Trắc nghiệm Phương trình bậc hai với hệ số thực (có lời giải)
Bài tập trắc nghiệm Phương trình bậc hai với hệ số thực lớp 12 có lời giải chi tiết với bài tập đa dạng sẽ giúp học sinh ôn luyện và biết cách làm bài tập Toán 12.
Trắc nghiệm Phương trình bậc hai với hệ số thực (có lời giải)
(199k) Học Toán 12 KNTTHọc Toán 12 CDHọc Toán 12 CTST
Bài 1: Phương trình z2 + 4x + 5 = 0 có các nghiệm là
A. 2 ± i B. -2 ± i C. 4 ± i D. -4 ± i
Ta có: Δ' = 22 - 1.5 = -1 = i2. Phương trình có hai nghiệm là:
Bài 2: Phương trình z2 + 8z + 17 = 0 có hai nghiệm
A. 1 - i và 1 - 2i B. 4 - i và 4 + i
C. -4 - i và -4 + i D. -2 + 2i và -2 + 4i
Ta có: Δ = 16 - 17 = -1 = i2. Phương trình có các nghiệm là:
z1 = -4 - i, z2 = -4 + i
Bài 3: Phương trình z2 - 4z + 9 = 0 có hai nghiệm. Giá trị biểu thức T = |z1| + |z2| bằng
A. – 6 B. 6 C. 8 D. 2√3
Ta có: Δ' = 4 - 9 = -5 = 5i2. Phương trình có hai nghiệm là:
z1,2 = 2 ± i√5
Vậy T = 2√(4 + 5) = 2√9 = 6
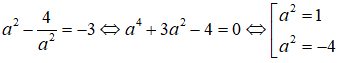
Bài 4: Phương trình z4 + 3z2 - 4 = 0 có 4 nghiệm phức z1, z2, z3, z4. Giá trị biểu thức T = |z1| + |z2| + |z3| + |z4| bằng
A. 6 B. 2√2 C. 2 + 2√2 D. 4 + 2√2
Ta có
⇒ |z1| = |z2| = 1; |z3| = |z4| = 2
Vậy T = 1 + 1 + 2 + 2 = 6
Bài 5: Số phức z thỏa mãn
Giá trị biểu thức
A. 1 B. 2 C. 3 D. 3672
Ta có: z + 1/z = √3 <=> z2 - √3z + 1 = 0 (1)
Xét phương trình (1): Ta có: Δ = (√3)2 - 4.1.1 = -1 = i2
Phương trình (1) có hai nghiệm là:
Do đó
Ta có:
Vậy T = 1 + 1 = 2
Bài 6: Phương trình z2 -az + b = 0 (a, b ∈ R) có nghiệm z = 1 + i khi
A. a = 2, b = -2 B. a = 2, b = 2 C. a = -2, b = 2 D. a = -2, b = -2
Thay z = 1 + i vào phương trình đã cho ta có:
Chọn đáp án B.
Bài 7: Phương trình 2z2 + 4z + 5 = 0 có các nghiệm là
Ta có: Δ' = 4 - 10 = -6 = 6i2
Phương trình đã cho có các nghiệm là
Chọn đáp án C.
Bài 8: Phương trình z2 - z + 1 = 0 có hai nghiệm là
Ta có: Δ = 12 - 4 = -3 = 3i2
Các nghiệm của phương trình đã cho là
Chọn đáp án A.
Bài 9: Để phương trình z2 + bz + c = 0 nhận z1 = -4 + 2i và z2 = -4 - 2i làm nghiệm thì
A. b = -8, c = 20 B. b = -8, c = -20
C. b = 8, c = 20 D. b = 8, c = 20
Gọi z1, z2 là hai nghiệm của phương trình đã cho, áp dụng hệ thức Vi-ét ta có:
Để phương trình đã cho nhận z1, z2 làm nghiệm thì
Chọn đáp án D.
Bài 10: Phương trình z2 + 6z + 15 = 0 có các nghiệm là z1, z2.Giá trị biểu thức T = |z1| + |z2| bằng:
A. 2√15 B. 6 C. 4√5 D. 2√3
Ta có:Δ' = 9 - 15 = -6 = 6i2
Các nghiệm của phương trình là z1 = - 3 - i√6, z2 = - 3 + i√6
Do đó
Chọn đáp án A.
Bài 11: Phương trình z1 = 1 + 2i, z2 = 2 - 3i có nghiệm là z = 2 + i khi
A. a = 1, b = 4 B. a = -1, b = 4 C. a = -1, b = -4 D. a = 1, b = -4
Thay z = 2 + i vào phương trình đã cho ta có:
Bài 12: Phương trình (1 + i)2 = -7 + i có các nghiệm là
A. -1 - 2i và 1 + 2i B. -1 + 2i và 1 + 2i
C. -1 + 2i và 1 - 2i D. 1 + 2i và 1 - 2i
Phương trình đã cho tương đương với
Viết -3 + 4i = 4i2 + 4i + 1 = (2i + 1)2, ta có: z2 = (2i + 1)2 <=> z = ±(2i + 1)
Chú ý: Nếu việc viết -3 + 4i = (2i + 1)2 gặp khó khăn thì có thể đặt z = a + bi (a, b ∈ R). Ta có :
(a + bi)2 = -3 + 4i <=> a2 - b2 + 2abi = -3 + 4i
Từ phương trình thứ hai của hệ ta có b = 2/a
Thay vào phương trình thứ nhất của hệ ta có
Vì a ∈ R và a2 ≥ 0 nên a2 = 1 hay a = ±1 . Từ đó ta có hai nghiệm : z1 = -1 - 2i và z2 = 1 + 2i
(199k) Học Toán 12 KNTTHọc Toán 12 CDHọc Toán 12 CTST
Xem thêm bài tập trắc nghiệm Toán lớp 12 có đáp án hay khác:
- Bài tập ôn tập Số phức (có đáp án)
- Bài tập tổng ôn cuối năm Toán 12 Giải tích (có đáp án)
- Bài tập tổng ôn cuối năm Toán 12 Giải tích (có đáp án - phần 2)
- Trắc nghiệm Sự đồng biến nghịch biến của hàm số (có lời giải)
- Trắc nghiệm Sự đồng biến nghịch biến của hàm số (có lời giải - phần 2)
Đã có app VietJack trên điện thoại, giải bài tập SGK, SBT Soạn văn, Văn mẫu, Thi online, Bài giảng....miễn phí. Tải ngay ứng dụng trên Android và iOS.
Theo dõi chúng tôi miễn phí trên mạng xã hội facebook và youtube:Nếu thấy hay, hãy động viên và chia sẻ nhé! Các bình luận không phù hợp với nội quy bình luận trang web sẽ bị cấm bình luận vĩnh viễn.
- Giải Tiếng Anh 12 Global Success
- Giải sgk Tiếng Anh 12 Smart World
- Giải sgk Tiếng Anh 12 Friends Global
- Lớp 12 Kết nối tri thức
- Soạn văn 12 (hay nhất) - KNTT
- Soạn văn 12 (ngắn nhất) - KNTT
- Giải sgk Toán 12 - KNTT
- Giải sgk Vật Lí 12 - KNTT
- Giải sgk Hóa học 12 - KNTT
- Giải sgk Sinh học 12 - KNTT
- Giải sgk Lịch Sử 12 - KNTT
- Giải sgk Địa Lí 12 - KNTT
- Giải sgk Giáo dục KTPL 12 - KNTT
- Giải sgk Tin học 12 - KNTT
- Giải sgk Công nghệ 12 - KNTT
- Giải sgk Hoạt động trải nghiệm 12 - KNTT
- Giải sgk Giáo dục quốc phòng 12 - KNTT
- Giải sgk Âm nhạc 12 - KNTT
- Giải sgk Mĩ thuật 12 - KNTT
- Lớp 12 Chân trời sáng tạo
- Soạn văn 12 (hay nhất) - CTST
- Soạn văn 12 (ngắn nhất) - CTST
- Giải sgk Toán 12 - CTST
- Giải sgk Vật Lí 12 - CTST
- Giải sgk Hóa học 12 - CTST
- Giải sgk Sinh học 12 - CTST
- Giải sgk Lịch Sử 12 - CTST
- Giải sgk Địa Lí 12 - CTST
- Giải sgk Giáo dục KTPL 12 - CTST
- Giải sgk Tin học 12 - CTST
- Giải sgk Hoạt động trải nghiệm 12 - CTST
- Giải sgk Âm nhạc 12 - CTST
- Lớp 12 Cánh diều
- Soạn văn 12 Cánh diều (hay nhất)
- Soạn văn 12 Cánh diều (ngắn nhất)
- Giải sgk Toán 12 Cánh diều
- Giải sgk Vật Lí 12 - Cánh diều
- Giải sgk Hóa học 12 - Cánh diều
- Giải sgk Sinh học 12 - Cánh diều
- Giải sgk Lịch Sử 12 - Cánh diều
- Giải sgk Địa Lí 12 - Cánh diều
- Giải sgk Giáo dục KTPL 12 - Cánh diều
- Giải sgk Tin học 12 - Cánh diều
- Giải sgk Công nghệ 12 - Cánh diều
- Giải sgk Hoạt động trải nghiệm 12 - Cánh diều
- Giải sgk Giáo dục quốc phòng 12 - Cánh diều
- Giải sgk Âm nhạc 12 - Cánh diều


Giải bài tập SGK & SBT
Tài liệu giáo viên
Sách
Khóa học
Thi online
Hỏi đáp

