Trắc nghiệm Giá trị lượng giác của một góc bất kì từ 0 đến 180 (có lời giải - phần 2)
Trắc nghiệm Giá trị lượng giác của một góc bất kì từ 0 đến 180 (có lời giải - phần 2)
(199k) Học Toán 10 KNTTHọc Toán 10 CDHọc Toán 10 CTST
Câu 17: Tam giác ABC vuông ở A có góc .Khẳng định nào sau đây là sai?
Đáp án B
Câu 18: Tam giác đều ABC có đường cao AH. Khẳng định nào sau đây là đúng?
Đáp án D
Câu 19: Trong các đẳng thức sau, đẳng thức nào đúng?
Đáp án A
Câu 20: Cho α và β là hai góc khác nhau và bù nhau. Trong các đẳng thức sau đây, đẳng thức nào sai?
Đáp án B
Câu 21: Tính giá trị biểu thức P = sin30°cos15° + sin150°cos165°.
A. P = -3/4
B. P = 0
C. P = 1/2
D. P = 1
Đáp án C
Câu 22: Cho hai góc α và β với α + β = 180° . Tính giá trị của biểu thức P = cosαcosβ - sinβsinα.
A.P = 0
B. P = 1
C. P = -1
D. P = 2
Đáp án C
Câu 23: Cho tam giác ABC. Tính P = sinA.cos(B + C) + cosA.sin(B + C).
A. P = 0
B. P = 1
C. P = -1
D. P = 2
Đáp án D
Câu 24: Cho tam giác ABC. Tính P = cosA.cos(B + C) – sin A.sin (B + C).
A. P = 0
B. P = 1
C. P = -1
D. P = 2
Đáp án A
Câu 25: Cho hai góc nhọn α và β phụ nhau. Hệ thức nào sau đây là sai?
Đáp án C
Câu 26: Tính giá trị biểu thức S = sin215° + cos220° + sin275° + cos2110°.
A. S = 0
B. S = 1
C. S = 2
D. S = 4
Đáp án D
Câu 27: Cho hai góc α và β với α + β =90°. Tính giá trị của biểu thức P = sinαcosβ + sinβcosα.
A. P = 0
B. P = 1
C. P = -1
D. P = 2
Đáp án C
Câu 28: Cho hai góc α và β với α + β =90°. Tính giá trị của biểu thức P = cosαcosβ - sinβsinα.
A.P = 0
B. P = 1
C. P = -1
D. P = 2
Đáp án D
Câu 29: Cho α là góc tù. Khẳng định nào sau đây là đúng?
A. sinα < 0
B. cosα > 0
C.tanα < 0
D. cotα > 0
Đáp án C
Câu 30: Cho hai góc nhọn α và β trong đó α < β. Khẳng định nào sau đây là sai?
A.cosα < cosβ
B. sinα < sinβ
C.cotα > cotβ
D. tanα + tanβ > 0
Đáp án A
Câu 31: Chọn hệ thức đúng được suy ra từ hệ thức cos2α + sin2α = 1?
Đáp án B
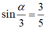
Câu 32: Cho biết Giá trị của
bằng bao nhiêu ?
Đáp án D
Câu 33: Cho biết tanα = -3 Giá trị của bằng bao nhiêu ?
Đáp án C
(199k) Học Toán 10 KNTTHọc Toán 10 CDHọc Toán 10 CTST
Xem thêm bài tập trắc nghiệm Toán 10 có lời giải hay khác:
- Trắc nghiệm Giá trị lượng giác của một góc bất kì từ 0 đến 180 (có lời giải - phần 3)
- Trắc nghiệm Tích vô hướng của hai vectơ (có lời giải)
- Trắc nghiệm Tích vô hướng của hai vectơ (có lời giải - phần 2)
- Trắc nghiệm Tích vô hướng của hai vectơ (có lời giải - phần 3)
- Trắc nghiệm Tích vô hướng của hai vectơ (có lời giải - phần 4)
Để học tốt lớp 10 các môn học sách mới:
- Giải bài tập Lớp 10 Kết nối tri thức
- Giải bài tập Lớp 10 Chân trời sáng tạo
- Giải bài tập Lớp 10 Cánh diều
Tủ sách VIETJACK shopee lớp 10-11 (cả 3 bộ sách):
Đã có app VietJack trên điện thoại, giải bài tập SGK, SBT Soạn văn, Văn mẫu, Thi online, Bài giảng....miễn phí. Tải ngay ứng dụng trên Android và iOS.
Theo dõi chúng tôi miễn phí trên mạng xã hội facebook và youtube:Nếu thấy hay, hãy động viên và chia sẻ nhé! Các bình luận không phù hợp với nội quy bình luận trang web sẽ bị cấm bình luận vĩnh viễn.
- Giải Tiếng Anh 10 Global Success
- Giải Tiếng Anh 10 Friends Global
- Giải sgk Tiếng Anh 10 iLearn Smart World
- Giải sgk Tiếng Anh 10 Explore New Worlds
- Lớp 10 - Kết nối tri thức
- Soạn văn 10 (hay nhất) - KNTT
- Soạn văn 10 (ngắn nhất) - KNTT
- Soạn văn 10 (siêu ngắn) - KNTT
- Giải sgk Toán 10 - KNTT
- Giải sgk Vật lí 10 - KNTT
- Giải sgk Hóa học 10 - KNTT
- Giải sgk Sinh học 10 - KNTT
- Giải sgk Địa lí 10 - KNTT
- Giải sgk Lịch sử 10 - KNTT
- Giải sgk Kinh tế và Pháp luật 10 - KNTT
- Giải sgk Tin học 10 - KNTT
- Giải sgk Công nghệ 10 - KNTT
- Giải sgk Hoạt động trải nghiệm 10 - KNTT
- Giải sgk Giáo dục quốc phòng 10 - KNTT
- Lớp 10 - Chân trời sáng tạo
- Soạn văn 10 (hay nhất) - CTST
- Soạn văn 10 (ngắn nhất) - CTST
- Soạn văn 10 (siêu ngắn) - CTST
- Giải Toán 10 - CTST
- Giải sgk Vật lí 10 - CTST
- Giải sgk Hóa học 10 - CTST
- Giải sgk Sinh học 10 - CTST
- Giải sgk Địa lí 10 - CTST
- Giải sgk Lịch sử 10 - CTST
- Giải sgk Kinh tế và Pháp luật 10 - CTST
- Giải sgk Hoạt động trải nghiệm 10 - CTST
- Lớp 10 - Cánh diều
- Soạn văn 10 (hay nhất) - Cánh diều
- Soạn văn 10 (ngắn nhất) - Cánh diều
- Soạn văn 10 (siêu ngắn) - Cánh diều
- Giải sgk Toán 10 - Cánh diều
- Giải sgk Vật lí 10 - Cánh diều
- Giải sgk Hóa học 10 - Cánh diều
- Giải sgk Sinh học 10 - Cánh diều
- Giải sgk Địa lí 10 - Cánh diều
- Giải sgk Lịch sử 10 - Cánh diều
- Giải sgk Kinh tế và Pháp luật 10 - Cánh diều
- Giải sgk Tin học 10 - Cánh diều
- Giải sgk Công nghệ 10 - Cánh diều
- Giải sgk Hoạt động trải nghiệm 10 - Cánh diều
- Giải sgk Giáo dục quốc phòng 10 - Cánh diều


Giải bài tập SGK & SBT
Tài liệu giáo viên
Sách
Khóa học
Thi online
Hỏi đáp

