52 bài tập trắc nghiệm Khái niệm về mặt tròn xoay (có đáp án - phần 2)
Với 52 bài tập & câu hỏi trắc nghiệm Khái niệm về mặt tròn xoay lớp 12 có đáp án và lời giải chi tiết đầy đủ các mức độ nhận biết, thông hiểu, vận dụng sẽ giúp học sinh ôn trắc nghiệm Toán 12.
52 bài tập trắc nghiệm Khái niệm về mặt tròn xoay (có đáp án - phần 2)
(199k) Học Toán 12 KNTTHọc Toán 12 CDHọc Toán 12 CTST
Câu 18: Cho khối nón tròn xoay có đường cao h = 20cm và đường sinh l = 25cm . Thể tích khối nón là:
A. 1500π(cm3) B. 2500π(cm3) C. 3500π(cm3) D. 4500π(cm3)
Từ giả thiết ta có:
Câu 19: Tam giác ABC vuông đỉnh A có AB = 2AC. Quay tam giác ABC quanh trục AB thì đoạn gấp khúc ACB tạo ra hình nón (N1) và quay tam giác ABC quanh trục AC thì đoạn gấp khúc ABC tạo ra hình nón (N2). Tỉ số diện tích xung quanh của hình nón (N1) và diện tích xung quanh của hình nón (N2) là:
A. 1/4 B. 1/2 C. 1 D. 2
Đặt AC = a, ta có AB = 2a => BC = a√5 . Khi đó ta có :
Câu 20: Cho khối nón tròn xoay có góc ở đỉnh là 60o và đường sinh l = 6cm. Thể tích của khối nón là:
A. 9π√3(cm3) B. 27π√3(cm3) C. 27π(cm3) D. 3π√3(cm3)
Từ giả thiết ta có:
Câu 21: Cho một hình trụ có bán kính đáy R , chiều cao h và thể tích V1 ; một hình nón có đáy trùng với một đáy của hình trụ, có đỉnh trùng với tâm đáy còn lại của hình trụ (hình vẽ bên dưới) và có thể tích V2 .
Khẳng định nào sau đây là khẳng định đúng ?
A. V2 = 3V1
B. V1 = 2V2
C. V1 = 3V2
D. V2 = V1
Hình trụ có bán kính đáy R và chiều cao h nên thể tích V1 = πR2h .
Hình nón có bán kính đáy R và chiều cao h nên thể tích V2 = 1/3 πR2h .
Từ đó suy ra V1 = 3V2 .
Câu 22: Khối nón có góc ở đỉnh là 60o và có thể tích là π. Độ dài đường sinh của khối nón là:
Từ giả thiết ta có :
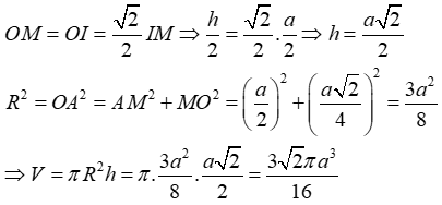
Câu 23: Cho một hình trụ tròn xoay và hình vuông ABCD cạnh a có hai đỉnh A, B nằm trên đường tròn đáy thứ nhất của hình trụ, hai đỉnh còn lại nằm trên đường tròn đáy thứ hai của hình trụ. Mặt phẳng (ABCD) tạo với đáy hình trụ một góc 45°. Tính thể tích của khối trụ.
Gọi M, N lần lượt là trung điểm AB và CD.
Khi đó OM ⊥ AB và O’N ⊥ CD
Gọi I là giao điểm của MN và OO’
Đặt R = OA và h = OO’. Khi đó ΔIOM vuông cân tại O nên:
Câu 24: Cho khối trụ có bán kính đáy 4m và đường cao là 5m. Thể tích khối trụ là:
A. 20π(m3) B. 60π(m3) C. 80π(m3) D.100π(m3)
Từ giả thiết ta có: V = πr2h = π42.5 = 80π(m3)
Câu 25: Cho hình chữ nhật ABCD có AC = 2AD = 2a. Quay quanh trục AB đường gấp khúc ADCB ta được hình trụ có diện tích xung quanh là:
A. 6πa2 B. 3πa2 C. 2πa2√3 D. πa2√6
Từ giả thiết ta có : AC = 2AD = 2a suy ra:
Khi đó ta có :
Câu 26:Tính thể tích của khối trụ biết chu vi đáy của hình trụ đó bằng 6π (cm) và thiết diện đi qua trục là một hình chữ nhật có độ dài đường chéo bằng 10 (cm).
Gọi O, O' là hai tâm của đáy hình trụ và thiết diện qua trục là hình chữ nhật ABCD .
Do chu vi đáy của hình trụ đó bằng 6π nên bán kính đáy của hình trụ là
Câu 27: Cho hình trụ có diện tích toàn phần 6πa2 và thiết diện của hình trụ cắt bởi mặt phẳng (P) đi qua trục là một hình vuông. Chiều cao của hình trụ là:
A. 3a/4 B. a C. 3a/2 D. 2a
Vì thiết diện của hình trụ cắt bởi mặt phẳng (P) đi qua trục là một hình vuông nên: h = 2r
Câu 28: Cho hình trụ có diện tích toàn phần là 12π , đường cao của hình trụ là 1. Diện tích xung quanh của hình trụ là:
A. 6π B. 4π C. 2π D. π
Từ giả thiết ta có :
Câu 29: Cho hình trụ có chiều cao bằng 2a và diện tích xung quanh là πa2 . bán kính đáy của hình trụ là:
Từ giả thiết ta có:
Câu 30: Cho khối trụ có diện tích toàn phần 5πa2 và bán kính đáy là a. Thể tích khối trụ là:
A. 3πa3/2 B. πa3/2 C. πa3 D. 3πa3
Từ giả thiết ta có:
Câu 31: Hình trụ (H) có diện tích toàn phần là 8π(cm2) và thể tích khối trụ là 3π(cm3) . Tính chiều cao của hình trụ ta được bao nhiêu kết quả?
A. 1 B. 2 C. 3 D. 4
Từ giả thiết ta có:
Do r > 0 nên ta có 2 giá trị r thỏa mãn hay có hai hình nón thỏa mãn đề bài
Câu 32: Hình trụ (H) có tỉ số diện tích xung quanh và diện tích toàn phần là 1/3 . Biết rằng thể tích khối trụ là 4π . Bán kính đáy của hình trụ là:
A. 2 B. 3 C. √6 D. √7
Từ giả thiết ta có:
Câu 33: Ta dùng hai hình chữ nhật có cùng kích cỡ để làm thành hai hình trụ (H1) và (H2) bằng cách quay các hình chữ nhật đó, lần lượt theo chiều dài và chiều rộng. Tỉ số hai diện tích xung quanh hình trụ (H1) và hình trụ (H2) là:
A. 2 B. 1 C. 1/2 D. 1/4
Gọi chiều dài và chiều rộng của hình chữ nhật là a và b.
Hình trụ (H1) có r1 = a ; h1 = b
Hình trụ (H2) có r2 = b ; h2= a
Ta có:
Câu 34: Cho hình nón có đường cao h = 10cm và thiết diện cắt bởi mặt phẳng qua trục của hình nón là một tam giác đều. Diện tích xung quanh của hình nón là:
Từ giả thiết ta có thiết diện là tam giác đều cạnh 2r và đường cao h nên ta có :
(199k) Học Toán 12 KNTTHọc Toán 12 CDHọc Toán 12 CTST
Xem thêm Bài tập trắc nghiệm Toán lớp 12 có đáp án hay khác:
- 52 bài tập trắc nghiệm Khái niệm về mặt tròn xoay (có đáp án - phần 3)
- 32 bài tập trắc nghiệm Mặt cầu (có đáp án)
- 32 bài tập trắc nghiệm Mặt cầu (có đáp án - phần 2)
- 20 bài tập trắc nghiệm Mặt nón, mặt trụ, mặt cầu (có đáp án)
- 60 bài tập trắc nghiệm Hệ tọa độ trong không gian (có đáp án)
Đã có app VietJack trên điện thoại, giải bài tập SGK, SBT Soạn văn, Văn mẫu, Thi online, Bài giảng....miễn phí. Tải ngay ứng dụng trên Android và iOS.
Theo dõi chúng tôi miễn phí trên mạng xã hội facebook và youtube:Nếu thấy hay, hãy động viên và chia sẻ nhé! Các bình luận không phù hợp với nội quy bình luận trang web sẽ bị cấm bình luận vĩnh viễn.
- Giải Tiếng Anh 12 Global Success
- Giải sgk Tiếng Anh 12 Smart World
- Giải sgk Tiếng Anh 12 Friends Global
- Lớp 12 Kết nối tri thức
- Soạn văn 12 (hay nhất) - KNTT
- Soạn văn 12 (ngắn nhất) - KNTT
- Giải sgk Toán 12 - KNTT
- Giải sgk Vật Lí 12 - KNTT
- Giải sgk Hóa học 12 - KNTT
- Giải sgk Sinh học 12 - KNTT
- Giải sgk Lịch Sử 12 - KNTT
- Giải sgk Địa Lí 12 - KNTT
- Giải sgk Giáo dục KTPL 12 - KNTT
- Giải sgk Tin học 12 - KNTT
- Giải sgk Công nghệ 12 - KNTT
- Giải sgk Hoạt động trải nghiệm 12 - KNTT
- Giải sgk Giáo dục quốc phòng 12 - KNTT
- Giải sgk Âm nhạc 12 - KNTT
- Giải sgk Mĩ thuật 12 - KNTT
- Lớp 12 Chân trời sáng tạo
- Soạn văn 12 (hay nhất) - CTST
- Soạn văn 12 (ngắn nhất) - CTST
- Giải sgk Toán 12 - CTST
- Giải sgk Vật Lí 12 - CTST
- Giải sgk Hóa học 12 - CTST
- Giải sgk Sinh học 12 - CTST
- Giải sgk Lịch Sử 12 - CTST
- Giải sgk Địa Lí 12 - CTST
- Giải sgk Giáo dục KTPL 12 - CTST
- Giải sgk Tin học 12 - CTST
- Giải sgk Hoạt động trải nghiệm 12 - CTST
- Giải sgk Âm nhạc 12 - CTST
- Lớp 12 Cánh diều
- Soạn văn 12 Cánh diều (hay nhất)
- Soạn văn 12 Cánh diều (ngắn nhất)
- Giải sgk Toán 12 Cánh diều
- Giải sgk Vật Lí 12 - Cánh diều
- Giải sgk Hóa học 12 - Cánh diều
- Giải sgk Sinh học 12 - Cánh diều
- Giải sgk Lịch Sử 12 - Cánh diều
- Giải sgk Địa Lí 12 - Cánh diều
- Giải sgk Giáo dục KTPL 12 - Cánh diều
- Giải sgk Tin học 12 - Cánh diều
- Giải sgk Công nghệ 12 - Cánh diều
- Giải sgk Hoạt động trải nghiệm 12 - Cánh diều
- Giải sgk Giáo dục quốc phòng 12 - Cánh diều
- Giải sgk Âm nhạc 12 - Cánh diều


Giải bài tập SGK & SBT
Tài liệu giáo viên
Sách
Khóa học
Thi online
Hỏi đáp

