66 bài tập trắc nghiệm Phương trình mặt phẳng (có đáp án)
Với 66 bài tập & câu hỏi trắc nghiệm Phương trình mặt phẳng lớp 12 có đáp án và lời giải chi tiết đầy đủ các mức độ nhận biết, thông hiểu, vận dụng sẽ giúp học sinh ôn trắc nghiệm Toán 12.
66 bài tập trắc nghiệm Phương trình mặt phẳng (có đáp án)
(199k) Học Toán 12 KNTTHọc Toán 12 CDHọc Toán 12 CTST
Câu 1: Trong không gian Oxyz, cho hai điểm A(1;0;-2), B(-1;1;1). Phương trình mặt phẳng (P) đi qua A và vuông góc với đường thẳng AB là:
A. 2x - y - 3z - 8 = 0 C. x - 2z - 8 = 0
B. x - 2z - 8 = 0 D. 2x - y - 3z + 6 = 0
Do (P) ⊥ AB nên mp(P) có một vectơ pháp tuyến là nP→ = AB→ = (-2; 1; 3) . Mặt khác (P) đi qua điểm A nên phương trình của mặt phẳng (P) là:
-2(x - 1) + (y - 0) + 3(z + 2) = 0 ⇔ -2x + y + 3z + 8 = 0 ⇔ 2x - y - 3z - 8 = 0.
Vậy đáp án đúng là A.
Lưu ý. Khi ta viết phương trình mặt phẳng (P) bị nhầm ở cột z:
-2(x - 1) + (y - 0) + 3(z + 2) = 0 <> 2x - y - 3z - 4 = 0
thì ta được đáp án B.
Khi ta viết phương trình mặt phẳng bị nhầm giữa tọa độ của điểm A với tọa độ của vectơ pháp tuyến 1(x - (-2)) + 0(y - 1) -2(z - 3) = 0 <=> x - 2x + 8 = 0 thì ta được đáp án C.
Khi ta viết phương trình mặt phẳng đi qua B thì ta thu được đáp án D.
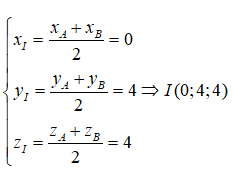
Câu 2: Trong không gian Oxyz, cho hai điểm A(1;3;5), B(-1;5;3). Lập phương trình mặt phẳng trung trực (P) của đoạn thẳng AB
A. x + y + z = 0 B. x + y - z = 0 C. x - y + z = 0 D. -x + y + z = 0
Mặt phẳng (P) đi qua trung điểm I của đoạn thẳng AB và vuông góc với AB. Ta có
Ta chọn :
Vậy phương trình của mặt phẳng (P) là:
-2(x - 0) + 2(y - 4) - 2(z - 4) = 0 ⇔ -2x + 2y - 2z = 0 ⇔ x - y + z = 0
Vậy đáp án đúng là C.
Câu 3: Trong không gian Oxyz, gọi A1, A2, A3 lần lượt là hình chiếu vuông góc của điểm A(4;3;2) trên các trục Ox, Oy, Oz. Trong các khẳng định sau, khẳng định nào sai?
C. Thể tích của tứ diện OA1A2A3 bằng 4
D. Mặt phẳng (A1A2A3) đi qua điểm A.
Vì A1, A2, A3 lần lượt là hình chiếu vuông góc của điểm A(4;3;2) lên các trục Ox, Oy, Oz nên ta có A1(4; 0; 0), A2(0; 3; 0), A3(0; 0; 2) .
Từ đó suy ra các khẳng định A và B là đúng.
Thể tích của khối tứ diện
Vậy khẳng định C là đúng.
Khẳng định D là sai do
Vậy đáp án cần tìm là đáp án D.
Câu 4: Trong không gian Oxyz, lập phương trình của mặt phẳng (P) đi qua điểm A(2 ;1 ;-3), vuông góc với mặt phẳng (Q) : x + y - 3z = 0 đồng thời (P) song song với trục Oz.
A. x + y - 3 = 0 B. x - y - 1 = 0 C. 2x + y - 3z - 1 = 0 D. x - y + 1 = 0
Từ giả thiết ta suy ra
Ta chọn
Mặt khác (P) đi qua điểm A(2 ;1 ;-3) nên ta có phương trình của mặt phẳng (P) là : 1(x - 2) - 1(y - 1) = 0 <=> x - y - 1 = 0 .
Vậy đáp án đúng là B
Lưu ý. Đáp án A xuất phát từ việc tính sai thành phần thứ hai của vectơ pháp tuyến
Đáp án C xuất phát từ sai lầm trong công thức viết phương trình mặt phẳng, nhầm giữa tọa độ của điểm và tọa độ của vectơ pháp tuyến
Đáp án D xuất phát từ việc nhầm hệ số tự do khi viết phương trình mặt phẳng (P).
Câu 5: Trong không gian Oxyz, lập phương trình của mặt phẳng (P) đi qua ba điểm A(1 ;0 ;1), B(0 ;-1 ;-3), C(3 ;2 ;5).
A. x - y - 1 = 0 B. x - y + 1 = 0 C. x + z - 2 = 0 D. x + y - 1 = 0
Từ giả thiết ta suy ra
Mặt khác (P) đi qua điểm A(1 ;0 ;1) nên ta có phương trình của mặt phẳng (P) là : 1(x - 1) - 1(y - 0) = 0 <=> x - y - 1 = 0.
Vậy đáp án đúng là A.
Câu 6: Trong không gian Oxyz, cho mặt phẳng (P) đi qua điểm M(1 ;2 ;2) và cắt các trục Ox, Oy, Oz lần lượt tại các điểm A, B, C (khác O). Viết phương trình mặt phẳng (P) sao cho M là trực tâm của tam giác ABC.
A. 2x + 2y + z - 8 = 0
B. 2x + 2y + z + 8 = 0
D. x + 2y + 2z - 9 = 0
Ta có OA ⊥ OB, OC => OA ⊥ (OBC) => OA ⊥ BC .
Mặt khác ta có AM ⊥ BC nên ta suy ra BC ⊥ (OAM) => BC ⊥ OM
Chứng minh tương tự ta được AC ⊥ OM . Do đó OM ⊥ (ABC).
Ta chọn nP→ = OM→ = (1; 2; 2). Từ đó suy ra phương trình của mặt phẳng (P) là :
1(x - 1) + 2(y - 2) + 2(z - 2) = 0 <=> x + 2y + 2z - 9 = 0
Chọn D
Lưu ý. Bài toán này có thể giải bằng cách tìm tọa độ của các điểm A, B, C dựa vào các điều kiện
Câu 7: Trong không gian Oxyz, cho mặt phẳng (P) có phương trình (m2 - 2m)x + y + (m - 1)z + m2 + m = 0, trong đó m là tham số. Với những giá trị nào của m thì mặt phẳng (P) song song với trục Ox ?
A. m=0 B. m=2 C. m=0 hoặc m=2 D. m=1
Ta có nP→ = (m2 - 2m; 1; m - 1). Mặt phẳng (P) song song với trục Ox khi và chỉ khi
Từ đó ta được m=2.
Vậy đáp án B là đáp án đúng.
Lưu ý. Học sinh thường chỉ để ý đến điều kiện (1) và quên mất điều kiện (2), từ đó sẽ chọn đáp án (C)
Câu 8: Trong không gian Oxyz, cho hai mặt phẳng (P) : x + 2y - 2z + 1 = 0, (Q): 2x + 4y + az + b = 0. Tìm a và b sao cho khoảng cách giữa hai mặt phẳng đó bằng 1.
A. a=-4 và b=8 C. a=-2 và b=38 hoặc b=-34
B. a=-4 và b=8 hoặc b=-4 D. a=-4 và b=38 hoặc b=-34
Muốn khoảng cách giữa hai mặt phẳng (P) và (Q) lớn hơn 0 thì trước hết hai mặt phẳng đó phải song song (nếu hai mặt phẳng đó trùng nhau hoặc cắt nhau thì khoảng cách giữa chúng sẽ bằng 0). Do đó ta có:
Lấy điểm A(-1;0;0) ∈ (P). Khi đó ta có:
Vậy đáp an đúng là B.
Lưu ý. Đáp án A sai là do khi tính khoảng cách quên không lấy giá trị tuyệt đối
Đáp án D sai, xuất phát từ sai lầm khi tính khoảng cách bị sai do thiếu căn thức ở mẫu số.
Đáp án C sai, do trong trường hợp đó hai mặt phẳng cắt nhau, khoảng cách giữa hai mặt phẳng này sẽ bằng 0.
Câu 9: Trong không gian Oxyz, cho mặt cầu (S) có phương trình là x2 + y2 + z2 - 2x - 4y + 6z + 5 = 0 và cho mặt phẳng (P) : x - 2y + 3z + 3 = 0. Khẳng định nào dưới đây là đúng ?
A. (P) giao (S) theo một đường tròn
B. (P) tiếp xúc với (S)
C. (P) không cắt (S)
D. Mặt phẳng (P) đi qua tâm của mặt cầu (S)
Mặt cầu (S) có tâm I(1;2;-3) và có bán kính
Khoảng cách từ tâm I đến mặt phẳng (P) là:
Do đó mặt phẳng (P) giao với mặt cầu (S) theo một đường tròn và (P) không đi qua tâm I của (S).
Vậy đáp án đúng là A.
Câu 10: Trong không gian Oxyz, cho ba điểm thay đổi A(a; 0; 0), B(0; b; 0), C(0; 0; c) trong đó a, b, c khác 0 và thỏa mãn điều kiện 3ab + bc - 2ac = abc . Khoảng cách lớn nhất từ O đến mặt phẳng (ABC) là:
A. 14 B. √14 C. 1/√14 D. Không tồn tại
Phương trình của mặt phẳng (ABC) là:
Theo giả thiết ta có:
Từ đó suy ra M(1; -2; 3) ∈ mp(ABC) .
Gọi H là hình chiếu vuông góc của O trên mp(ABC). Ta có:
Dấu bằng xảy ra khi và chỉ khi H trùng M.
Vậy đáp án đúng là B
Câu 11: Trong không gian Oxyz, phương trình của mặt phẳng (P) đi qua điểm M(x0, y0, z0) và có một vectơ pháp tuyến nP→ = (A; B; C) là:
A. Ax0 + By0 + Cz0 = 0
B. A(x + x0) + B(y + y0) + C(z + z0) = 0
C. A(x - x0) + B(y - y0) + C(z - z0) = 0
D. x0(x - A) + y0(y - B) + z0(z - C) = 0
Phương trình của mặt phẳng (P) đi qua điểm M(x0; y0; z0) và có một vectơ pháp tuyến np→ = (A; B; C) là:
A(x - x0) + B(y - y0) + C(z - z0) = 0
Câu 12: Trong không gian Oxyz, phương trình của mặt phẳng (P) đi qua điểm M(-x0, y0, -z0) và có một vectơ pháp tuyến nP→ = (-A; B; -C) là:
A. A(x - x0) - B(y - y0) + C(z - z0) = 0
B. A(x + x0) - B(y - y0) + C(z + z0) = 0
C. A(x - x0) - B(y + y0) + C(z - z0) = 0
D. A(x + x0) - B(y + y0) + C(z + z0) = 0
Phương trình của mặt phẳng (P) đi qua điểm M(-x0; y0; -z0) và có một vectơ pháp tuyến np→ = (-A; B; -C) là:
-A(x + x0) + B(y - y0) - C(z + z0) = 0
⇔ A(x + x0) - B(y - y0) + C(z + z0) = 0
Câu 13: Trong không gian Oxyz, cho điểm M(-x0; -y0; z0) và phương trình của mặt phẳng (P): Ax + By + Cz = D = 0 . Khoảng cách từ điểm M đến mặt phẳng (P) là:
Khoảng cách từ điểm M đến mặt phẳng (P) là:
Câu 14: Trong không gian Oxyz, cho hai mặt phẳn song song (P): Ax + By + Cz + D = 0 và (Q): Ax + By + Cz + D' = 0. M là một điểm di động trên mặt phẳng (P). Khẳng định nào dưới đây có thể sai?
A. Khoảng cách từ điểm M đến mặt phẳng (Q) không phụ thuộc vào M.
B. Khoảng cách giữa hai mặt phẳng (P) và (Q) chính là khoảng cách từ M đến mặt phẳng (Q)
C. Khoảng cách giữa hai mặt phẳng (P) và (Q) là
D. Khoảng cách giữa hai mặt phẳng (P) và (Q) là |D' - D|
Nếu hai mặt phẳng (P) và (Q) song song với nhau và M thuộc mặt phẳng (P) thì:
+ Khoảng cách từ điểm M đến mặt phẳng (Q) không phụ thuộc vào M.
+ Khoảng cách giữa hai mặt phẳng (P) và (Q) chính là khoảng cách từ M đến mặt phẳng (Q)
+ Khoảng cách giữa hai mặt phẳng (P) và (Q) là
+ Đặc biệt, khoảng cách giữa hai mặt phẳng (P) và (Q) là |D - D'| khi và chỉ khi :
A2 + B2 + C2 =1
Do đó, mệnh đề D có thể sai.
Câu 15: Trong các khẳng định dưới đây, khẳng định nào đúng?
A. Mỗi mặt phẳng chỉ có duy nhất một vectơ pháp tuyến
B. Mặt phẳng (P) hoàn toàn được xác định khi biết một điểm A thuộc (P) và biết một vectơ pháp tuyến của mặt phẳng (P)
C. Mặt phẳng (P) hoàn toàn được xác định khi biết một điểm A thuộc (P) và (P) vuông góc với một mặt phẳng (Q) cho trước
D. Mặt phẳng (P) hoàn toàn được xác định khi biết một điểm A thuộc (P) và (P) song song với một đường thẳng d cho trước
Mặt phẳng (P) hoàn toàn được xác định khi biết một điểm A(x0; y0; z0) thuộc (P) và biết một vectơ pháp tuyến n→(A; B; C) của mặt phẳng (P).
Phương trình mặt phẳng (P) khi đó: A(x - x0) + B(y - y0) + C(z - z0)= 0
Câu 16: Trong các khẳng định dưới đây, khẳng định nào sai?
A. Phương trình của mặt phẳng (P) đi qua điểm M(x0; y0; z0) và có một vectơ pháp tuyến nP→ = (A; B; C) là: A(x - x0) + B(y - y0) + C(z - z0) = 0
B. Nếu hai mặt phẳng vuông góc với nhau thì hai vectơ pháp tuyến của chúng cũng vuông góc
C. Nếu hai mặt phẳng cắt nhau thì hai vectơ pháp tuyến của chúng không cùng phương
D. Nếu hai mặt phẳng (P) và (Q) có hai vectơ pháp tuyến cùng phương thì chúng song song
Khẳng định: Nếu hai mặt phẳng (P) và (Q) có hai vectơ pháp tuyến cùng phương thì chúng song song là sai vì khi đó hai mặt phẳng (P) và (Q) có thể trùng nhau.
(199k) Học Toán 12 KNTTHọc Toán 12 CDHọc Toán 12 CTST
Xem thêm Bài tập trắc nghiệm Toán lớp 12 có đáp án hay khác:
- 66 bài tập trắc nghiệm Phương trình mặt phẳng (có đáp án - phần 2)
- 66 bài tập trắc nghiệm Phương trình mặt phẳng (có đáp án - phần 3)
- 66 bài tập trắc nghiệm Phương trình mặt phẳng (có đáp án - phần 4)
- 50 bài tập trắc nghiệm Phương trình đường thẳng (có đáp án)
- 50 bài tập trắc nghiệm Phương trình đường thẳng (có đáp án - phần 2)
Đã có app VietJack trên điện thoại, giải bài tập SGK, SBT Soạn văn, Văn mẫu, Thi online, Bài giảng....miễn phí. Tải ngay ứng dụng trên Android và iOS.
Theo dõi chúng tôi miễn phí trên mạng xã hội facebook và youtube:Nếu thấy hay, hãy động viên và chia sẻ nhé! Các bình luận không phù hợp với nội quy bình luận trang web sẽ bị cấm bình luận vĩnh viễn.
- Giải Tiếng Anh 12 Global Success
- Giải sgk Tiếng Anh 12 Smart World
- Giải sgk Tiếng Anh 12 Friends Global
- Lớp 12 Kết nối tri thức
- Soạn văn 12 (hay nhất) - KNTT
- Soạn văn 12 (ngắn nhất) - KNTT
- Giải sgk Toán 12 - KNTT
- Giải sgk Vật Lí 12 - KNTT
- Giải sgk Hóa học 12 - KNTT
- Giải sgk Sinh học 12 - KNTT
- Giải sgk Lịch Sử 12 - KNTT
- Giải sgk Địa Lí 12 - KNTT
- Giải sgk Giáo dục KTPL 12 - KNTT
- Giải sgk Tin học 12 - KNTT
- Giải sgk Công nghệ 12 - KNTT
- Giải sgk Hoạt động trải nghiệm 12 - KNTT
- Giải sgk Giáo dục quốc phòng 12 - KNTT
- Giải sgk Âm nhạc 12 - KNTT
- Giải sgk Mĩ thuật 12 - KNTT
- Lớp 12 Chân trời sáng tạo
- Soạn văn 12 (hay nhất) - CTST
- Soạn văn 12 (ngắn nhất) - CTST
- Giải sgk Toán 12 - CTST
- Giải sgk Vật Lí 12 - CTST
- Giải sgk Hóa học 12 - CTST
- Giải sgk Sinh học 12 - CTST
- Giải sgk Lịch Sử 12 - CTST
- Giải sgk Địa Lí 12 - CTST
- Giải sgk Giáo dục KTPL 12 - CTST
- Giải sgk Tin học 12 - CTST
- Giải sgk Hoạt động trải nghiệm 12 - CTST
- Giải sgk Âm nhạc 12 - CTST
- Lớp 12 Cánh diều
- Soạn văn 12 Cánh diều (hay nhất)
- Soạn văn 12 Cánh diều (ngắn nhất)
- Giải sgk Toán 12 Cánh diều
- Giải sgk Vật Lí 12 - Cánh diều
- Giải sgk Hóa học 12 - Cánh diều
- Giải sgk Sinh học 12 - Cánh diều
- Giải sgk Lịch Sử 12 - Cánh diều
- Giải sgk Địa Lí 12 - Cánh diều
- Giải sgk Giáo dục KTPL 12 - Cánh diều
- Giải sgk Tin học 12 - Cánh diều
- Giải sgk Công nghệ 12 - Cánh diều
- Giải sgk Hoạt động trải nghiệm 12 - Cánh diều
- Giải sgk Giáo dục quốc phòng 12 - Cánh diều
- Giải sgk Âm nhạc 12 - Cánh diều


Giải bài tập SGK & SBT
Tài liệu giáo viên
Sách
Khóa học
Thi online
Hỏi đáp

