52 bài tập trắc nghiệm Khái niệm về mặt tròn xoay (có đáp án - phần 3)
Với 52 bài tập & câu hỏi trắc nghiệm Khái niệm về mặt tròn xoay lớp 12 có đáp án và lời giải chi tiết đầy đủ các mức độ nhận biết, thông hiểu, vận dụng sẽ giúp học sinh ôn trắc nghiệm Toán 12.
52 bài tập trắc nghiệm Khái niệm về mặt tròn xoay (có đáp án - phần 3)
(199k) Học Toán 12 KNTTHọc Toán 12 CDHọc Toán 12 CTST
Câu 35: Một hình nón có đường sinh bằng đường kính đáy. Diện tích xung quanh của hình nón bằng 9π . Tính đường cao h của hình nón.
Câu 36: Cho hình chóp đều S.ABC có cạnh đáy bằng a, góc giữa mặt bên và đáy bằng 60° . Tính diện tích xung quanh Sxq của hình nón đỉnh S có đáy là hình tròn ngoại tiếp tam giác ABC.
Câu 37: Cho hình chóp S.ABCD có đáy ABCD là hình vuông cạnh a, SA vuông góc với đáy SC = a√6 . Khi tam giác SAC quay quanh cạnh SA thì đường gấp khúc SAC tạo thành một hình nón tròn xoay. Thể tích của khối nón tròn xoay đó là:
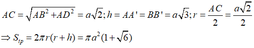
Câu 38: Cho hình hộp chữ nhật ABCD.A'B'C'D' có AB = AD = a, AB' = 2a . Diện tích toàn phần của hình trụ ngoại tiếp hình hộp là:
A. πa2(1 + √6) B. πa2(1 + √3) C. πa2(1 + √2) D. 2πa2
Xét tam giác vuông ABB’ ta có:
Hình trụ ngoại tiếp hình hộp đã cho có chiều cao h = AA’= BB’
Đáy hình trụ là đường tròn ngoại tiếp tứ giác ABCD và A’B’C’D’
Ta có :
Câu 39: Cho hình nón đỉnh S, đường cao SO. Gọi A và B là hai điểm thuộc đường tròn đáy của hình nón sao cho khoảng cách từ O đến AB bằng 2 và ;. Tính diện tích xung quanh hình nón ?
Câu 40: Cho hình chóp tứ giác đều S.ABCD có cạnh đáy bằng a, góc ∠SAB = 60° . Thể tích của hình nón đỉnh S đáy là đường tròn ngoại tiếp ABCD là:
Câu 41: Hình nón tròn xoay ngoại tiếp tứ diện đều cạnh a, có diện tích xung quanh là:
Câu 42: Một hình nón có thiết diện qua trục là một tam giác vuông cân có cạnh góc vuông bằng a. Diện tích xung quanh của hình nón bằng
Giả sử SAB là thiết diện qua trục của hình nón (như hình vẽ)
Tam giác SAB cân tại S và là tam giác cân nên SA = SB = a
Do đó:
Câu 43: Cho hình nón S, đường cao SO. Gọi A, B là hai điểm thuộc đường tròn đáy của hình nón sao cho khoảng cách từ O đến AB bằng a và . Tính diện tích xung quanh hình nón.
Câu 44: Cho hình chóp đều S.ABCD có cạnh đáy bằng a, góc giữa cạnh bên và mặt đáy bằng 60°. Tính diện tích xung quanh và thể tích của hình nón có đỉnh S và đáy là đường tròn ngoại tiếp đáy hình chóp S.ABCD. Khi đó diện tích xung quanh và thể tích của hình nón bằng
Gọi O là tâm của hình vuông ABCD.
Do S.ABCD là hình chóp đều nên SO ⊥ (ACBD)
Suy ra, OB là hình chiếu vuông góc của SB lên mp(ABCD)
Câu 45: Một người xây nhà phải xây bốn cái cột hình trụ cùng kích cỡ, bán kính đáy các cột là 25cm. Biết rằng tổng thể tích vật liệu (chính là tổng thể tích bốn khối trụ) là 3m3. Chiều cao của mỗi cột là:
Từ giả thiết đề bài ta có tổng thể tích của bốn khối trụ là 3m3 và bán kính đáy của mỗi khối trụ là r = 25cm = 0,25m.
Gọi h là chiều cao của các khối trụ ta có :
Câu 46: Một hộp đứng bóng bàn hình trụ có chiều cao 30cm, bán kính 2,5cm. Vận động viên để các quả bóng bàn có bán kính 2,5cm vao hộp. Hỏi vận động viên có thể để được nhiều nhất bao nhiêu quả bóng bàn trong các kết quả sau?
A. 3 B. 6 C. 12 D. 15
Do bán kính của một quả bóng bàn hình cầu bằng bán kính hình trụ nên mỗi lần ta chỉ đặt được một quả bóng bàn vào hình trụ. Khi đó do mỗi quả bóng bàn chiếm chiều cao là 2,5x2=5cm nên với hình trụ cao 30cm thì đựng được nhiều nhất là 6 quả bóng bàn
Câu 47: Một hình nón có độ dài đường sinh bằng 2a và mặt phẳng qua trục cắt hình nón theo thiết diện là tam giác vuông. Tính thể tích V của khối nón.
Câu 48: Cho hình trụ có bán kính đáy 10cm và đường cao là 15cm. ta để một thước thẳng có chiều dài l vào trong hình trụ. Khi đó trong các kết quả sau l có thể nhận giá trị lớn nhất là:
A. 30 (cm) B. 24 (cm) C. 20(cm) D. 15(cm)
Để một chiếc thước thẳng có thể nằm trong một hình trụ thì độ dài của nó không thể vượt quá được độ dài đường chéo của hình chữ nhật là thiết diện của hình trụ cắt bởi mặt phẳng qua trục của hình trụ. Do đó độ dài thước không vượt quá :
Câu 49: Cho lăng trụ đứng ABCD.A'B'C'D có đáy ABCD là hình thang, AB = AD = a, CD = 2a. Đường thẳng A’C tạo với mặt phẳng (ABCD) một góc bằng 60o . Biết hình lăng trụ nội tiếp một hình trụ. Tính thể tích khối trụ ngoại tiếp lăng trụ theo a ta được:
Từ giả thiết ta có hình thang ABCD là hình thang nội tiếp được đường tròn nên nó là hình thang cân AB = AD = BC = a
Khi đó tâm đường tròn ngoại tiếp hình thang ABCD là trung điểm I của CD và bán kính là r = a .
Ta có:
=> A'A = a√3√3 = 3a => V = 3πa3
Câu 50: Cho hình chóp tứ giác đều S.ABCD có cạnh đáy bằng 2a. Mặt phẳng qua AB và trung điểm M của SC cắt hình chóp theo một thiết diện có chu vi bằng 7a. Thể tích khối nón có đỉnh S và đường tròn đáy ngoại tiếp ABCD là:
Do AB // CD nên mặt phẳng (ABM) cắt mặt phẳng (SCD) theo một giao tuyến đi qua M và song song với CD, giao tuyến đó cắt SD tại N. Suy ra N là trung điểm của SD. Từ giả thiết ta có :
Áp dụng công thức đường trung tuyến trong tam giác SBC ta có :
Khối nón đã cho có :
Câu 51: Cho hình chóp tứ giác đều S.ABCD có chiều cao SO = h = √3 và góc = α = 60° . Tính diện tích xung quanh của hình nón đỉnh S
Đặt r = OA, SO = h, SA = SB = SC = l là đường sinh của hình nón.
Gọi I là trung điểm của đoạn AB.
Câu 52: Cho hình trụ có đường cao h và bán kính đáy là r. Trong các khối lăng trụ tứ giác nội tiếp hình trụ thì khối lăng trụ có thể tích lớn nhất bằng:
A.hr2 B. 2hr2 C. 3hr2 D. 4hr2
Gọi ABCD.A'B'C'D' là hình lăng trụ nội tiếp hình trụ. Khi đó lăng trụ đã cho là lăng trụ đứng và có chiều cao là chiều cao h của hình trụ. Vậy thể tích khối lăng trụ đạt giá trị lớn nhất khi và chỉ khi diện tích đáy ABCD đạt giá trị lớn nhất. Do ABCD nội tiếp đường tròn đáy của hình trụ nên ta có :
Dấu bằng xảy ra khi ABCD là hình vuông. Vậy thể tích khối lăng trụ tứ giác nội tiếp hình trụ lớn nhất là V = 2r2h
(199k) Học Toán 12 KNTTHọc Toán 12 CDHọc Toán 12 CTST
Xem thêm Bài tập trắc nghiệm Toán lớp 12 có đáp án hay khác:
- 32 bài tập trắc nghiệm Mặt cầu (có đáp án)
- 32 bài tập trắc nghiệm Mặt cầu (có đáp án - phần 2)
- 20 bài tập trắc nghiệm Mặt nón, mặt trụ, mặt cầu (có đáp án)
- 60 bài tập trắc nghiệm Hệ tọa độ trong không gian (có đáp án)
- 60 bài tập trắc nghiệm Hệ tọa độ trong không gian (có đáp án - phần 2)
Đã có app VietJack trên điện thoại, giải bài tập SGK, SBT Soạn văn, Văn mẫu, Thi online, Bài giảng....miễn phí. Tải ngay ứng dụng trên Android và iOS.
Theo dõi chúng tôi miễn phí trên mạng xã hội facebook và youtube:Nếu thấy hay, hãy động viên và chia sẻ nhé! Các bình luận không phù hợp với nội quy bình luận trang web sẽ bị cấm bình luận vĩnh viễn.
- Giải Tiếng Anh 12 Global Success
- Giải sgk Tiếng Anh 12 Smart World
- Giải sgk Tiếng Anh 12 Friends Global
- Lớp 12 Kết nối tri thức
- Soạn văn 12 (hay nhất) - KNTT
- Soạn văn 12 (ngắn nhất) - KNTT
- Giải sgk Toán 12 - KNTT
- Giải sgk Vật Lí 12 - KNTT
- Giải sgk Hóa học 12 - KNTT
- Giải sgk Sinh học 12 - KNTT
- Giải sgk Lịch Sử 12 - KNTT
- Giải sgk Địa Lí 12 - KNTT
- Giải sgk Giáo dục KTPL 12 - KNTT
- Giải sgk Tin học 12 - KNTT
- Giải sgk Công nghệ 12 - KNTT
- Giải sgk Hoạt động trải nghiệm 12 - KNTT
- Giải sgk Giáo dục quốc phòng 12 - KNTT
- Giải sgk Âm nhạc 12 - KNTT
- Giải sgk Mĩ thuật 12 - KNTT
- Lớp 12 Chân trời sáng tạo
- Soạn văn 12 (hay nhất) - CTST
- Soạn văn 12 (ngắn nhất) - CTST
- Giải sgk Toán 12 - CTST
- Giải sgk Vật Lí 12 - CTST
- Giải sgk Hóa học 12 - CTST
- Giải sgk Sinh học 12 - CTST
- Giải sgk Lịch Sử 12 - CTST
- Giải sgk Địa Lí 12 - CTST
- Giải sgk Giáo dục KTPL 12 - CTST
- Giải sgk Tin học 12 - CTST
- Giải sgk Hoạt động trải nghiệm 12 - CTST
- Giải sgk Âm nhạc 12 - CTST
- Lớp 12 Cánh diều
- Soạn văn 12 Cánh diều (hay nhất)
- Soạn văn 12 Cánh diều (ngắn nhất)
- Giải sgk Toán 12 Cánh diều
- Giải sgk Vật Lí 12 - Cánh diều
- Giải sgk Hóa học 12 - Cánh diều
- Giải sgk Sinh học 12 - Cánh diều
- Giải sgk Lịch Sử 12 - Cánh diều
- Giải sgk Địa Lí 12 - Cánh diều
- Giải sgk Giáo dục KTPL 12 - Cánh diều
- Giải sgk Tin học 12 - Cánh diều
- Giải sgk Công nghệ 12 - Cánh diều
- Giải sgk Hoạt động trải nghiệm 12 - Cánh diều
- Giải sgk Giáo dục quốc phòng 12 - Cánh diều
- Giải sgk Âm nhạc 12 - Cánh diều


Giải bài tập SGK & SBT
Tài liệu giáo viên
Sách
Khóa học
Thi online
Hỏi đáp

