Trắc nghiệm Phương trình mặt phẳng (có lời giải - phần 3)
Bài tập trắc nghiệm Phương trình mặt phẳng lớp 12 có lời giải chi tiết với bài tập đa dạng sẽ giúp học sinh ôn tập và biết cách làm bài tập Toán 12.
Trắc nghiệm Phương trình mặt phẳng (có lời giải - phần 3)
(199k) Học Toán 12 KNTTHọc Toán 12 CDHọc Toán 12 CTST
Câu 33: Trong không gian Oxyz, cho ba mặt phẳng (P), (Q), (R) lần lượt có phương trình là (m2 + m)x - (m + 2)y + z = 0; x + y + z = 0; 2x + y - z = 0 và , trong đó m là tham số. Với những giá trị nào của m thì mặt phẳng (P) đồng thời vuông góc với cả hai mặt phẳng (Q) và (R)?
A. m = 1 C. m = -3/2
B. m = -1 D. m = -3/2 hoặc m = -1
Ta có:
Mặt phẳng (P) đồng thời vuông góc với cả hai mặt phẳng (Q) và (R) khi và chỉ khi
Câu 34:Trong không gian Oxyz, cho hai mặt phẳng -mx + 3y + 2z + m - 6 = 0 và -2x + (5m + 1)y + (m + 3)z - 10 = 0. Hai mặt phẳng này cắt nhau khi và chỉ khi:
A. m ≠ -4 B. m ≠ -6/5 C. m ≠ 1 D. Mọi m
Gọi hai mặt phẳng đã cho lần lượt là (P) và (Q). Ta có
Hai vectơ này song song khi và chỉ khi tồn tại một số thực k sao cho
Từ đó suy ra hai mặt phẳng (P) và (Q) cắt nhau khi và chỉ khi hai vectơ pháp tuyến của chúng không song song, điều đó tương đương với m khác 1.
Câu 35: Trong không gian Oxyz, hai mặt phẳng 3x + 2y - mz + 2m - 7 = 0 và (5m + 1)x + (m + 3)y - 2z - 10 = 0. Trùng nhau khi và chỉ khi:
A. m = -4 C. m = 1
B. m = -6/5 D. Không có giá trị nào của m thỏa mãn
Hai mặt phẳng 3x + 2y - mz + 2m - 7 = 0 và (5m + 1)x + (m + 3)y - 2z - 10 = 0 trùng nhau khi và chỉ khi tồn tại một số thực k sao cho :
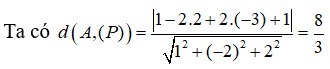
Câu 36: Trong không gian Oxyz, cho điểm A(1;2;-3) và mặt phẳng (P) có phương trình x - 2y + 2z + 1 = 0 . Khoảng cách từ A đến mặt phẳng (P) là:
Câu 37: Trong không gian Oxyz, cho mặt phẳng (P) đi qua ba điểm A(1;1;1), B(2;3;-1), C(0;3;-2). Một vectơ pháp tuyến của mặt phẳng (P) là:
Từ giả thiết ta suy ra
Từ đó suy ra np = (2; -5; -4)→ là một vectơ pháp tuyến của (P)
Câu 38: Trong không gian Oxyz, lập phương trình của mặt phẳng (P) đi qua ba điểm A(1;0;1), B(0;-1;-3), C(2;1;3)
A. x - y - 1 = 0 B. x - y + 1 = 0 C. x + z - 2 = 0 D. x + y - 1 = 0
Từ giả thiết ta suy ra:
Từ đó suy ra phương trình của mặt phẳng (P) là : 1(x - 1) - 1(y - 0) = 0 ⇔ x - y - 1 = 0
Câu 39: Trong không gian Oxyz, lập phương trình của mặt phẳng (P) đi qua điểm A(2;1;3), vuông góc với mặt phẳng (Q): x + y - 3z = 0 đồng thời (P) song song với trục Oz
A. x + y - 3 = 0 B. x - y - 1 = 0 C. 2x + y + 3z - 1 = 0 D. x - y + 1 = 0
Từ giả thiết ta suy ra:
Mặt khác mặt phẳng (P) đi qua điểm A(2 ;1 ;3) nên ta có phương trình của mặt phẳng (P) là: 1(x- 2) - 1(y - 1) = 0 ⇔ x - y - 1 = 0
Câu 40: Trong không gian Oxyz, phương trình của mặt phẳng (P) đi qua điểm M(2;6;-3) và vuông góc với hai mặt phẳng (Oxy), (Oyz) là:
A. 2x - 4 = 0 B. y - 6 = 0 C. z + 3 = 0 D. 2x - 6y - 3z - 49 = 0
Vì (P) vuông góc với hai mặt phẳng (Oxy), (Oyz) và (Oxy) (Oyz) = Oy nên ta có (P) → Oy = > np→ = j→ = (0; 1; 0)
Từ đó suy ra phương trình của mặt phẳng (P) là : 0(x - 2) + 1(y - 6 ) + 0(z + 3) = 0 ⇔ y - 6 = 0
Câu 41: Trong không gian Oxyz, lập phương trình của mặt phẳng (P) đi qua điểm B(2;1;3) đồng thời vuông góc với hai mặt phẳng (Q): x + y - 3z = 0, (R): 2x - y - z = 0
A. 4x + 5y + 3z + 22 = 0 C. 2x + y + 3z - 22 = 0
B. 4x - 5y + 3z - 12 = 0 D. 4x + 5y + 3z - 22 = 0
Từ giả thiết suy ra:
Mặt khác mặt phẳng (P) đi qua điểm B(2 ;1 ;3) nên ta có phương trình của mặt phẳng (P) là:
4(x - 2) + 5(y - 1) + 3(z - 3) = 0 ⇔ 4x + 5y + 3z - 22 = 0
Câu 42: Trong không gian Oxyz, lập phương trình của mặt phẳng (P) đi qua hai điểm A(1;0;1), B(2;1;3), đồng thời vuông góc với mặt phẳng (Q): x + y - 3z = 0
A. x - y - 1 = 0 B. x + y - 1 = 0 C. x + z - 1 = 0 D. x + y - 3z + 2 = 0
Từ giả thiết suy ra:
Từ đó suy ra phương trình của mặt phẳng (P) là:
1(x - 1) - 1(y - 0) + 0(z - 1) = 0 ⇔ x - y - 1 = 0
Câu 43: Trong không gian Oxyz, lập phương trình của mặt phẳng (P) đi qua điểm A(1;0;1) và chứa trục Ox
A. x - 1 = 0 B. y = 0 C. z - 1 = 0 D. x + z - 1 = 0
Từ giả thiết suy ra
Từ đó suy ra phương trình của mặt phẳng (P) là : 1(y - 0) = 0 ⇔ y = 0
Câu 44: Trong không gian Oxyz, cho mặt phẳng (P) có phương trình x + (m2 - 2m)y + (m - 1)z + m2 + m = 0 , trong đó m là tham số. Với những giá trị nào của m thì mặt phẳng (P) song song với trục Oy?
A. m = 0 B. m = 2 C. m = 0 hoặc m = 2 D. m = 1
Ta có np→ = (1; m2 - 2m; m - 1). Mặt phẳng (P) song song với trục Oy khi và chỉ khi
Ta có:
Từ đó ta được m = 2. Vậy đáp án B là đúng
Câu 45: Trong không gian Oxyz, cho mặt phẳng (P) có phương trình 2x - 3y + (2m - 4)z + m2 - m = 0 , trong đó m là tham số. Với những giá trị nào của m thì (P) song song với trục Oz?
A. m = 2 B. m = 0 C. m = 1 D. Không tồn tại m
Mặt phẳng (P) song song với trục Oz khi và chỉ khi
Mà np→ = (2; -3; 2m - 4) nên: 2.0 + (-3).0 + (2m - 4). 1 = 0
Hay 2m - 4 = 0 nên m = 2
Câu 46: Trong không gian Oxyz, cho hai mặt phẳng (P) và (Q) lần lượt có phương trình là x + my + (m + 3)z + 1 = 0; x - y + 2z = 0 , trong đó m là tham số. Với những giá trị nào của m thì mặt phẳng (P) vuông góc với mặt phẳng (Q)?
A. m = -1 B. m = 0 C. m = -7 D. Không tồn tại m
Ta có: np→ = (1; m; m + 3), nQ→ = (1; -1; 2).
Hai mặt phẳng (P) và (Q) vuông góc khi và chỉ khi np→.nQ→ = 0
⇔ 1.1 + m.(-1) + (m + 3).2 = 0 ⇔ m + 7 = 0 ⇔ m = -7
Câu 47: Trong không gian Oxyz, cho hai mặt phẳng (P) và (Q) lần lượt có phương trình là x - y + 2z = 0; 2x - 2y + (m2 + 3m)z + m2 - m = 0 , trong đó m là tham số. Với những giá trị nào của m thì hai mặt phẳng (P) và (Q) song song?
A. m = 1 B. m = -4 C. m = 1 hoặc m = -4 D. m = 0
Vecto pháp tuyến của hai mặt phẳng (P) và (Q) là :
np→(1; -1; 2); nq→(2; -2; m2 + 3m)
Hai mặt phẳng (P) và (Q) song song với nhau khi và chỉ khi tồn tại một số thực k sao cho:
nq→ = k.np→
(199k) Học Toán 12 KNTTHọc Toán 12 CDHọc Toán 12 CTST
Xem thêm Bài tập trắc nghiệm Toán lớp 12 có đáp án hay khác:
- Trắc nghiệm Phương trình mặt phẳng (có lời giải - phần 4)
- Trắc nghiệm Phương trình đường thẳng (có lời giải)
- Trắc nghiệm Phương trình đường thẳng (có lời giải - phần 2)
- Trắc nghiệm Phương trình đường thẳng (có lời giải - phần 3)
- Bài tập ôn tập Phương pháp tọa độ trong không gian (có lời giải)
Đã có app VietJack trên điện thoại, giải bài tập SGK, SBT Soạn văn, Văn mẫu, Thi online, Bài giảng....miễn phí. Tải ngay ứng dụng trên Android và iOS.
Theo dõi chúng tôi miễn phí trên mạng xã hội facebook và youtube:Nếu thấy hay, hãy động viên và chia sẻ nhé! Các bình luận không phù hợp với nội quy bình luận trang web sẽ bị cấm bình luận vĩnh viễn.
- Giải Tiếng Anh 12 Global Success
- Giải sgk Tiếng Anh 12 Smart World
- Giải sgk Tiếng Anh 12 Friends Global
- Lớp 12 Kết nối tri thức
- Soạn văn 12 (hay nhất) - KNTT
- Soạn văn 12 (ngắn nhất) - KNTT
- Giải sgk Toán 12 - KNTT
- Giải sgk Vật Lí 12 - KNTT
- Giải sgk Hóa học 12 - KNTT
- Giải sgk Sinh học 12 - KNTT
- Giải sgk Lịch Sử 12 - KNTT
- Giải sgk Địa Lí 12 - KNTT
- Giải sgk Giáo dục KTPL 12 - KNTT
- Giải sgk Tin học 12 - KNTT
- Giải sgk Công nghệ 12 - KNTT
- Giải sgk Hoạt động trải nghiệm 12 - KNTT
- Giải sgk Giáo dục quốc phòng 12 - KNTT
- Giải sgk Âm nhạc 12 - KNTT
- Giải sgk Mĩ thuật 12 - KNTT
- Lớp 12 Chân trời sáng tạo
- Soạn văn 12 (hay nhất) - CTST
- Soạn văn 12 (ngắn nhất) - CTST
- Giải sgk Toán 12 - CTST
- Giải sgk Vật Lí 12 - CTST
- Giải sgk Hóa học 12 - CTST
- Giải sgk Sinh học 12 - CTST
- Giải sgk Lịch Sử 12 - CTST
- Giải sgk Địa Lí 12 - CTST
- Giải sgk Giáo dục KTPL 12 - CTST
- Giải sgk Tin học 12 - CTST
- Giải sgk Hoạt động trải nghiệm 12 - CTST
- Giải sgk Âm nhạc 12 - CTST
- Lớp 12 Cánh diều
- Soạn văn 12 Cánh diều (hay nhất)
- Soạn văn 12 Cánh diều (ngắn nhất)
- Giải sgk Toán 12 Cánh diều
- Giải sgk Vật Lí 12 - Cánh diều
- Giải sgk Hóa học 12 - Cánh diều
- Giải sgk Sinh học 12 - Cánh diều
- Giải sgk Lịch Sử 12 - Cánh diều
- Giải sgk Địa Lí 12 - Cánh diều
- Giải sgk Giáo dục KTPL 12 - Cánh diều
- Giải sgk Tin học 12 - Cánh diều
- Giải sgk Công nghệ 12 - Cánh diều
- Giải sgk Hoạt động trải nghiệm 12 - Cánh diều
- Giải sgk Giáo dục quốc phòng 12 - Cánh diều
- Giải sgk Âm nhạc 12 - Cánh diều


Giải bài tập SGK & SBT
Tài liệu giáo viên
Sách
Khóa học
Thi online
Hỏi đáp

