Đề kiểm tra cuối năm Toán 10 phần Hình học (có đáp án)
Đề kiểm tra cuối năm Toán 10 phần Hình học (có đáp án)
(199k) Xem Khóa học Toán 10 KNTTXem Khóa học Toán 10 CDXem Khóa học Toán 10 CTST
Câu 1: Cho ba điểm phân biệt A, B, C. Đẳng thức nào sau đây đúng?
Câu 2: Cho tam giác ABC vuông cân tại C và AB = √2 Tính độ dài của AB→ + AC→
Câu 3: Cho tam giác ABC có M là trung điểm của BC, I là trung điểm của AM. Khẳng định nào sau đây đúng ?
Câu 4: Cho tứ giác ABCD. Trên cạnh AB; CD lấy lần lượt các điểm M, N sao cho 3AM→ = 2AB→ và 3DN→ = 2DC→ Tính vectơ MN→ theo hai vectơ AD→, BC→.
Câu 5: Cho hình chữ nhật ABCD và số thực k >0. Tập hợp các điểm M thỏa mãn đẳng thức |MA→ + MB→ + MC→ + MD→| = k là
A. một đoạn thẳng.
B. một đường thẳng.
C. một đường tròn.
D. một điểm.
Câu 6: Cho Tìm tọa độ của vectơ
A. (-4 ; 6)
B. (2; -2)
C. ( 4;-6)
D. (- 3; -8)
Câu 7: Trong hệ tọa độ Oxy, cho hai điểm A(2 ; -3) ; B ( 4 ; 7). Tìm tọa độ trung điểm I của đoạn thẳng AB
A. I( 6 ; 4)
B. I (2 ; 10)
C. I (3 ; 2)
D. I( 8; -21)
Câu 8: Trong hệ tọa độ Oxy, cho tam giác ABC có A( 6 ; 1) ; B (- 3 ; 5) và trọng tâm G (-1;1). Tìm tọa độ đỉnh C
A. ( 6 ; -3)
B. ( - 6; 3)
C. (- 6; -3)
D. (- 3 ; 6)
Câu 9: Trong hệ tọa độ Oxy, cho hai điểm A(2; -3); B (3; 4) Tìm tọa độ điểm M thuộc trục hoành sao cho A, B, M thẳng hàng.
Câu 10: Cho tam giác ABC. Tính P = sinA.cos(B + C) + cosA.sin(B + C).
A. 0
B.1
C. -1
D. 2
Câu 11: Cho biết tanα = -3. Giá trị của bằng bao nhiêu ?
Câu 12: Cho biết 3cosα - sinα = 1, 0° < 90° Giá trị của bằng
Câu 13: Cho O là tâm đường tròn ngoại tiếp tam giác đều MNP. Góc nào sau đây bằng 120°?
Câu 14: Cho a→ và b→ là hai vectơ cùng hướng và đều khác vectơ 0→. Mệnh đề nào sau đây đúng?
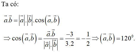
Câu 15: Cho hai vectơ a→ và b→ thỏa mãn . Xác định gócα giữa hai vectơ và
Câu 16: Trong mặt phẳng tọa độ Oxy, cho ba điểm A(3; -1), B(2; 10), C(-4; 2). Tính tích vô hướng AB→.AC→
A. 40
B. – 40
C. 26
D. – 26
Câu 17: Trong mặt phẳng tọa độ Oxy, tính khoảng cách giữa hai điểm M (1;-2) và N (- 3; 4)
A. MN = 4
B. MN = 6
C. MN = 3√6
D. MN = 3√13
Câu 18: Trong mặt phẳng tọa độ Oxy, cho hai điểm A( -2; 4) và B(8; 4). Tìm tọa độ điểm C thuộc trục hoành sao cho tam giác ABC vuông tại C.
A. C( 6; 0)
B. C(0;0); C( 6; 0)
C. C (-2; 0)
D. C(-1; 0) 3
Câu 19: Trong mặt phẳng tọa độ Oxy, cho tam giác ABC có A(- 3; 0); B (3;0) và C(2 ;6) . Gọi H (a; b) là tọa độ trực tâm của tam giác đã cho. Tính a + 6b
A. 5
B. 6
C. 7
D. 8
Câu 20: Trong mặt phẳng tọa độ Oxy, cho tam giác ABC có A( 4;3); B (2;7) và C(– 3; -8). Tìm toạ độ chân đường cao A’ kẻ từ đỉnh A xuống cạnh BC
A. ( 1; -4)
B. (- 1; 4)
C. ( 1; 4)
D. (4; 1)
Câu 21: Tam giác ABC có AB = 2; AC = 1 và . Tính độ dài cạnh BC.
A. BC = 1
B. BC = 2
C. BC = √2
D. BC = √3
Câu 22: Tam giác ABC có BC = 10 và . Tính bán kính R của đường tròn ngoại tiếp tam giác ABC.
Câu 23: Tam giác ABC có . Tính độ dài đường cao ha của tam giác.
Câu 24: Tam giác ABC có AB = 5; AC = 8 và . Tính bán kính r của đường tròn nội tiếp tam giác đã cho.
A. r = 1
B. r = 2
C. r = √3
D. r = 2√3
Câu 25: Đường thẳng d đi qua điểm M ( 1; -2) và có vectơ chỉ phương u→ = (3; 5) có phương trình tham số là:
Câu 26: Phương trình tổng quát của đường thẳng đi qua hai điểm A(3 ; -1) và B (1 ; 5) là:
A. -x + 3y + 6= 0
B. 3x – y + 10 = 0
C. 3x – y + 6 = 0
D. 3x + y – 8 = 0
Câu 27: Xét vị trí tương đối của hai đường thẳng d1:3x - 2y - 6 = 0 và d2:6x - 2y - 8 = 0.
A. Trùng nhau.
B. Song song.
C. Vuông góc với nhau.
D. Cắt nhau nhưng không vuông góc nhau.
Câu 28: Đường tròn có tâm I(1; 2), bán kính R = 3 có phương trình là:
Câu 29: Đường tròn (C) đi qua hai điểm A(1;1); B (5; 3) và có tâm I thuộc trục hoành có phương trình là:
Câu 30: Tam giác đều cạnh 2a Lập phương trình chính tắc của elip có độ dài trục lớn bằng 12/13 và tỉ số của tiêu cự với độ dài trục lớn bằng .
Hướng dẫn giải và Đáp án
| Câu | 1 | 2 | 3 | 4 | 5 | 6 | 7 | 8 | 9 | 10 |
| Đáp án | C | A | A | C | C | B | C | C | D | A |
| Câu | 11 | 12 | 13 | 14 | 15 | 16 | 17 | 18 | 19 | 20 |
| Đáp án | B | A | A | A | D | A | D | B | C | C |
| Câu | 21 | 22 | 23 | 24 | 25 | 26 | 27 | 28 | 29 | 30 |
| Đáp án | D | B | C | C | B | D | D | A | B | B |
Câu 1:
Câu 2:
Câu 3:
Câu 4:
Câu 5:
Câu 6:
Câu 7:
Câu 8:
Câu 9:
Câu 10:
Câu 11:
Câu 12:
Câu 13:
Câu 14:
Câu 15:
Câu 16:
Câu 17:
Câu 18:
Câu 19:
Câu 20:
Câu 21:
Câu 22:
Câu 23:
Câu 24:
Câu 25:
Câu 26:
Câu 27:
Câu 28:
Câu 29:
Câu 30:
(199k) Xem Khóa học Toán 10 KNTTXem Khóa học Toán 10 CDXem Khóa học Toán 10 CTST
Xem thêm bài tập trắc nghiệm Toán 10 có lời giải hay khác:
- 28 bài tập trắc nghiệm Phương trình đường Elip (có đáp án - phần 2)
- 20+ bài tập trắc nghiệm Phương pháp tọa độ trong mặt phẳng (có đáp án)
- Đề kiểm tra chương 3 (có đáp án)
- 30 bài tập trắc nghiệm Ôn tập cuối năm (có đáp án)
- 30 bài tập trắc nghiệm Ôn tập cuối năm (có đáp án - phần 2)
Để học tốt lớp 10 các môn học sách mới:
- Giải bài tập Lớp 10 Kết nối tri thức
- Giải bài tập Lớp 10 Chân trời sáng tạo
- Giải bài tập Lớp 10 Cánh diều
Tủ sách VIETJACK shopee lớp 10-11 (cả 3 bộ sách):
Đã có app VietJack trên điện thoại, giải bài tập SGK, SBT Soạn văn, Văn mẫu, Thi online, Bài giảng....miễn phí. Tải ngay ứng dụng trên Android và iOS.
Theo dõi chúng tôi miễn phí trên mạng xã hội facebook và youtube:Nếu thấy hay, hãy động viên và chia sẻ nhé! Các bình luận không phù hợp với nội quy bình luận trang web sẽ bị cấm bình luận vĩnh viễn.
- Giải Tiếng Anh 10 Global Success
- Giải Tiếng Anh 10 Friends Global
- Giải sgk Tiếng Anh 10 iLearn Smart World
- Giải sgk Tiếng Anh 10 Explore New Worlds
- Lớp 10 - Kết nối tri thức
- Soạn văn 10 (hay nhất) - KNTT
- Soạn văn 10 (ngắn nhất) - KNTT
- Soạn văn 10 (siêu ngắn) - KNTT
- Giải sgk Toán 10 - KNTT
- Giải sgk Vật lí 10 - KNTT
- Giải sgk Hóa học 10 - KNTT
- Giải sgk Sinh học 10 - KNTT
- Giải sgk Địa lí 10 - KNTT
- Giải sgk Lịch sử 10 - KNTT
- Giải sgk Kinh tế và Pháp luật 10 - KNTT
- Giải sgk Tin học 10 - KNTT
- Giải sgk Công nghệ 10 - KNTT
- Giải sgk Hoạt động trải nghiệm 10 - KNTT
- Giải sgk Giáo dục quốc phòng 10 - KNTT
- Lớp 10 - Chân trời sáng tạo
- Soạn văn 10 (hay nhất) - CTST
- Soạn văn 10 (ngắn nhất) - CTST
- Soạn văn 10 (siêu ngắn) - CTST
- Giải Toán 10 - CTST
- Giải sgk Vật lí 10 - CTST
- Giải sgk Hóa học 10 - CTST
- Giải sgk Sinh học 10 - CTST
- Giải sgk Địa lí 10 - CTST
- Giải sgk Lịch sử 10 - CTST
- Giải sgk Kinh tế và Pháp luật 10 - CTST
- Giải sgk Hoạt động trải nghiệm 10 - CTST
- Lớp 10 - Cánh diều
- Soạn văn 10 (hay nhất) - Cánh diều
- Soạn văn 10 (ngắn nhất) - Cánh diều
- Soạn văn 10 (siêu ngắn) - Cánh diều
- Giải sgk Toán 10 - Cánh diều
- Giải sgk Vật lí 10 - Cánh diều
- Giải sgk Hóa học 10 - Cánh diều
- Giải sgk Sinh học 10 - Cánh diều
- Giải sgk Địa lí 10 - Cánh diều
- Giải sgk Lịch sử 10 - Cánh diều
- Giải sgk Kinh tế và Pháp luật 10 - Cánh diều
- Giải sgk Tin học 10 - Cánh diều
- Giải sgk Công nghệ 10 - Cánh diều
- Giải sgk Hoạt động trải nghiệm 10 - Cánh diều
- Giải sgk Giáo dục quốc phòng 10 - Cánh diều


Giải bài tập SGK & SBT
Tài liệu giáo viên
Sách
Khóa học
Thi online
Hỏi đáp

