25 Bài tập ôn tập Ứng dụng đạo hàm để khảo sát và vẽ đồ thị của hàm số (có lời giải - phần 2)
Với 25 bài tập & câu hỏi trắc nghiệm Ứng dụng đạo hàm để khảo sát và vẽ đồ thị của hàm số lớp 12 có đáp án và lời giải chi tiết đầy đủ các mức độ nhận biết, thông hiểu, vận dụng sẽ giúp học sinh ôn trắc nghiệm Toán 12.
25 Bài tập ôn tập Ứng dụng đạo hàm để khảo sát và vẽ đồ thị của hàm số (có lời giải - phần 2)
(199k) Học Toán 12 KNTTHọc Toán 12 CDHọc Toán 12 CTST
Bài 12: Hàm số
đồng biến trên từng khoảng xác định của nó khi:
A. m > 0 B. m < 0 C. m ≠ 1 D. m > 0
Để hàm số tăng trên từng khoảng xác định thì y’ > 0 <=> m > 0.
Bài 13: Trong các tiếp tuyến tại các điểm trên đồ thị hàm số y = x3 - 3x2 + 2, tiếp tuyến có hệ số góc nhỏ nhất bằng:
A. -3 B. 3 C. -4 D. 0
Tiếp tuyến của đồ thị hàm số có hệ số góc là
k = y' = 3x2 - 6x = (3x2 - 6x + 3) - 3 = 3(x - 1)2 - 3 ≥ -3 ∀x ∈ R
Trong các tiếp tuyến tại các điểm trên đồ thị hàm số, tiếp tuyến có hệ số góc nhỏ nhất bằng -3.
Bài 14: Hàm số nào sau đây có bảng biến thiên như hình bên?
* Đồ thị hàm số đã cho có TCĐ là x =2, TCN là y = 2.
Hàm số nghịch biến trên TXĐ.
Chọn A.
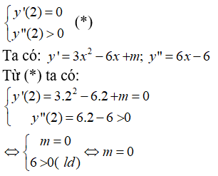
Bài 15: Hàm số y = x3 - 3x2 + mx đạt cực tiểu tại x = 2 khi:
A.m < 0 B. m > 0 C. m = 0 D. m ≠ 0
Hàm số y = x3 - 3x2 + mx đạt cực tiểu tại x = 2 khi và chỉ khi:
Bài 16: Hàm số
đồng biến trên tập xác định của nó khi:
A. -2 ≤ m ≤ -1 B. -2 < m < -1 C. m < -2 D. m > -1
Hàm số có tập xác định: D = R.
y'=x2 + 2(m + 1)x - m - 1
Để hàm số đã cho đồng biến trên R khi và chỉ khi:
y' = f(x) = x2 + 2(m + 1)x - m - 1 ≥ 0 ∀ x ∈ R
⇔ Δ' = (^m + m + 1 = m2 + 3m + 2 ≤ 0
⇔ -2 ≤ m ≤ -1
Bài 17: Cho đồ thị hàm số y = x3 - 2x2 + 2x (C). Gọi x1,x2 là hoành độ các điểm M, N trên (C), mà tại đó tiếp tuyến của (C) vuông góc với đường thẳng y = -x + 2017 . Khi đó (x1, x2) bằng
A. 4 B. -4/3 C. 4/3 D. -1
Tiếp tuyến của C vuông góc với đường thẳng y= -x + 2017 nên hệ số góc của tiếp tuyến là k2 thỏa mãn (-1)k2 = -1 => k2 = 1
Suy ra k2 = y' = 1 => 3x2 - 4x + 2 <=> 3x2 - 4x + 2 = 0 (*)
Vì x1, x2 là nghiệm của (*) nên áp dụng Vi-ét ta có x1 + x2 = 4/3
Bài 18: Một ngọn hải đăng đặt trại vị trí A cách bờbiển một khoảng AB = 5km. Trên bờ biển có một kho vị trí C cách B một khoảng là 7km. Do địa hình hiểm trở, người canh hải đăng chỉ có thể chèo thuyền từ A đến M trên bờ biển với vận tốc 4km/h rồi đi bộ đến C, với vận tốc 6km/h. Vậy vị trí M cách B một khoảng bao xa thì người đó đến kho là nhanh nhất?
A. 3,5km B. 4,5km C. 5,5km D. 6,5km
Đặt BM = x (0 ≤ x ≤ 7) => MC = 7 - x. Áp dụng định lí Py-ta-go cho tam giác vuông ABM có
Thời gian đi từ A đến M là
thời gian đi từ M đến C là
Tổng thời gian đi từ A đến C là
Bảng biến thiên
Để người đó đến kho nhanh nhất thì thời gian đi cần ít nhất, tức t đạt giá trị nhỏ nhất. Dựa vào bảng biến thiên ta thấy t đạt giá trị nhỏ nhất tại x = 2√5 ≈ 4,5
Vậy vị trí điểm M cách B một khoảng là 4,5km thì người đó đến kho là nhanh nhất.
Bài 19: Cho hàm số y = -x2 - 4x + 3 có đồ thị (C). Nếu tiếp tuyến tại M của (C) có hệ số góc bằng 8 thì hoành độ điểm M là:
A. 12 B. -6 C. -1 D. 5
Đạo hàm y’ = -2x - 4 = 8
Hệ số góc tại điểm có hoành độ x0 là: k = y'(x0) = -2x0 - 4
Để k = 8 thì -2x0 - 4 = 8 ⇔ x0 = -6
Vậy nếu tiếp tuyến tại M của (C) có hệ số góc bằng 8 thì hoành độ điểm M là -6.
Bài 20: Cho hàm số y = -x4 + 2x2 - 1. Số giao điểm của đồ thị hàm số với trục Ox là:
A. 1 B.2 C. 3 D. 4
Phương trình hoành độ giao điểm của đồ thị hàm số và trục hoành là:
Số giao điểm của đồ thị hàm số với trục Ox là hai điểm.
Bài 21: Cho hàm số y = 3sinx - 4sin3x. Giá trị lớn nhất của hàm số trên khoảng (-π/2 ; π/2) bằng
A. -1 B. π/6 C. 1 D. -π/6
Bài 22: Cho hàm số y = x3 - 3x2 + 1. Tích các giá trị cực đại và giá trị cực tiểu của hàm số bằng
A. -6 B. -3 C.0 D. 3
Ta có: y(0) = 1; y(2) = -3
Lập bảng biến thiên suy ra,Hàm số có giá trị cực đại bằng 1 và giá trị cực tiểu bằng -3. Tích của giá trị cực đại và giá trị cực tiểu bằng -3.
Bài 23: Số đường thẳng đi qua điểm A(0; 3) và tiếp xúc với đồ thị hàm số y = x4 - 2x2 + 3 là:
A. 0 B. 1 C. 2 D. 3
Ta có y' = 4x3 - 4x . Tiếp tuyến của đồ thị hàm số tại điểm có hoành độ x0 có dạng
Ứng với ba giá trị của x ta viết được ba phương trình đường thẳng thỏa mãn đầu bài.
Vậy có 3 đường thẳng thỏa mãn yêu cầu bài toán.
Bài 24: Thể tích V của 1kg nước ở nhiệt độ T(0o ≤ T ≤ 30o) được cho bởi công thức V = 999,87 - 0,06426T + 0,0085043T2 - 0,0000679T3. Ở nhiệt độ xấp xỉ bao nhiêu thì nước có khối lượng riêng lớn nhất?
A. 1 B.2 C. 3 D. 4
(199k) Học Toán 12 KNTTHọc Toán 12 CDHọc Toán 12 CTST
Xem thêm bài tập trắc nghiệm Toán lớp 12 có đáp án hay khác:
- Trắc nghiệm Lũy thừa (có lời giải)
- Trắc nghiệm Lũy thừa (có lời giải - phần 2)
- Trắc nghiệm Hàm số lũy thừa (có lời giải)
- Trắc nghiệm Hàm số lũy thừa (có lời giải - phần 2)
- Trắc nghiệm Lôgarit (có lời giải)
Đã có app VietJack trên điện thoại, giải bài tập SGK, SBT Soạn văn, Văn mẫu, Thi online, Bài giảng....miễn phí. Tải ngay ứng dụng trên Android và iOS.
Theo dõi chúng tôi miễn phí trên mạng xã hội facebook và youtube:Nếu thấy hay, hãy động viên và chia sẻ nhé! Các bình luận không phù hợp với nội quy bình luận trang web sẽ bị cấm bình luận vĩnh viễn.
- Giải Tiếng Anh 12 Global Success
- Giải sgk Tiếng Anh 12 Smart World
- Giải sgk Tiếng Anh 12 Friends Global
- Lớp 12 Kết nối tri thức
- Soạn văn 12 (hay nhất) - KNTT
- Soạn văn 12 (ngắn nhất) - KNTT
- Giải sgk Toán 12 - KNTT
- Giải sgk Vật Lí 12 - KNTT
- Giải sgk Hóa học 12 - KNTT
- Giải sgk Sinh học 12 - KNTT
- Giải sgk Lịch Sử 12 - KNTT
- Giải sgk Địa Lí 12 - KNTT
- Giải sgk Giáo dục KTPL 12 - KNTT
- Giải sgk Tin học 12 - KNTT
- Giải sgk Công nghệ 12 - KNTT
- Giải sgk Hoạt động trải nghiệm 12 - KNTT
- Giải sgk Giáo dục quốc phòng 12 - KNTT
- Giải sgk Âm nhạc 12 - KNTT
- Giải sgk Mĩ thuật 12 - KNTT
- Lớp 12 Chân trời sáng tạo
- Soạn văn 12 (hay nhất) - CTST
- Soạn văn 12 (ngắn nhất) - CTST
- Giải sgk Toán 12 - CTST
- Giải sgk Vật Lí 12 - CTST
- Giải sgk Hóa học 12 - CTST
- Giải sgk Sinh học 12 - CTST
- Giải sgk Lịch Sử 12 - CTST
- Giải sgk Địa Lí 12 - CTST
- Giải sgk Giáo dục KTPL 12 - CTST
- Giải sgk Tin học 12 - CTST
- Giải sgk Hoạt động trải nghiệm 12 - CTST
- Giải sgk Âm nhạc 12 - CTST
- Lớp 12 Cánh diều
- Soạn văn 12 Cánh diều (hay nhất)
- Soạn văn 12 Cánh diều (ngắn nhất)
- Giải sgk Toán 12 Cánh diều
- Giải sgk Vật Lí 12 - Cánh diều
- Giải sgk Hóa học 12 - Cánh diều
- Giải sgk Sinh học 12 - Cánh diều
- Giải sgk Lịch Sử 12 - Cánh diều
- Giải sgk Địa Lí 12 - Cánh diều
- Giải sgk Giáo dục KTPL 12 - Cánh diều
- Giải sgk Tin học 12 - Cánh diều
- Giải sgk Công nghệ 12 - Cánh diều
- Giải sgk Hoạt động trải nghiệm 12 - Cánh diều
- Giải sgk Giáo dục quốc phòng 12 - Cánh diều
- Giải sgk Âm nhạc 12 - Cánh diều


Giải bài tập SGK & SBT
Tài liệu giáo viên
Sách
Khóa học
Thi online
Hỏi đáp

