hầm cho bởi công thức
trong đó v (km/h) là vận tốc trung bình của các xe khi vào hầm. Với giá trị xấp xỉ nào của v thì lưu lượng xe là lớn nhất?
A. 26 B.27 C. 28 D. 29
Xét
Hàm số đạt giá trị lớn nhất tại v ≈ 27 .
Bài 5: Đồ thị hàm số nào sau đây có hình dạng như hình bên?
A. y = x3 + 3x + 1
B. y = x3 - 3x + 1
C. y = -x3 - 3x + 1
D. y = - x3 + 3x + 1
Dựa vào hình vẽ ta suy ra, hàm số đã cho là hàm số bậc ba có hệ số a > 0 và hàm số không có điểm cực trị.
⇒ Loại C và D.
* Xét phương án A y = x3 + 3x + 1
có y' = 3x2 + 3 nên hàm số không có cực trị.
⇒ A thỏa mãn
* xét phương án B: y = x3 - 3x + 1 có y' = 3x2 - 3; y' = 0 ⇔ x = ±1
Và y’ đổi dấu khi qua 2 điểm 1; -1 . Do đó, hàm số này có 2 điểm cực trị.
⇒ Loại B
Bài 6: Số đường tiệm cận của đồ thị hàm số
A. 3 B.2 C. 1 D.4
Suy ra, hàm số có tiệm cận đứng x = ±2.
Vậy đồ thị hàm số đã cho có tất cả 3 đường tiệm cận.
Bài 7: Gọi M và m tương ứng là giá trị lớn nhất và giá trị nhỏ nhất của hàm số y = 2sin2x - cosx + 1 thì M.m bằng
A. 0 B. 25/8 C. 25/4 D. 2
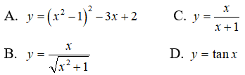
Bài 8: Hàm số nào sau đây là hàm số đồng biến trên R
* Xét phương án A: y = (x2 - 1)2 - 3x + 2
y'=2(x2-1).2x - 3 = 4x3 - 4x - 3
Và y’ > 0 không đúng với ∀ x ∈ R
Do đó, hàm số này đồng biến trên R.
Chọn B.
* Phương án C và D, hàm số có tập xác định không phải là R nên hàm số không thể đồng biến trên R.
Bài 9: Cho hàm số y = - x3 + 3x2 - 3x + 1, mệnh đề nào sau đây là đúng?
A. Hàm số luôn nghịch biến.
B. Hàm số luôn đồng biến
C. Hàm số đạt cực đại tại x = 1
D. Hàm số đạt cực tiểu tại x = 1
y' = -3x2 + 6x - 3 = -3(x2 - 2x + 1) = -3(x - 1)2 ≤ 0 ∀x ∈ R. Hàm số luôn nghịch biến.
Bài 10: Hàm số:
là hàm hằng trên khoảng nào sau đây?
Điều kiện:
Hàm số là hàm hằng x ≠ π +2kπ (k ∈ Z)
Do đó, hàm số đã cho cũng là hàm hằng trên khoảng (0; π) .
Bài 11: Cho hàm số y = x2 - 2|x| + 2 và các mệnh đề
(1) Hàm số trên liên tục trên R
(2) Hàm số trên có đạo hàm tại x = 0
(3) Hàm số trên đạt GTNN tại x = 0.
(4) Hàm số trên đạt GTLN tại x = 0.
(5) Hàm số trên là hàm chẵn
(6) Hàm số trên cắt trục hoành tại duy nhất một điểm
Trong các mệnh đề trên, số mệnh đề đúng là
A.1 B. 2 C.3 D. 4
* Hàm số đã cho liên tục trên R vì với nên (1) đúng
* Tại điểm x = 0 hàm số không có đạo hàm nên (2) sai.
*y = x2 - 2|x| + 2 = |x|2 - 2|x| + 2 = (|x| - 1)2 + 1 ≥ 1 ∀ x
Suy ra, GTNN của hàm số là 1 khi |x| = 1 ⇔ x = ±1
nên hàm số không có GTLN.
* Phương trình x2 - 2|x| + 2=0 vô nghiệm nên đồ thị không cắt trục hoành.
f(-x)=(-x)2 - 2|-x| + 2 = x2 - 2|x| + 2 = f(x)
Nên hàm số đã cho là hàm số chẵn.
Mệnh đề 1, 5 đúng. Mệnh đề 2, 3,4,6 sai.
(199k) Học Toán 12 KNTTHọc Toán 12 CDHọc Toán 12 CTST
Xem thêm bài tập trắc nghiệm Toán lớp 12 có đáp án hay khác:
- Bài tập ôn tập Ứng dụng đạo hàm để khảo sát và vẽ đồ thị của hàm số (có lời giải - phần 2)
- Trắc nghiệm Lũy thừa (có lời giải)
- Trắc nghiệm Lũy thừa (có lời giải - phần 2)
- Trắc nghiệm Hàm số lũy thừa (có lời giải)
- Trắc nghiệm Hàm số lũy thừa (có lời giải - phần 2)
Đã có app VietJack trên điện thoại, giải bài tập SGK, SBT Soạn văn, Văn mẫu, Thi online, Bài giảng....miễn phí. Tải ngay ứng dụng trên Android và iOS.
Theo dõi chúng tôi miễn phí trên mạng xã hội facebook và youtube:Nếu thấy hay, hãy động viên và chia sẻ nhé! Các bình luận không phù hợp với nội quy bình luận trang web sẽ bị cấm bình luận vĩnh viễn.
- Giải Tiếng Anh 12 Global Success
- Giải sgk Tiếng Anh 12 Smart World
- Giải sgk Tiếng Anh 12 Friends Global
- Lớp 12 Kết nối tri thức
- Soạn văn 12 (hay nhất) - KNTT
- Soạn văn 12 (ngắn nhất) - KNTT
- Giải sgk Toán 12 - KNTT
- Giải sgk Vật Lí 12 - KNTT
- Giải sgk Hóa học 12 - KNTT
- Giải sgk Sinh học 12 - KNTT
- Giải sgk Lịch Sử 12 - KNTT
- Giải sgk Địa Lí 12 - KNTT
- Giải sgk Giáo dục KTPL 12 - KNTT
- Giải sgk Tin học 12 - KNTT
- Giải sgk Công nghệ 12 - KNTT
- Giải sgk Hoạt động trải nghiệm 12 - KNTT
- Giải sgk Giáo dục quốc phòng 12 - KNTT
- Giải sgk Âm nhạc 12 - KNTT
- Giải sgk Mĩ thuật 12 - KNTT
- Lớp 12 Chân trời sáng tạo
- Soạn văn 12 (hay nhất) - CTST
- Soạn văn 12 (ngắn nhất) - CTST
- Giải sgk Toán 12 - CTST
- Giải sgk Vật Lí 12 - CTST
- Giải sgk Hóa học 12 - CTST
- Giải sgk Sinh học 12 - CTST
- Giải sgk Lịch Sử 12 - CTST
- Giải sgk Địa Lí 12 - CTST
- Giải sgk Giáo dục KTPL 12 - CTST
- Giải sgk Tin học 12 - CTST
- Giải sgk Hoạt động trải nghiệm 12 - CTST
- Giải sgk Âm nhạc 12 - CTST
- Lớp 12 Cánh diều
- Soạn văn 12 Cánh diều (hay nhất)
- Soạn văn 12 Cánh diều (ngắn nhất)
- Giải sgk Toán 12 Cánh diều
- Giải sgk Vật Lí 12 - Cánh diều
- Giải sgk Hóa học 12 - Cánh diều
- Giải sgk Sinh học 12 - Cánh diều
- Giải sgk Lịch Sử 12 - Cánh diều
- Giải sgk Địa Lí 12 - Cánh diều
- Giải sgk Giáo dục KTPL 12 - Cánh diều
- Giải sgk Tin học 12 - Cánh diều
- Giải sgk Công nghệ 12 - Cánh diều
- Giải sgk Hoạt động trải nghiệm 12 - Cánh diều
- Giải sgk Giáo dục quốc phòng 12 - Cánh diều
- Giải sgk Âm nhạc 12 - Cánh diều


Giải bài tập SGK & SBT
Tài liệu giáo viên
Sách
Khóa học
Thi online
Hỏi đáp

