40 Bài tập ôn tập Hàm số lũy thừa, hàm số mũ, hàm số logarit (có lời giải)
Với 40 bài tập & câu hỏi trắc nghiệm Hàm số lũy thừa, hàm số mũ, hàm số logarit lớp 12 có đáp án và lời giải chi tiết đầy đủ các mức độ nhận biết, thông hiểu, vận dụng sẽ giúp học sinh ôn trắc nghiệm Toán 12.
40 Bài tập ôn tập Hàm số lũy thừa, hàm số mũ, hàm số logarit (có lời giải)
(199k) Học Toán 12 KNTTHọc Toán 12 CDHọc Toán 12 CTST
Bài 1: Tìm các đường tiệm cận ngang của đồ thị hàm số
A. y = 0 C. y = 0 và y = 1
B. y = -1 D. y = 0 và y = -1
Từ đó suy ra hàm số có hai tiệm cận ngang là y = 1 và y = 0
Bài 2: Ngày 27 tháng 3 năm 2016 bà Mai gửi tiết kiệm vào ngân hàng số tiền 100 triệu đồng với hình thức lãi kép và lãi suất 6,8% một năm. Bà Mai dự tính đến ngày 27 tháng 3 năm 2020 thì rút hết tiền ra để lo công chuyện. Hỏi bà sẽ rút được bao nhiêu tiền (làm tròn kết quả đến hàng nghìn) ?
A. 38949000 đồng C. 31259000 đồng
B. 21818000 đồng D. 30102000 đồng
Số tiền lãi bà Mai nhận được sau 4 năm (2020 - 2016 = 4 năm) là :
100000000(1 + 0,068)4 - 100000000 ≈ 30102000(đồng)
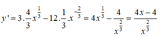
Bài 3: Tính đạo hàm của hàm số
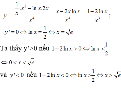
Bài 4: Cho hàm số
Khẳng định nào sau đây đúng ?
A. x = e2 là điểm cực đại của hàm số
B. x = e2 là điểm cực tiểu của hàm số
C. x = √e là điểm cực đại của hàm số
D. x = √e là điểm cực tiểu của hàm số
Tập xác định: D = (0; +∞)
Nên x = √e là điểm cực đại của hàm số
Bài 5: Giải phương trình
Điều kiện : log3x ≠ 0 ⇔ x ≠ 1
Bài 6: Tính tổng bình phương các nghiệm của phương trình 32 + x + 32 - x = 82
A. 4 B. 8 C. 12 D. 16
Ta có:
PT <⇒ 9.32x - 82.3x + 9 = 0. Đặt t = 3x (t > 0), nhận được phương trình
Bài 7: Nếu logkx.log5k = 3 thì x bằng
A. k3 B. k5 C. 125 D. 243
Điều kiện: x > 0
Bài 8: x là nghiệm của phương trình log3x + log9x + log27x = 11/2 . Hãy tính x-1/3
A. x = 3 B. x = 1/3 C. x = ∛9 D. x = 1/∛9
Điều kiện: x > 0
PT <⇒ log3x + log32x + log33x = 11/2
Bài 9: Giả sử x là nghiệm của phương trình 4log2x + x2 = 8. Tính (log3x)3
A. 1 B. 8 C. 2√2 D. ±1
Điều kiện: x > 0
Ta có: 4log2x = 22log2x = 2log2x2 = x2.
Do đó phương trình đã cho tương đương với:
x2 + x2 = 8 ↔ 2x2 = 8 <⇒ x2 = 4 <⇒ x = 2 (do x > 0) .
Vậy (log2x)3 = 13 = 1
Bài 10: Giải bất phương trình 9x - 82.3x + 81 ≤ 0
A. 1 ≤ x ≤ 4 B. 0 ≤ x ≤ 4 C. 1 ≤ x ≤ 5 D. 0 ≤ x ≤ 5
Đặt t = 3x (t > 0), nhận được bất phương trình:
t2 - 82t + 81 ≤ 0 <⇒ 1 ≤ t ≤ 81 <⇒ 1 = 30 ≤ 3x ≤ 34 <⇒ 0 ≤ x ≤ 4
Bài 11: Khẳng định nào sau đây là đúng?
Bài 12: Lôgarit cơ số 3 của 27.∜9.∛9 là:
Bài 13: Tính giá trị biểu thức 7log77 - log777
A. 0 B. -6 C. 7 D. 1/7
7log77 - log777 = 7 - 7log77 = 7 - 7.1 = 0
Bài 14: Giải phương trình 10x = 400
A. x = 2log4 B. x = 4log2 C. x = 2log2 + 2 D. x = 4
10x = 400 ⇒ x = log400 = log(22.102) = log22 + log102 = 2log2 + 2
Bài 15: Nếu logx - 5log3 = -2 thì x bằng
A. 0,8 B. 0,81 C. 1,25 D. 2,43
Điều kiện: x > 0
⇒ x = 2,43
Bài 16: Giải bất phương trình 2x + 2x + 1 ≤ 3x + 3x - 1
A. x ≤ 2 B. x ≤ -2 C. x ≥ 2 D. x ≥ -2
2x + 2x + 1 ≤ 3x + 3x - 1 <⇒2x + 2.2x ≤ 3x + (1/3).3xx <⇒ 3.2x ≤ 4/3.3x
Bài 17: Giải bất phương trình log45x - log3 > 1
Điều kiện: x > 0
log45x - log3 > 1 <⇒ log(45x/3) > 1 <⇒ log15x > 1 <⇒ 15x > 10 <⇒ x > 2/3
Kết hợp điều kiện ta được: x > 2/3
Bài 18: Rút gọn biểu thức
Bài 19: Tìm các điểm cực trị của hàm số
A.x = -1 B. x = 1 C. x = 1/2 D. x = 2
Ta thấy y’ đổi dấu khi đi qua điểm x = 1 nên hàm số có một điểm cực trị là x = 1.
Bài 20: Đặt log2 = a, log3 = b . Khi đó log512 bằng
(199k) Học Toán 12 KNTTHọc Toán 12 CDHọc Toán 12 CTST
Xem thêm bài tập trắc nghiệm Toán lớp 12 có đáp án hay khác:
- Bài tập ôn tập Hàm số lũy thừa, hàm số mũ, hàm số logarit (có lời giải - phần 2)
- Trắc nghiệm Nguyên hàm (có lời giải)
- Trắc nghiệm Nguyên hàm (có lời giải - phần 2)
- Trắc nghiệm Tích phân
- Trắc nghiệm Ứng dụng hình học của tích phân
Đã có app VietJack trên điện thoại, giải bài tập SGK, SBT Soạn văn, Văn mẫu, Thi online, Bài giảng....miễn phí. Tải ngay ứng dụng trên Android và iOS.
Theo dõi chúng tôi miễn phí trên mạng xã hội facebook và youtube:Nếu thấy hay, hãy động viên và chia sẻ nhé! Các bình luận không phù hợp với nội quy bình luận trang web sẽ bị cấm bình luận vĩnh viễn.
- Giải Tiếng Anh 12 Global Success
- Giải sgk Tiếng Anh 12 Smart World
- Giải sgk Tiếng Anh 12 Friends Global
- Lớp 12 Kết nối tri thức
- Soạn văn 12 (hay nhất) - KNTT
- Soạn văn 12 (ngắn nhất) - KNTT
- Giải sgk Toán 12 - KNTT
- Giải sgk Vật Lí 12 - KNTT
- Giải sgk Hóa học 12 - KNTT
- Giải sgk Sinh học 12 - KNTT
- Giải sgk Lịch Sử 12 - KNTT
- Giải sgk Địa Lí 12 - KNTT
- Giải sgk Giáo dục KTPL 12 - KNTT
- Giải sgk Tin học 12 - KNTT
- Giải sgk Công nghệ 12 - KNTT
- Giải sgk Hoạt động trải nghiệm 12 - KNTT
- Giải sgk Giáo dục quốc phòng 12 - KNTT
- Giải sgk Âm nhạc 12 - KNTT
- Giải sgk Mĩ thuật 12 - KNTT
- Lớp 12 Chân trời sáng tạo
- Soạn văn 12 (hay nhất) - CTST
- Soạn văn 12 (ngắn nhất) - CTST
- Giải sgk Toán 12 - CTST
- Giải sgk Vật Lí 12 - CTST
- Giải sgk Hóa học 12 - CTST
- Giải sgk Sinh học 12 - CTST
- Giải sgk Lịch Sử 12 - CTST
- Giải sgk Địa Lí 12 - CTST
- Giải sgk Giáo dục KTPL 12 - CTST
- Giải sgk Tin học 12 - CTST
- Giải sgk Hoạt động trải nghiệm 12 - CTST
- Giải sgk Âm nhạc 12 - CTST
- Lớp 12 Cánh diều
- Soạn văn 12 Cánh diều (hay nhất)
- Soạn văn 12 Cánh diều (ngắn nhất)
- Giải sgk Toán 12 Cánh diều
- Giải sgk Vật Lí 12 - Cánh diều
- Giải sgk Hóa học 12 - Cánh diều
- Giải sgk Sinh học 12 - Cánh diều
- Giải sgk Lịch Sử 12 - Cánh diều
- Giải sgk Địa Lí 12 - Cánh diều
- Giải sgk Giáo dục KTPL 12 - Cánh diều
- Giải sgk Tin học 12 - Cánh diều
- Giải sgk Công nghệ 12 - Cánh diều
- Giải sgk Hoạt động trải nghiệm 12 - Cánh diều
- Giải sgk Giáo dục quốc phòng 12 - Cánh diều
- Giải sgk Âm nhạc 12 - Cánh diều


Giải bài tập SGK & SBT
Tài liệu giáo viên
Sách
Khóa học
Thi online
Hỏi đáp

