30 bài tập trắc nghiệm tổng ôn Toán 10 cả năm Hình học chọn lọc, có lời giải chi tiết (có lời giải)
30 bài tập trắc nghiệm tổng ôn Toán 10 cả năm Hình học chọn lọc, có lời giải chi tiết (có lời giải)
(199k) Xem Khóa học Toán 10 KNTTXem Khóa học Toán 10 CDXem Khóa học Toán 10 CTST
Câu 1: Cho tam giác ABC, M, N, P lần lượt là trung điểm của các cạnh BC, CA, AB. Khẳng định nào sau đây là sai?
Đáp án D
Câu 2: Cho tam giác đều ABC cạnh a, G là trọng tâm của tam giác. Khẳng định nào sau đây là đúng?
Đáp án C
Câu 3: Cho tam giác ABC. Tập hợp các điểm M thỏa mãn
A. Một đường thẳng
B. Một đường tròn
C. Một tia
D. Một điểm
Đáp án A
Câu 4: Cho hình bình hành ABCD và các điểm M, N thỏa mãn
Để ba điểm M, N, C thẳng hàng thì:
A. x = 1 B. x = 3 C. x = 5 D. x = 7
Đáp án A
Câu 5: Cho tam giác ABC, M là trung điểm của AB, N là trung điểm của CM. Khẳng định nào sau đây là đúng?
Đáp án C
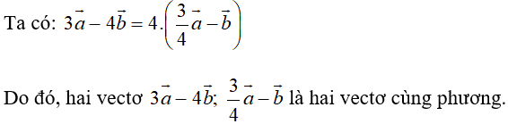
Câu 6: Cho hai vectơ không cùng phương a→,b→. Vectơ nào sau đây cùng phương với vectơ 3a→-4b→?
Đáp án D
Câu 7: Cho hình chữ nhật ABCD. Khẳng định nào sau đây đúng?
Đáp án C
Câu 8: Cho các điểm A, B, C, D, E, F. Khi đó
bằng vectơ nào trong các vectơ sau đây?
Đáp án B
Câu 9: Cho hình vuông ABCD có tọa độ đỉnh A(1;2) và tâm hình vuông là I(-1; -4). Khi đó phương trình của đường chéo BD là:
A. x + 3y + 13 = 0
B. 3x – y + 1 = 0
C. x – y – 3 = 0
D. x + y + 5 = 0
Đáp án A
Câu 10: Cho tam giác ABC vuông cân tại C và AB = √2. Tính độ dài của AB→ + AC→
Đáp án A
Câu 11: Cho . Tìm x biết
.
A. x = - 15
B. x = 3
C.x = 15
D. x = 5
Đáp án C
Câu 12: Cho tam giác ABC có đỉnh A(1; 1), B(-2; 4) và G(1; 2) là trọng tâm của tam giác. Khi đó tọa độ đỉnh C là:
A. C(0;7/3) B. C(4; 1)
C. C(2;-3) D. C(-2; 2)
Đáp án B
Câu 13: Trong hệ tọa độ Oxy, cho hình chữ nhật ABCD có A(0 ; 3) ; D(2 ; 1) và I( -1 ; 0) là tâm của hình chữ nhật. Tìm tọa độ tung điểm của cạnh BC
A. (1 ; 2)
B. (-2; -3)
C. (-3 ; -2)
D. (- 4 ; -1)
Đáp án C
Câu 14: Khẳng định nào sau đây là sai?
Đáp án D
Câu 15: Cho tam giác ABC. Tập hợp các điểm M thỏa mãn
A. Một điểm
B. Một tia
C. Một đường thẳng
D. Một đường tròn
Đáp án D
(199k) Xem Khóa học Toán 10 KNTTXem Khóa học Toán 10 CDXem Khóa học Toán 10 CTST
Xem thêm bài tập trắc nghiệm Toán 10 có lời giải hay khác:
- 28 bài tập trắc nghiệm Phương trình đường Elip (có đáp án - phần 2)
- 20+ bài tập trắc nghiệm Phương pháp tọa độ trong mặt phẳng (có đáp án)
- Đề kiểm tra chương 3 (có đáp án)
- 30 bài tập trắc nghiệm tổng ôn Toán 10 cả năm Hình học chọn lọc, có lời giải chi tiết (có lời giải - phần 2)
- Đề kiểm tra cuối năm (có đáp án)
Để học tốt lớp 10 các môn học sách mới:
- Giải bài tập Lớp 10 Kết nối tri thức
- Giải bài tập Lớp 10 Chân trời sáng tạo
- Giải bài tập Lớp 10 Cánh diều
Tủ sách VIETJACK shopee lớp 10-11 (cả 3 bộ sách):
Đã có app VietJack trên điện thoại, giải bài tập SGK, SBT Soạn văn, Văn mẫu, Thi online, Bài giảng....miễn phí. Tải ngay ứng dụng trên Android và iOS.
Theo dõi chúng tôi miễn phí trên mạng xã hội facebook và youtube:Nếu thấy hay, hãy động viên và chia sẻ nhé! Các bình luận không phù hợp với nội quy bình luận trang web sẽ bị cấm bình luận vĩnh viễn.
- Giải Tiếng Anh 10 Global Success
- Giải Tiếng Anh 10 Friends Global
- Giải sgk Tiếng Anh 10 iLearn Smart World
- Giải sgk Tiếng Anh 10 Explore New Worlds
- Lớp 10 - Kết nối tri thức
- Soạn văn 10 (hay nhất) - KNTT
- Soạn văn 10 (ngắn nhất) - KNTT
- Soạn văn 10 (siêu ngắn) - KNTT
- Giải sgk Toán 10 - KNTT
- Giải sgk Vật lí 10 - KNTT
- Giải sgk Hóa học 10 - KNTT
- Giải sgk Sinh học 10 - KNTT
- Giải sgk Địa lí 10 - KNTT
- Giải sgk Lịch sử 10 - KNTT
- Giải sgk Kinh tế và Pháp luật 10 - KNTT
- Giải sgk Tin học 10 - KNTT
- Giải sgk Công nghệ 10 - KNTT
- Giải sgk Hoạt động trải nghiệm 10 - KNTT
- Giải sgk Giáo dục quốc phòng 10 - KNTT
- Lớp 10 - Chân trời sáng tạo
- Soạn văn 10 (hay nhất) - CTST
- Soạn văn 10 (ngắn nhất) - CTST
- Soạn văn 10 (siêu ngắn) - CTST
- Giải Toán 10 - CTST
- Giải sgk Vật lí 10 - CTST
- Giải sgk Hóa học 10 - CTST
- Giải sgk Sinh học 10 - CTST
- Giải sgk Địa lí 10 - CTST
- Giải sgk Lịch sử 10 - CTST
- Giải sgk Kinh tế và Pháp luật 10 - CTST
- Giải sgk Hoạt động trải nghiệm 10 - CTST
- Lớp 10 - Cánh diều
- Soạn văn 10 (hay nhất) - Cánh diều
- Soạn văn 10 (ngắn nhất) - Cánh diều
- Soạn văn 10 (siêu ngắn) - Cánh diều
- Giải sgk Toán 10 - Cánh diều
- Giải sgk Vật lí 10 - Cánh diều
- Giải sgk Hóa học 10 - Cánh diều
- Giải sgk Sinh học 10 - Cánh diều
- Giải sgk Địa lí 10 - Cánh diều
- Giải sgk Lịch sử 10 - Cánh diều
- Giải sgk Kinh tế và Pháp luật 10 - Cánh diều
- Giải sgk Tin học 10 - Cánh diều
- Giải sgk Công nghệ 10 - Cánh diều
- Giải sgk Hoạt động trải nghiệm 10 - Cánh diều
- Giải sgk Giáo dục quốc phòng 10 - Cánh diều


Giải bài tập SGK & SBT
Tài liệu giáo viên
Sách
Khóa học
Thi online
Hỏi đáp

