66 bài tập trắc nghiệm Phương trình mặt phẳng (có đáp án - phần 4)
Với 66 bài tập & câu hỏi trắc nghiệm hương trình mặt phẳng lớp 12 có đáp án và lời giải chi tiết đầy đủ các mức độ nhận biết, thông hiểu, vận dụng sẽ giúp học sinh ôn trắc nghiệm Toán 12.
66 bài tập trắc nghiệm Phương trình mặt phẳng (có đáp án - phần 4)
(199k) Học Toán 12 KNTTHọc Toán 12 CDHọc Toán 12 CTST
Câu 48: Trong không gian Oxyz, cho hai mặt phẳng song song (P): 4x - 3y - 8 = 0 và (Q): 8x - 6y - 1 = 0 . Khoảng cách giữa hai mặt phẳng (P) và (Q) là:
Lấy một điểm M(2 ;0 ;0)∈(P). Vì hai mặt phẳng (P) và (Q) song song nên ta có :
Câu 49: Trong không gian Oxyz, tập hợp các điểm M cách đều hai mặt phẳng tọa độ (Oxy) và (Oxz) là hai mặt phẳng có phương trình:
A. y+z=0 và y-z=0 C. x+z=0 và x-z=0
B. x+y=0 và x-y=0 D. y+2z=0 và y-2z=0
Phương trình của hai mặt phẳng (Oxy) và (Oxz) lần lượt là z = 0 và y = 0.
Điểm M(x ;y ;z) cách đều hai mặt phẳng đó khi và chỉ khi
Câu 50: Trong không gian Oxyz, tập hợp các điểm cách đều hai mặt phẳng (P): x + 3y - 4z + 1 = 0 và (Q): x + 3y - 4z + 7 = 0 là :
A. x + 3y - 4z + 8 = 0 C. x + 3y - 4z + 4 = 0
B. x + 3y - 4z + 6 = 0 D. x + 3y - 4z - 6 = 0
Điểm M(x,y,z) cách đều hai mặt phẳng (P) và (Q) khi và chỉ khi
Câu 51: Trong không gian Oxyz, tập hợp các điểm M cách đều hai mặt phẳng (P): 2x + 3y + z - 1 = 0 và (Q): 3x + y + 2z - 3 = 0 là hai mặt phẳng có phương trình là :
A. x - 2y + z - 2 = 0 và 5x + 4y + 4z - 4 = 0
B. x - 2y + z - 2 = 0 và 5x + 4y + 3z - 4 = 0
C. x - 3y + z - 2 = 0 và 5x + 4y + 3z - 4 = 0
D. x + 2y + z - 2 = 0 và 5x + 4y + 3z - 4 = 0
Điểm M(x,y,z) cách đều hai mặt phẳng (P) và (Q) khi và chỉ khi :
d(M ; (P)) = d(M ; (Q))
Câu 52: Trong không gian Oxyz, biết rằng trục Ox song song với mặt phẳng (P) : y + z - 1 = 0 . Khoảng cách giữa Ox và mặt phẳng (P) là :
Vì Ox song song với mặt phẳng (P) và O thuộc Ox nên ta có :
Câu 53: Trong không gian Oxyz, cho điểm A(1 ;-2 ;3) và mặt phẳng (P) có phương trình x + 2y - 2z + m = 0 . Tìm các giá trị của m, biết rằng khoảng cách từ A đến mặt phẳng (P) bằng 1
A. m=12 C. m=18 hoặc m=0
B. m=18 D. m=12 hoặc m=6
Câu 54: Trong không gian Oxyz, cho hai mặt phẳng : (P): x - 2y - 2z + 1 = 0, (Q): 2x - 4y - 4z + m = 0. Tìm các giá trị của m biết rằng khoảng cách giữa hai mặt phẳng (P) và (Q) bằng 1
A. m=8 C. m=8 hoặc m=-4
B. m=38 D. m=38 hoặc m=-34
Lấy A(-1; 0; 0) ∈ (P). Ta có
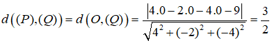
Câu 55: Trong không gian Oxyz, cho điểm A di động trên mặt phẳng (P): 2x - y - 2z = 0 , điểm B di động trên mặt phẳng (Q): 4x - 2y - 4z - 9 = 0 . Khoảng cách giữa hai điểm A và B nhỏ nhất là:
Khoảng cách nhỏ nhất giữa hai điểm A và B chính là khoảng cách giữa hai mặt phẳng (P) và (Q), dấu bằng xày ra khi và chỉ khi AB vuông góc với (P). Mặt khác vì O thuộc (P) nên ta có :
Vậy khoảng cách giữa hai điểm A và B nhỏ nhất bằng 3/2
Câu 56: Trong không gian Oxyz, cho mặt phẳng (P): x - 2y + 3z + 1 = 0 và mặt cầu (S): x2 + y2 + z2 - 2x - 4y + 6z + 5 = 0 . Khẳng định nào dưới đây là đúng?
A. (P) giao (S) theo một đường tròn C. (P) không cắt (S)
B. (P) tiếp xúc với (S) D. Cả ba khẳng định trên đều sai
Mặt cầu (S) có tâm và có bán kính là
Khoảng cách từ I đến mặt phẳng (P) là :
Do đó mặt phẳng (P) giao với mặt cầu (S) theo một đường tròn.
Câu 57: Trong không gian Oxyz, cho mặt phẳng (P): 2x - 2y + z + 1 = 0 và mặt cầu (S): x2 + y2 + z2 + 2x + 4y - 6z + 10 = 0 . Khẳng định nào dưới đây là đúng?
A. (P) và (S) có vô số điểm chung C. (P) không cắt (S)
B. (P) tiếp xúc với (S) D. Cả ba khẳng định trên đều sai
Mặt cầu (S) có tâm I(-1 ;-2 ;3) và có bán kính là
Khoảng cách từ tâm I đến mặt phẳng (P) là :
Do đó (P) tiếp xúc với (S)
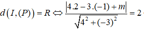
Câu 58: Trong không gian Oxyz, cho mặt cầu (S): (x - 2)2 + (y + 1)2 + (z + 2)2 = 4 và mặt phẳng (P): 4x - 3y + m = 0 . Với những giá trị nào của m thì mặt phẳng (P) và mặt cầu (S) có đúng một điểm chung?
A. m=-1 C. m=1 hoặc m=21
B. m=9 hoặc m=-31 D. m=-1 hoặc m=-21
Mặt cầu (S) có tâm I(2;-1;-2) và có bán kính R=2. Mặt phẳng (P) và mặt cầu (S) có đúng một điểm chung khi và chỉ khi (P) tiếp xúc với (S), từ đó ta được:
Câu 59: Trong không gian Oxyz, tìm những điểm M trên trục Ox sao cho khoảng cách từ M đến mặt phẳng (P): x - 2y - 2z + 1 = 0 bằng 2
A. M(5;0;0) hoặc M(-7;0;0) C. M(5;0;0)
B. M(17;0;0) hoặc M(-19;0;0) D. M(17;0;0)
Gọi M(m;0;0) ta có:
Vậy M(5;0;0) hoặc M(-7;0;0)
Câu 60: Trong không gian Oxyz, tìm những điểm M trên tia Oy sao cho khoảng cách từ điểm M đến mặt phẳng (P): x + 2y - 2z + 1 = 0 bằng 3
A. M(0;13;0) C. M(0;4;0) hoặc M(0;-5;0)
B. M(0;-5;0) D. M(0;4;0)
Gọi M(0;m;0) với m > 0 ta có:
Kết hợp với điều kiện m > 0 ta được m=4. Vậy M(0;4;0)
Câu 61: Trong không gian Oxyz, cho mặt cầu (S): (x - 1)2 + (y + 1)2 + (z + 2)2 = 9 và mặt phẳng (P): 2x - y - 2z + 2 = 0. Lập phương trình các mặt phẳng (Q) song song với mặt phẳng (P) và tiếp xúc với mặt cầu (S)
A. 2x - y - 2z + 16 = 0 C. 2x - y - 2z - 34 = 0
B. 2x - y - 2z + 20 = 0 D. 2x - y - 2z - 16 = 0
Vì mặt phẳng (P) song song với mặt phẳng (Q) nên phương trình của mp(Q) có dạng 2x - y - 2z + m = 0 với m khác 2
Mặt cầu (S) tâm I(1;-1;-2) và có bán kính R=3. Mặt phẳng (Q) tiếp xúc với (S) khi và chỉ khi:
Kết hợp với điều kiện m khác 2 ta được m=-16. Vậy phương trình của mặt phẳng (Q) là: 2x - y - 2z - 16 = 0
Câu 62: Trong không gian Oxyz, cho mặt phẳng (P) thay đổi nhưng luôn đi qua điểm M(2;1;3) và cắt các tia Ox, Oy, Oz lần lượt tại các điểm A, B, C (khác O). Giá trị nhỏ nhất của thể tích tứ diện OABC là:
A. 54 B. 6 C. 27 D. 81
Gọi A(a; 0; 0), B(0; b; 0), C(0; 0; c) trong đó a, b, c > 0. Phương trình của mặt phẳng (P) là:
Theo giả thiết M(2; 1; 3) ∈ (P)
Theo bất đẳng thức Cô-si ta có:
Dấu bằng xảy ra khi và chỉ khi
Vậy đáp án đúng là C
Câu 63: Trong không gian Oxyz, cho mặt phẳng (P) thay đổi nhưng luôn đi qua điểm M(1;2;-3). Viết phương trình mặt phẳng (P) sao cho khoảng cách từ O đến mặt phẳng (P) lớn nhất
Gọi H là hình chiếu vuông góc của O trên mặt phẳng (P). Ta có
Dấu bằng xảy ra khi và chỉ khi H trùng M.
Ta chọn np→ = a→ = (1; 2; -3). Từ đó suy ra phương trình của mặt phẳng (P) là :
1(x - 1) + 2(y - 2) - 3(z + 3) = 0 ⇔ x + 2y - 3z - 14 = 0
Câu 64: Trong không gian Oxyz, cho điểm A di động trên mặt cầu (S): (x - 1)2 + (y - 2)2 + (z + 2)2 = 1 và mặt phẳng (P): -x + 2y + 2z + 28 = 0 . Khoảng cách từ điểm A đến mặt phẳng (P) lớn nhất là:
A. 10 B. 8 C. 11 D. 9
Mặt cầu (S) có tâm I(1 ;2 ;-2) và có bán kính R=1. Khoảng cách từ I đến mặt phẳng (P) là
Do đó mặt phẳng (P) không cắt mặt cầu (S).
Gọi K và H lần lượt là hình chiếu vuông góc của A và I trên mặt phẳng (P). Ta có:
d(A; (P)) = AK ≤ AH ≤ IA + IH = R + h = 10
Dấu bằng xảy ra khi và chỉ khi A là giao điểm của tia đối của tia IH với mặt cầu (S). Vậy đáp án đúng là A.
Câu 65: Trong không gian Oxyz, cho mặt phẳng (P): 3x - 4y + 12 = 0 . Lập phương trình của mặt cầu (S) có tâm I(1;0;3) và (S) giao (P) theo một đường tròn có bán kính r=4
A. (x - 1)2 + y2 + (z - 3)2 = 25 C. (x - 1)2 + y2 + (z - 3)2 = 5
B. (x + 1)2 + y2 + (z + 3)2 = 25 D. (x + 1)2 + y2 + (z + 3)2 = 5
Khoảng cách từ tâm I đến mặt phẳng (P) là :
Bán kính của mặt cầu (S) là :
Vậy phương trình của mặt cầu (S) là : (x -1)2 + y2 + (z - 3)2 = 25
Câu 66: Trong không gian Oxyz, cho mặt cầu (S): x2 + (y - 1)2 + (z + 2)2 = 25 và mặt phẳng (P): 2x - 2y + z + m = 0 . Tìm m sao cho (P) giao (S) theo một đường tròn có bán kính r=3 là:
A. m=16 C. m=40
B. m=16 hoặc m=-8 D. m=40 hoặc m=32
Mặt cầu (S) có tâm I(0 ; 1 ; -2) và bán kính R = 5
Khoảng cách từ tâm I của mặt cầu (S) đến mặt phẳng (P) là :
(199k) Học Toán 12 KNTTHọc Toán 12 CDHọc Toán 12 CTST
Xem thêm Bài tập trắc nghiệm Toán lớp 12 có đáp án hay khác:
- 50 bài tập trắc nghiệm Phương trình đường thẳng (có đáp án)
- 50 bài tập trắc nghiệm Phương trình đường thẳng (có đáp án - phần 2)
- 50 bài tập trắc nghiệm Phương trình đường thẳng (có đáp án - phần 3)
- 25 bài tập trắc nghiệm Ôn tập chương 3 (có đáp án)
- Đề kiểm tra Chương 3 Hình học 12 (có đáp án)
Đã có app VietJack trên điện thoại, giải bài tập SGK, SBT Soạn văn, Văn mẫu, Thi online, Bài giảng....miễn phí. Tải ngay ứng dụng trên Android và iOS.
Theo dõi chúng tôi miễn phí trên mạng xã hội facebook và youtube:Nếu thấy hay, hãy động viên và chia sẻ nhé! Các bình luận không phù hợp với nội quy bình luận trang web sẽ bị cấm bình luận vĩnh viễn.
- Giải Tiếng Anh 12 Global Success
- Giải sgk Tiếng Anh 12 Smart World
- Giải sgk Tiếng Anh 12 Friends Global
- Lớp 12 Kết nối tri thức
- Soạn văn 12 (hay nhất) - KNTT
- Soạn văn 12 (ngắn nhất) - KNTT
- Giải sgk Toán 12 - KNTT
- Giải sgk Vật Lí 12 - KNTT
- Giải sgk Hóa học 12 - KNTT
- Giải sgk Sinh học 12 - KNTT
- Giải sgk Lịch Sử 12 - KNTT
- Giải sgk Địa Lí 12 - KNTT
- Giải sgk Giáo dục KTPL 12 - KNTT
- Giải sgk Tin học 12 - KNTT
- Giải sgk Công nghệ 12 - KNTT
- Giải sgk Hoạt động trải nghiệm 12 - KNTT
- Giải sgk Giáo dục quốc phòng 12 - KNTT
- Giải sgk Âm nhạc 12 - KNTT
- Giải sgk Mĩ thuật 12 - KNTT
- Lớp 12 Chân trời sáng tạo
- Soạn văn 12 (hay nhất) - CTST
- Soạn văn 12 (ngắn nhất) - CTST
- Giải sgk Toán 12 - CTST
- Giải sgk Vật Lí 12 - CTST
- Giải sgk Hóa học 12 - CTST
- Giải sgk Sinh học 12 - CTST
- Giải sgk Lịch Sử 12 - CTST
- Giải sgk Địa Lí 12 - CTST
- Giải sgk Giáo dục KTPL 12 - CTST
- Giải sgk Tin học 12 - CTST
- Giải sgk Hoạt động trải nghiệm 12 - CTST
- Giải sgk Âm nhạc 12 - CTST
- Lớp 12 Cánh diều
- Soạn văn 12 Cánh diều (hay nhất)
- Soạn văn 12 Cánh diều (ngắn nhất)
- Giải sgk Toán 12 Cánh diều
- Giải sgk Vật Lí 12 - Cánh diều
- Giải sgk Hóa học 12 - Cánh diều
- Giải sgk Sinh học 12 - Cánh diều
- Giải sgk Lịch Sử 12 - Cánh diều
- Giải sgk Địa Lí 12 - Cánh diều
- Giải sgk Giáo dục KTPL 12 - Cánh diều
- Giải sgk Tin học 12 - Cánh diều
- Giải sgk Công nghệ 12 - Cánh diều
- Giải sgk Hoạt động trải nghiệm 12 - Cánh diều
- Giải sgk Giáo dục quốc phòng 12 - Cánh diều
- Giải sgk Âm nhạc 12 - Cánh diều


Giải bài tập SGK & SBT
Tài liệu giáo viên
Sách
Khóa học
Thi online
Hỏi đáp

