Trắc nghiệm Phương trình đường thẳng (có lời giải)
Bài tập trắc nghiệm Phương trình đường thẳng lớp 12 có lời giải chi tiết với bài tập đa dạng sẽ giúp học sinh ôn tập và biết cách làm bài tập Toán 12.
Trắc nghiệm Phương trình đường thẳng (có lời giải)
(199k) Học Toán 12 KNTTHọc Toán 12 CDHọc Toán 12 CTST
Câu 1: Trong không gian Oxyz, cho hai điểm A(1; -2; 0), B(3; -5; 2) . Phương trình tham số của đường thẳng AB là:
B. x = 2 + 3t, y = -3 - 5t, z = 2 + 2t
C. x = 3 + 2t, y = -5 - 3t, z = 2 + 2t
D. x = 1 + 2t, y = -2 + 3t, z = 2t
Đường thẳng AB đi qua B(3; -5; 2) và VTCP AB→(2; -3; 2) có phương trình tham số là:
Câu 2: Trong không gian Oxyz, cho đường thẳng d đi qua M(4;3;1) và song song với đường thẳng Δ: x = 1 + 2t, y = 1 - 3t, z = 3 + 2t. Phương trình chính tắc của đường thẳng d là:
Đường thẳng ∆ có vecto chỉ phương u→(2; -3; 2)
Đường thẳng d đi qua M(4;3;1) và song song với đường thẳng ∆ nên có vecto chỉ phương là u→(2; -3; 2). Phương trình chính tắc của đường thẳng d là:
Câu 3: Trong không gian Oxyz, phương trình chính tắc của đường thẳng d đi qua điểm M(-1;-2;3) và vuông góc với mặt phẳng (P): x - 2y + 3z - 1 = 0
Mặt phẳng (P) có vecto pháp tuyến np→(1; -2; 3) là:
Vì đường thẳng d đi qua điểm M(-1;-2;3) và vuông góc với mặt phẳng (P) nên có vecto chỉ phương là ud→ = np→(1; -2; 3) . Phương trình chính tắc của d:
Câu 4: Trong không gian Oxyz, cho d là đường thẳng đi qua điểm M(1;2;3) và vuông góc với mặt phẳng (Oxy). Trong những khẳng định dưới đây, khẳng định nào sai?
A. Phương trình chính tắc của đường thẳng d là:
B. Đường thẳng d có một vectơ chỉ phương là u→ = (0; 0; 1)
C. Đường thẳng d nằm trong hai mặt phẳng: (P): x - 1 = 0, (Q): y - 2 = 0
D. Phương trình tham số của đường thẳng d là: x = 1, y = 2, z = 1
Vì đường thẳng d vuông góc với mặt phẳng (Oxy) nên đường thẳng d có vectơ chỉ phương là (0 ;0 ;1). Từ đó suy ra A là khẳng định sai.
Câu 5: Cho tam giác ABC có A(1; -2; 3), B(0; 5; 6), C(1; 3; 2). Gọi H là hình chiếu vuông góc của A trên đường thẳng BC. Trong những khẳng định dưới đây, khẳng định nào sai?
A. Một vectơ pháp tuyến của mặt phẳng (ABC) là:
B. Một vectơ chỉ phương của đường thẳng AH là:
C. AH ⊥ BC
D. Các khẳng định trên không đồng thời đúng
Ta có thể thấy ngay rằng các khẳng định A và C đều đúng.
Ta có
Mặt khác ta có
Từ đó ta suy ra
là một vectơ chỉ phương của đường thẳng AH.
Vậy D là khẳng định sai.
Câu 6: Trong không gian Oxyz, cho hai điểm A(1; -2; -1), B(3; -5; 2) . Phương trình chính tắc của đường thẳng AB là:
Đường thẳng AB đi qua điểm B(3;-5;2) và có vectơ chỉ phương là AB→ . Vậy phương trình chính tắc của đường thẳng AB là:
Câu 7: Trong không gian Oxyz, lập phương trình tham số của đường thẳng d đi qua điểm M(2;-1;1), vuông góc với đường thẳng
và song song với mặt phẳng (P): 2x - 3y + z - 2 = 0.
B. d: x = 2 + 4t, y = 1 + 5t, z = 1 + 7t
C. d: x = 2 +4t, y = -1 - 5t. z = 1 + 7i
D. d: x = -2 + 4t, y = 1 + 5t, z = -1 + 7t
Từ giả thiết suy ra
Mặt khác đường thẳng d đi qua điểm M(2;-1;1) nên phương trình tham số của đường thẳng d là: x = 2+ 4t, y = -1, + 5t, z = 1 + 7t .
Vậy đáp án đúng là B
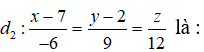
Câu 8: Trong không gian Oxyz, lập phương trình chính tắc của đường thẳng d đi qua điểm M(0;1;1) , vuông góc với đường thẳng
và cắt đường thẳng d2: x = -1, y = t, z = 1 + t
Gọi A = d ∩ d2 . Ta có A ∈ d2 => A(-1; a; a+ 1).
Theo giả thiết:
Thay vào (*) ta được :
-1.3 + (a - 1).1 + a.1 = 0 <=> 2a - 4 = 0 <=> a = 2 <=> ud→ = MA→ = (-1; 1; 2)
Vậy phương trình chính tắc của đường thẳng d là :
Vậy đáp án đúng là A.
Câu 9: Trong không gian Oxyz, lập phương trình tham số của đường thẳng d là giao tuyến của hai mặt phẳng cắt nhau : (P): x + y + z - 1 = 0, (Q): 3x + 2y + z + 1 = 0
A. d: x = -3 + t, y = 4 + 2t, z = t C. d: x = -3 + t, y = 4 - 2t, z =1 + t
B. d: x = -3 + t, y = 4 - 2t, z = t D. d: x =1 - 3t, y = -1 + 4t, z = t
Tọa độ các điểm thuộc d là nghiệm của hệ phương trình :
Đặt z=t, thay vào hệ trên ta được :
Vậy đáp án đúng là B.
Câu 10: Trong không gian Oxyz, vị trí tương đối của hai đường thẳng :
d1: x = 2 + 4t, y = -6t, z = -1-8t và
A. Cắt nhau B. song song C. chéo nhau D. trùng nhau
Đường thẳng d1 đi qua điểm M1(2; 0; -1) và có vectơ chỉ phương là u1→ = (4; -6; -8) ;
đường thẳng d2 đi qua điểm M2(7; 2; 0) và có vectơ chỉ phương là u2→ = (-6; 9; 12) .
Do hai vectơ u1→ và u2→ cùng phương nên các đáp án A và C là sai.
Thay tọa độ điểm M1 vào d2 , ta thấy :
Do đó hai đường thẳng d1 và d2 song song.
Vậy đáp án B là đúng
Câu 11: Trong không gian Oxyz, cho ba điểm A(3;0;0), B(0;3;0), C(0;0;3). Trong những khẳng định dưới đây, khẳng định nào sai?
A. Phương trình của mặt phẳng (ABC) là: x + y + z - 3 = 0
B. Hình chóp O.ABC là hình chóp tam giác đều
C. Phương trình đường thẳng qua O, vuông góc với mặt phẳng (ABC) là: x = t, y = t, z = t
D. Khoảng cách từ O đến mặt phẳng ABC bằng 3
Phương trình mặt phẳng (ABC) là:
Từ đó suy ra khoảng cách từ O đến mặt phẳng (ABC) là:
Vậy khẳng định D là khẳng định sai.
Câu 12: Trong không gian Oxyz, cho đường thẳng Δ: x = 1 + 2, y = 2 + t, z = 1 + 2t và điểm M(2; 1; 4). Khoảng cách từ M đến đường thẳng Δ là:
A. 5 B. √3 C. √5 D. Đáp án khác
Cách 1. Gọi H là hình chiếu vuông góc của M trên đường thẳng Δ.
Ta có: H ∈ Δ => H(1 + t; 2 + t; 1 + 2t)
<=> 6t - 6 = 0 <=> t = 1 => H(2; 3; 3)
Vậy khoảng cách từ M đến đường thẳng Δ là:
Vậy đáp án đúng là C
Cách 2. Δ đi qua điểm A(1 ;2 ;1) và có vectơ chỉ phương là
Ta có:
Câu 13: Trong không gian Oxyz, cho hai đường thẳng chéo nhau :
Cho mặt cầu (S) có một đường kính là đoạn vuông góc chung của hai đường thẳng đã cho. Bán kính của mặt cầu (S) là :
Ta có d1 đi qua điểm M1(7; 3; 9) và có vectơ chỉ phương là u1→ = (1; 2; 1); d2 đi qua điểm M2(3; 1; 1) và có vectơ chỉ phương là u2→ .
Bán kính của mặt cầu (S) là :
Vậy đáp án đúng là B.
Câu 14: Cho tam giác ABC có ABC có A(2; 2; 1), B(4; 4; 2), C(-2; 4; -3) . Vectơ nào dưới đây là vectơ chỉ phương của đường phân giác trong AD của tam giác ABC.
Ta có:
Từ điểm D kẻ đường thẳng song song với AC, cắt cạnh AB tại điểm E. Từ D kẻ đường thẳng song song với AB cắt cạnh AC tại F. Do AD là đường phân giác trong của tam giác ABC nên ta suy ra AEDF là hình thoi.
Đặt AE=AF=k. Ta có:
là một vectơ chỉ phương của đường thẳng AD. Từ đó suy ra C là khẳng định đúng.
Ta cũng lưu ý rằng khẳng định A sai, do tam giác ABC không cân tại đỉnh A.
Câu 15: Trong không gian Oxyz, cho d là đường thẳng đi qua điểm M0(x0; y0; z0) và có vectơ chỉ phương là u→ , với a, b, c khác 0. Trong các khẳng định sau, khẳng định nào sai?
A. Phương trình chính tắc của đường thẳng d là:
B. Phương trình tham số của đường thẳng d là: x = x0 + at, y = y0 + bt, z = z0 + at
C. Đường thẳng d nằm trong hai mặt phẳng :(P): b(x - x0) - a(y - y0) = 0 và (Q): c(x - x0) - a(z - z0) = 0
D. Phương trình đường thẳng d là: a(x - x0) + b (y - y0) + c(z - z0) = 0
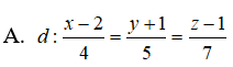
Câu 16: Trong không gian Oxyz, cho đường thẳng d đi qua hai điểm A(2; 3; -1), B(1; 2; 4) . Trong những khẳng định dưới đây, khẳng định nào sai?
A. AB→ = (-1; -1; 5) là một vectơ chỉ phương của đường thẳng d
B. Phương trình chính tắc của đường thẳng d là:
C. Đường thẳng d nằm trong hai mặt phẳng: (P): x - y + 1 = 0, (Q): 5x + z = 0
D. Phương trình chính tắc của đường thẳng d là:
(199k) Học Toán 12 KNTTHọc Toán 12 CDHọc Toán 12 CTST
Xem thêm Bài tập trắc nghiệm Toán lớp 12 có đáp án hay khác:
- Trắc nghiệm Phương trình đường thẳng (có lời giải - phần 2)
- Trắc nghiệm Phương trình đường thẳng (có lời giải - phần 3)
- Bài tập ôn tập Phương pháp tọa độ trong không gian (có lời giải)
- Bài tập ôn tập Phương pháp tọa độ trong không gian (có lời giải - phần 2)
- Bài tập Toán Hình học 12 tổng ôn cuối năm có lời giải chi tiết (có lời giải)
Đã có app VietJack trên điện thoại, giải bài tập SGK, SBT Soạn văn, Văn mẫu, Thi online, Bài giảng....miễn phí. Tải ngay ứng dụng trên Android và iOS.
Theo dõi chúng tôi miễn phí trên mạng xã hội facebook và youtube:Nếu thấy hay, hãy động viên và chia sẻ nhé! Các bình luận không phù hợp với nội quy bình luận trang web sẽ bị cấm bình luận vĩnh viễn.
- Giải Tiếng Anh 12 Global Success
- Giải sgk Tiếng Anh 12 Smart World
- Giải sgk Tiếng Anh 12 Friends Global
- Lớp 12 Kết nối tri thức
- Soạn văn 12 (hay nhất) - KNTT
- Soạn văn 12 (ngắn nhất) - KNTT
- Giải sgk Toán 12 - KNTT
- Giải sgk Vật Lí 12 - KNTT
- Giải sgk Hóa học 12 - KNTT
- Giải sgk Sinh học 12 - KNTT
- Giải sgk Lịch Sử 12 - KNTT
- Giải sgk Địa Lí 12 - KNTT
- Giải sgk Giáo dục KTPL 12 - KNTT
- Giải sgk Tin học 12 - KNTT
- Giải sgk Công nghệ 12 - KNTT
- Giải sgk Hoạt động trải nghiệm 12 - KNTT
- Giải sgk Giáo dục quốc phòng 12 - KNTT
- Giải sgk Âm nhạc 12 - KNTT
- Giải sgk Mĩ thuật 12 - KNTT
- Lớp 12 Chân trời sáng tạo
- Soạn văn 12 (hay nhất) - CTST
- Soạn văn 12 (ngắn nhất) - CTST
- Giải sgk Toán 12 - CTST
- Giải sgk Vật Lí 12 - CTST
- Giải sgk Hóa học 12 - CTST
- Giải sgk Sinh học 12 - CTST
- Giải sgk Lịch Sử 12 - CTST
- Giải sgk Địa Lí 12 - CTST
- Giải sgk Giáo dục KTPL 12 - CTST
- Giải sgk Tin học 12 - CTST
- Giải sgk Hoạt động trải nghiệm 12 - CTST
- Giải sgk Âm nhạc 12 - CTST
- Lớp 12 Cánh diều
- Soạn văn 12 Cánh diều (hay nhất)
- Soạn văn 12 Cánh diều (ngắn nhất)
- Giải sgk Toán 12 Cánh diều
- Giải sgk Vật Lí 12 - Cánh diều
- Giải sgk Hóa học 12 - Cánh diều
- Giải sgk Sinh học 12 - Cánh diều
- Giải sgk Lịch Sử 12 - Cánh diều
- Giải sgk Địa Lí 12 - Cánh diều
- Giải sgk Giáo dục KTPL 12 - Cánh diều
- Giải sgk Tin học 12 - Cánh diều
- Giải sgk Công nghệ 12 - Cánh diều
- Giải sgk Hoạt động trải nghiệm 12 - Cánh diều
- Giải sgk Giáo dục quốc phòng 12 - Cánh diều
- Giải sgk Âm nhạc 12 - Cánh diều


Giải bài tập SGK & SBT
Tài liệu giáo viên
Sách
Khóa học
Thi online
Hỏi đáp

