Trắc nghiệm Phương trình đường thẳng (có lời giải - phần 2)
Bài tập trắc nghiệm Phương trình đường thẳng lớp 12 có lời giải chi tiết với bài tập đa dạng sẽ giúp học sinh ôn tập và biết cách làm bài tập Toán 12.
Trắc nghiệm Phương trình đường thẳng (có lời giải - phần 2)
(199k) Học Toán 12 KNTTHọc Toán 12 CDHọc Toán 12 CTST
Câu 17: Tìm tất cả các giá trị của a để hai đường thẳng sau chéo nhau :
d1: x = 1 + at, y = t, z = -1 + 2t, d2: x = 1 - t', y = 2 + 2t', z = 3 - t'
A. a > 0 B. a ≠ -4/3 C. a ≠ 0 D. a = 0
Hai đường thẳng d1, d2 lần lượt đi qua hai điểm M1(1; 0; -1), M2(1; 2; 3) và có vectơ chỉ phương lần lượt là
Hai đường thẳng chéo nhau khi và chỉ khi :
⇔ -5.0 + (a - 2).2 + (2a + 1).4 ≠ 0 ⇔ 10a ≠ 0 ⇔ a ≠ 0
Câu 18: Tìm tất cả các giá trị của a để hai đường thẳng sau vuông góc :
d1: x = 1 - t, y = 1 + 2t, z = 3 + at, d2: x = a + at, y = -1 + t, z = -2 + 2t
A. a=-2 B. a=2 C. a ≠ 2 D. Không tồn tại a
Hai đường thẳng đã cho có hai vecto chỉ phương là u1→(-1; 2; a); u2→(a; 1; 2)
Để hai đường thẳng sau vuông góc thì
u1→.u2→ = -1.a + 2.1 + a.2 = 0 ⇔ a + 2 = 0 ⇔ a = -2
Câu 19: Vị trí tương đối của đường thẳng d: x = 1 + 2t, y = 1 - t, z = 1 - t và mặt phẳng (P): x + y + z - 3 = 0 là:
A. d ⊂ (P) B. cắt nhau C. song song D. Đáp án khác
Đường thẳng d đi qua điểm A( 1 ; 1 ;1) ; có một vecto chỉ phương là ( 2 ; -1 ; -1)
Mặt phẳng (P) có vecto pháp tuyến là
Ta có: u→.n→ = 2.1 + (-1).1 + (-1).1 = 0 và A ∈ (P)
Suy ra, đường thẳng d thuộc mặt phẳng (P).
Câu 20: Vị trí tương đối của đường thẳng d: x = 2 + 4t, y = 3 + t, z = -5t và mặt phẳng (P): x + y + z - 3 = 0 là :
A. d ⊂ (P) B. cắt nhau C. song song D. Đáp án khác
Đường thẳng d đi qua điểm M(2 ;3 ;0) và có vectơ chỉ phương là ud→ = (4; 1; -5), mặt phẳng (P) có vectơ pháp tuyến là uP→ = (1; 1; 1). Ta có :
Suy ra đường thẳng d song song với mặt phẳng (P).
Câu 21: Trong không gian Oxyz, lập phương trình tham số của đường thẳng d đi qua điểm M(2;1;-3) và vuông góc với hai đường thẳng:
B. d: x = 2 + t, y = 1 - 9t, z = -3 - 3t
C. d: x = -2 + t, y = -1 - 9t, z = 3 - 3t
D. d: x = 2 + t, y = 1 + 9t, z = -3 -3t
Mặt khác d đi qua điểm M(2 ;1 ;-3).
Vậy phương trình tham số của đường thẳng d là:
x = 2 + t, y = 1 - 9t, z = -3 - 3t
Câu 22: Trong không gian Oxyz, lập phương trình tham số của đường thẳng d đi qua điểm A(-2;3;1), vuông góc với trục Ox, đông thời d song song với mặt phẳng: (P): x + 2y - 3z = 0
A. d: x = 2, y = -3 + 3t, z = -1 + 2t C. d: x = -2, y = 3 + 3t, z = 1 + 2t
B. d: x = -2, y = 3 - 3t, z = 1 + 2t D. Đáp án khác
Vì d vuông góc với trục Ox, đồng thời d song song với mặt phẳng nên ta có:
Mặt khác d đi qua điểm A(-2 ;3 ;1). Vậy phương trình tham số của đường thẳng d là:
Câu 23: Trong không gian Oxyz, lập phương trình chính tắc của đường thẳng d đi qua điểm M(0;1;-1), nằm trong mặt phẳng (P): x + 2y + z - 1 = 0 và vuông góc với đường thẳng
Câu 24: Trong không gian Oxyz, cho d là đường thẳng đi qua điểm , với m là tham số, và song song với hai mặt phẳng (Oxy), (Oxz). Trong những khẳng định dưới đây, khẳng định nào sai?
A. Tồn tại m để d đi qua gốc tọa độ
B. d có một vectơ chỉ phương là: u→ = (1; 0; 0)
C. Phương trình chính tắc của d là: x = t, y = -3, z = 4
D. Đường thẳng d nằm trong hai mặt phẳng: (P): y + 3 = 0, (Q): z - 4 = 0
Do đường thẳng d song song với hai mặt phẳng (Oxy) và (Oxz).
Lại có: (Oxy) ∩ (Oxz) = Ox
Suy ra đường thẳng d song song với trục Ox.
Kết hợp với điểm O thuộc Ox, ta suy ra đường thẳng d không thể đi qua điểm O với mọi m. Vậy A là khẳng định sai.
Câu 25: Trong không gian Oxyz, cho đường thẳng d đi qua điểm M(2;-1;1) và song song với hai mặt phẳng (P): x + y + z - 1 = 0 và (Q): x - 3y - 2z + 1 = 0 . Trong những khẳng định dưới đây, khẳng định nào sai?
A. Hai vectơ (1;1;1) và (1;-3;-2) đều vuông góc với vectơ chỉ phương của đường thẳng d
B. Phương trình tham số của đường thẳng d là: x = 2 + t, y = -1 + 3t, z = 1 - 4t
C. Đường thẳng d đi qua gốc tọa độ
D. Phương trình chính tắc của đường thẳng d là:
Xét khẳng định C :
Nếu đường thẳng d đi qua gốc tọa độ O thì đường thẳng d có vectơ chỉ phương là OM→ = (2; -1; 1)
Do ud→.np→ = 2.1 - 1.1 + 1.1 = 2 ≠ 0 nên đường thẳng d không song song với mặt phẳng (P)
( mâu thuẫn giả thiết)
Vậy khẳng định C là sai.
Câu 26: Trong không gian Oxyz, lập phương trình tham số của đường thẳng d là giao tuyến của hai mặt phẳng cắt nhau: (P): x + 2y - z + 1 = 0, (Q): x + y + 2z + 3 = 0
A. d: x = -5 - 5t, y = 2 + 3t, z = t C. d: x = -5 + 5t, y = 2 + 3t, z = t
B. d: x = -5 - 5t, y = 2 - 3t, z = t D. d: x = 5t, y = 3 - 3t, z = -t
Tọa độ các điểm thuộc d là nghiệm của hệ phương trình :
Đặt z = t, thay vào hệ trên ta được :
Câu 27: Trong không gian Oxyz, cho đường thẳng d là giao tuyến của hai mặt phẳng cắt nhau (P): x + y - z + 3 = 0, (Q): 2x - y + 6z - 2 = 0. phương trình chính tắc của đường thẳng d là:
Câu 28: Cho tam giác ABC có A(1; 3; 5), B(-4; 0; -2), C(3; 9; 6) . Gọi G là trọng tâm tam giác ABC. Trong những khẳng định dưới đây, khẳng định nào sai?
A. Tọa độ của điểm G là (0;4;3)
B. AG ⊥ BC
C. Phương trình tham số của đường thẳng OG là: x = 0, y = 4t, z = 3t
D. Đường thẳng OG nằm trong hai mặt phẳng: (P): x = 0, (Q): 3y - 4z = 0
Câu 29: Trong không gian Oxyz, lập phương trình chính tắc của đường thẳng d đi qua điểm M(0;1;-1), vuông góc và cắt đường thẳng Δ: x = 1 - 4t, y = t, z = -1 + 4t
Câu 30: Trong không gian Oxyz, cho đường thẳng d đi qua điểm M và có vectơ chỉ phương là u→ ; cho đường thẳng d’ đi qua điểm M’ và có vectơ chỉ phương là u'→ thỏa mãn [u→, u'→].MM'→ = 0 . Trong những kết luận dưới đây, kết luận nào sai?
A. d và d’ chéo nhau C. d và d’ có thể cắt nhau
B. d và d’ có thể song song với nhau D. d và d’ có thể trùng nhau
Từ giả thiết ta suy ra hai đường thẳng d và d’ đồng phẳng, do đó khẳng định A là sai.
Câu 31: Vị trí tương đối của hai đường thẳng
A. Cắt nhau B. song song C. chéo nhau D. trùng nhau
Hai vecto chỉ phương của hai đường thẳng đã cho lần lượt là:
Đồng thời, điểm này cũng thuộc đường thẳng còn lại.
Vậy hai đường thẳng đã cho trùng nhau.
Câu 32: Vị trí tương đối của hai đường thẳng
A. Cắt nhau B. song song C. chéo nhau D. trùng nhau
Hai vecto chỉ phương của hai đường thẳng đã cho lần lượt là:
Suy ra hai đường thẳng đã cho chéo nhau.
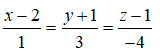
Câu 33: Vị trí tương đối của hai đường thẳng
A. Cắt nhau B. song song C. chéo nhau D. trùng nhau
(199k) Học Toán 12 KNTTHọc Toán 12 CDHọc Toán 12 CTST
Xem thêm Bài tập trắc nghiệm Toán lớp 12 có đáp án hay khác:
- Trắc nghiệm Phương trình đường thẳng (có lời giải - phần 3)
- Bài tập ôn tập Phương pháp tọa độ trong không gian (có lời giải)
- Bài tập ôn tập Phương pháp tọa độ trong không gian (có lời giải - phần 2)
- Bài tập Toán Hình học 12 tổng ôn cuối năm có lời giải chi tiết (có lời giải)
- Bài tập Toán Hình học 12 tổng ôn cuối năm có lời giải chi tiết (có lời giải - phần 2)
Đã có app VietJack trên điện thoại, giải bài tập SGK, SBT Soạn văn, Văn mẫu, Thi online, Bài giảng....miễn phí. Tải ngay ứng dụng trên Android và iOS.
Theo dõi chúng tôi miễn phí trên mạng xã hội facebook và youtube:Nếu thấy hay, hãy động viên và chia sẻ nhé! Các bình luận không phù hợp với nội quy bình luận trang web sẽ bị cấm bình luận vĩnh viễn.
- Giải Tiếng Anh 12 Global Success
- Giải sgk Tiếng Anh 12 Smart World
- Giải sgk Tiếng Anh 12 Friends Global
- Lớp 12 Kết nối tri thức
- Soạn văn 12 (hay nhất) - KNTT
- Soạn văn 12 (ngắn nhất) - KNTT
- Giải sgk Toán 12 - KNTT
- Giải sgk Vật Lí 12 - KNTT
- Giải sgk Hóa học 12 - KNTT
- Giải sgk Sinh học 12 - KNTT
- Giải sgk Lịch Sử 12 - KNTT
- Giải sgk Địa Lí 12 - KNTT
- Giải sgk Giáo dục KTPL 12 - KNTT
- Giải sgk Tin học 12 - KNTT
- Giải sgk Công nghệ 12 - KNTT
- Giải sgk Hoạt động trải nghiệm 12 - KNTT
- Giải sgk Giáo dục quốc phòng 12 - KNTT
- Giải sgk Âm nhạc 12 - KNTT
- Giải sgk Mĩ thuật 12 - KNTT
- Lớp 12 Chân trời sáng tạo
- Soạn văn 12 (hay nhất) - CTST
- Soạn văn 12 (ngắn nhất) - CTST
- Giải sgk Toán 12 - CTST
- Giải sgk Vật Lí 12 - CTST
- Giải sgk Hóa học 12 - CTST
- Giải sgk Sinh học 12 - CTST
- Giải sgk Lịch Sử 12 - CTST
- Giải sgk Địa Lí 12 - CTST
- Giải sgk Giáo dục KTPL 12 - CTST
- Giải sgk Tin học 12 - CTST
- Giải sgk Hoạt động trải nghiệm 12 - CTST
- Giải sgk Âm nhạc 12 - CTST
- Lớp 12 Cánh diều
- Soạn văn 12 Cánh diều (hay nhất)
- Soạn văn 12 Cánh diều (ngắn nhất)
- Giải sgk Toán 12 Cánh diều
- Giải sgk Vật Lí 12 - Cánh diều
- Giải sgk Hóa học 12 - Cánh diều
- Giải sgk Sinh học 12 - Cánh diều
- Giải sgk Lịch Sử 12 - Cánh diều
- Giải sgk Địa Lí 12 - Cánh diều
- Giải sgk Giáo dục KTPL 12 - Cánh diều
- Giải sgk Tin học 12 - Cánh diều
- Giải sgk Công nghệ 12 - Cánh diều
- Giải sgk Hoạt động trải nghiệm 12 - Cánh diều
- Giải sgk Giáo dục quốc phòng 12 - Cánh diều
- Giải sgk Âm nhạc 12 - Cánh diều


Giải bài tập SGK & SBT
Tài liệu giáo viên
Sách
Khóa học
Thi online
Hỏi đáp

