56 bài tập trắc nghiệm Tích của vectơ với một số (có đáp án - phần 3)
56 bài tập trắc nghiệm Tích của vectơ với một số (có đáp án - phần 3)
(199k) Học Toán 10 KNTTHọc Toán 10 CDHọc Toán 10 CTST
Câu 41: Cho tam giác ABC. Tập hợp các điểm M sao cho
A. Đường trung trực của BC
B. Đường tròn tâm I, bán kính R = 2AB với I nằm trên cạnh AB sao cho IA = 2IB
C. Đường trung trực của EF với E, F lần lượt là trung điểm của AB và BC
D. Đường tròn tâm I, bán kính R = 2AC với I nằm trên cạnh AB sao cho IA = 2IB
Đáp án C
Câu 42: Cho tam giác ABC, trung tuyến AM và trọng tâm G. Khẳng định nào sau đây là đúng?
Đáp án D
Câu 43: Cho tam giác ABC có trọng tâm G và trung tuyến AM. Khẳng định nào sau đây là đúng?
Đáp án D
Câu 44: Cho tam giác ABC có trung tuyến AM, D là trung điểm của AM. Đẳng thức nào sau đây là sai?
Đáp án B
Câu 45: Cho tam giác ABC với trọng tâm G. Đặt CA→ = a→ ,CB→ = b→. Khi đó ta có
Đáp án D
Câu 46: Cho tam giác ABC và số thực k > 0. Tập hợp các điểm M sao cho
A. Đường tròn ngoại tiếp tam giác ABC
B. Đường tròn tâm G, bán kính k/3
C. Đường tròn tâm G, bán kính k
D. Đường tròn tâm G, bán kính 3k (G là trọng tâm của tam giác ABC)
Đáp án B
Câu 47: Điều kiện nào sau đây không là điều kiện cần và đủ để G là trọng tâm của tam giác ABC, với M là trung điểm của BC?
Đáp án B
Câu 48: Cho tam giác ABC. Gọi M là điểm trên cạnh BC sao cho MB = 4MC. Khi đó biểu diễn AM→ theo AB→ và AC→ là:
Đáp án C
Câu 49: Cho tam giác ABC. Gọi M là điểm trên cạnh BC sao cho MB = 2MC. Khi đó đẳng thức nào sau đây đúng?
Đáp án A
Câu 50: Gọi M là điểm thuộc cạnh BC của tam giác ABC sao cho 3BM→ - BC→=0→. Khi đó AM→ bằng
Đáp án B
Câu 51: Trên đường thẳng chứa cạnh BC của tam giác ABC lấy điểm M sao cho MB→=(1/3).MC→. Khi đó vectơ AM→ biểu diễn theo các vectơ u→=AB→ ; v→=AC→ là
Đáp án A
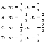
Câu 52: Cho tam giác ABC, D là điểm thuộc cạnh BC sao cho DC = 2DB. Nếu AD→=mAB→+nAC→ thì m và n bằng bao nhiêu?
Đáp án D
Câu 53: Cho tam giác ABC. Gọi M, N, P là các điểm được xác định bởi :
Khi đó M, N, P thẳng hàng khi và chỉ khi:
Đáp án A
Câu 54: Biết rằng hai tam giác ABC và A’B’C’ có cùng trọng tâm. Đẳng thức nào sau đây là sai?
Đáp án B
Từ B suy ra A là trọng tâm của tam giác A’B’C’ (vô lí). Lưu ý các tam giác A’B’C’, B’C’A’, C’A’B’ có cùng trọng tâm.Câu 55: Cho tam giác ABC. Hỏi có bao nhiêu điểm M sao cho vectơ tổng MA→+MB→+MC→ có độ dài bằng 3?
A. Có duy nhất một điểm
B. Có hai điểm
C. Có vô số điểm và tập hợp các điểm M là một đường thẳng
D. Có vô số điểm và tập hợp các điểm M là một đường tròn
Đáp án D
Gọi G là trọng tâm của tam giác. Ta có:
Vậy M thuộc đường tròn tâm G, bán kính bằng 1.
Câu 56: Cho tam giác ABC có trọng tâm G, E là trung điểm của BC. Tập hợp các điểm M sao cho
A. Trung điểm của GE
B. Trung trực của GE
C. Trung trực của BC
D. Trọng tâm G
Đáp án B
(199k) Học Toán 10 KNTTHọc Toán 10 CDHọc Toán 10 CTST
Xem thêm bài tập trắc nghiệm Toán 10 có lời giải hay khác:
- 19 bài tập trắc nghiệm Hệ trục tọa độ (có đáp án)
- 35+ bài tập trắc nghiệm Vectơ (có đáp án)
- 35+ bài tập trắc nghiệm Vectơ (có đáp án - phần 2)
- Đề kiểm tra chương 1 (có đáp án)
- 50 bài tập trắc nghiệm Giá trị lượng giác của một góc bất kì từ 0 đến 180 (có đáp án)
Để học tốt lớp 10 các môn học sách mới:
- Giải bài tập Lớp 10 Kết nối tri thức
- Giải bài tập Lớp 10 Chân trời sáng tạo
- Giải bài tập Lớp 10 Cánh diều
Tủ sách VIETJACK shopee lớp 10-11 (cả 3 bộ sách):
Đã có app VietJack trên điện thoại, giải bài tập SGK, SBT Soạn văn, Văn mẫu, Thi online, Bài giảng....miễn phí. Tải ngay ứng dụng trên Android và iOS.
Theo dõi chúng tôi miễn phí trên mạng xã hội facebook và youtube:Nếu thấy hay, hãy động viên và chia sẻ nhé! Các bình luận không phù hợp với nội quy bình luận trang web sẽ bị cấm bình luận vĩnh viễn.
- Giải Tiếng Anh 10 Global Success
- Giải Tiếng Anh 10 Friends Global
- Giải sgk Tiếng Anh 10 iLearn Smart World
- Giải sgk Tiếng Anh 10 Explore New Worlds
- Lớp 10 - Kết nối tri thức
- Soạn văn 10 (hay nhất) - KNTT
- Soạn văn 10 (ngắn nhất) - KNTT
- Soạn văn 10 (siêu ngắn) - KNTT
- Giải sgk Toán 10 - KNTT
- Giải sgk Vật lí 10 - KNTT
- Giải sgk Hóa học 10 - KNTT
- Giải sgk Sinh học 10 - KNTT
- Giải sgk Địa lí 10 - KNTT
- Giải sgk Lịch sử 10 - KNTT
- Giải sgk Kinh tế và Pháp luật 10 - KNTT
- Giải sgk Tin học 10 - KNTT
- Giải sgk Công nghệ 10 - KNTT
- Giải sgk Hoạt động trải nghiệm 10 - KNTT
- Giải sgk Giáo dục quốc phòng 10 - KNTT
- Lớp 10 - Chân trời sáng tạo
- Soạn văn 10 (hay nhất) - CTST
- Soạn văn 10 (ngắn nhất) - CTST
- Soạn văn 10 (siêu ngắn) - CTST
- Giải Toán 10 - CTST
- Giải sgk Vật lí 10 - CTST
- Giải sgk Hóa học 10 - CTST
- Giải sgk Sinh học 10 - CTST
- Giải sgk Địa lí 10 - CTST
- Giải sgk Lịch sử 10 - CTST
- Giải sgk Kinh tế và Pháp luật 10 - CTST
- Giải sgk Hoạt động trải nghiệm 10 - CTST
- Lớp 10 - Cánh diều
- Soạn văn 10 (hay nhất) - Cánh diều
- Soạn văn 10 (ngắn nhất) - Cánh diều
- Soạn văn 10 (siêu ngắn) - Cánh diều
- Giải sgk Toán 10 - Cánh diều
- Giải sgk Vật lí 10 - Cánh diều
- Giải sgk Hóa học 10 - Cánh diều
- Giải sgk Sinh học 10 - Cánh diều
- Giải sgk Địa lí 10 - Cánh diều
- Giải sgk Lịch sử 10 - Cánh diều
- Giải sgk Kinh tế và Pháp luật 10 - Cánh diều
- Giải sgk Tin học 10 - Cánh diều
- Giải sgk Công nghệ 10 - Cánh diều
- Giải sgk Hoạt động trải nghiệm 10 - Cánh diều
- Giải sgk Giáo dục quốc phòng 10 - Cánh diều


Giải bài tập SGK & SBT
Tài liệu giáo viên
Sách
Khóa học
Thi online
Hỏi đáp

