60 bài tập trắc nghiệm Hệ tọa độ trong không gian (có đáp án - phần 3)
Với 60 bài tập & câu hỏi trắc nghiệm Hệ tọa độ trong không gian lớp 12 có đáp án và lời giải chi tiết đầy đủ các mức độ nhận biết, thông hiểu, vận dụng sẽ giúp học sinh ôn trắc nghiệm Toán 12.
60 bài tập trắc nghiệm Hệ tọa độ trong không gian (có đáp án - phần 3)
(199k) Học Toán 12 KNTTHọc Toán 12 CDHọc Toán 12 CTST
Câu 41: Trong không gian Oxyz, cho hai vectơ u→ = (3; 4; 0), v→ = (2; -1; 2) . Tích vô hướng của hai vectơ u→ và v→ là:
A. 15 B. 2 C. 3 D. 0
Câu 42: Trong không gian Oxyz, cho mặt cầu (S) có phương trình là:
(x - 1)2 + (y + 2)2 + (z + 3)2 = 25
Tìm tọa độ tâm I và bán kính R của mặt cầu (S)
A. I(1; -2; -3); R = 25 C. I(-1; 2; 3); R = 25
B. I(-1; 2; 3); R = 5 D. I(1; -2; -3); R = 5
Câu 43: Trong không gian Oxyz, cho mặt cầu (S) có phương trình là:
x2 + y2 + z2 - 2x + 4y + 4z + 5 = 0
Tìm tọa độ tâm I và bán kính R của mặt cầu (S)
A. I(1; -2; -2); R = 2 C. I(-1; 2; 2); R = 2
B. I(1; -2; -2); R = 4 D. I(-2; 4; 4); R = 4
Câu 44: Phương trình nào dưới đây là phương trình của một mặt cầu?
A. x2 + y2 + z2 - 2x + 4y - 8z - 25 = 0
B. x2 + y2 + z2 - 2x - 4y - 6z + 15 = 0
C. 3x2 + 3y2 + 3z2 - 6x - 7y - 8z + 1 = 0
D. (x - 1)2 + (y + 2)2 + (z + 3)2 + 10 = 0
Sử dụng phương trình x2 + y2 + z2 - 2ax - 2by - 2cz + d = 0 là phương trình của một mặt cầu khi và chỉ khi a2 + b2 + c2 - d > 0
+ Phương án A và B không thỏa mãn điều kiện a2 + b2 + c2 - d > 0
+ Phương án C: 3x2 + 3y2 + 3z2 - 6x - 7y - 8z + 1 = 0
Nên đây có là phương trình mặt cầu.
+ Phương án D: (x - 1)2 + (y - 2)2 + (z - 3)2 + 10 = 0
⇔ (x - 1)2 + (y - 2)2 + (z - 3)2 = -10 nên không là phương trình mặt cầu.
Câu 45: Trong không gian Oxyz, cho mặt cầu (S) có phương trình là:
3x2 + 3y2 + 3z2 + 6x - 8y + 15z - 3 = 0
Tìm tọa độ tâm I và bán kính R của mặt cầu (S).
Câu 46: Trong không gian Oxyz, cho mặt cầu (S) có đường kính AB với A(-2;-4;3), B(4;2;0). Tìm tọa độ tâm I và bán kính R của mặt cầu (S).
(S) có bán kính:
và có tâm I là trung điểm của AB. Ta có:
Câu 47: Trong không gian Oxyz, cho mặt cầu (S) có tâm I(1;-2;-3) và đi qua điểm M(-1;0;-2). Phương trình của mặt cầu (S) là:
A. (x - 1)2 + (y + 2)2 + (z + 3)2 = 3 C. (x + 1)2 + (y - 2)2 + (z - 3)2 = 3
B. (x + 1)2 + (y - 2)2 + (z - 3)2 = 9 D. (x - 1)2 + (y + 2)2 + (z + 3)2 = 9
Câu 48: Cho (S) là mặt cầu có tâm I(1;2;4) và đi qua điểm M(-1;4;3). Khẳng định nào dưới đây sai?
A. Bán kính của mặt cầu (S) là R = IM = 3
B. Phương trình chính tắc của mặt cầu (S) là: (x - 1)2 + (y - 2)2 + (z - 4)2 = 9
C. Mặt cầu (S) đi qua gốc tọa độ
D. Phương trình tổng quát của mặt cầu (S) là: x2 + y2 + z2 - 2x - 4y - 8z + 12 = 0
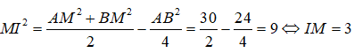
Ta có: .
Suy ra:
* Bán kính của mặt cầu (S) là R = IM = 3
* Phương trình chính tắc của mặt cầu (S) là:
(x - 1)2 + (y - 2)2 + (z - 4)2 = 9
* Phương trình tổng quát của mặt cầu (S) là:
x2 + y2 + z2 - 2x - 4y - 8z + 12 = 0
* Thay tọa độ điểm O vào phương trình mặt cầu ta thấy không thỏa mãn nên mặt cầu không đi qua gốc tọa độ O.
Câu 49: Cho mặt cầu (S) có tâm I(1;2;3), bán kính R=4. Khẳng định nào sau đây là sai?
A. Diện tích của mặt cầu (S) bằng 16π
B. Thể tích của khối cầu (S) bằng 64π/3
C. Phương trình chính tắc cúa (S) là: (x + 1)2 + (y + 2)2 + (z + 3)2 = 16
D. Phương trình tổng quát của mặt cầu (S) là: x2 + y2 + z2 - 2x - 4y - 6z - 2 = 0
Câu 50: Cho mặt cầu (S) có tâm I(1;2;-1) và bán kính R=3. Phương trình mặt cầu (S’) đối xứng với mặt cầu (S) qua gốc tọa độ là:
A. (x - 1)2 + (y - 2)2 + (z + 1)2 = 9
C. x2 + y2 + z2 - 2x - 4y + 2z - 3 = 0
B. (x + 1)2 + (y + 2)2 + (z - 1)2 = 9
D. x2 + y2 + z2 = 9
Mặt cầu (S’) đối xứng với mặt cầu (S) qua gốc tọa độ nên mặt cầu (S’) có tâm I’(-1;-2; 1) đối xứng với I qua gốc O và có bán kính R’ = R = 3.
Phương trình mặt cầu (S’) là:(x + 1)2 + (y + 2)2 + (z - 1)2 = 9
Câu 51: Cho mặt cầu (S) có phương trình: x2 + y2 + z2 - 2x + 4y - 6z - 2 = 0 . Điểm M(m; -2; 3) nằm trong mặt cầu khi và chỉ khi:
A. m=6 B. m > -3 C. -3 < m < 5 D. m < 5
Mặt cầu (S) có tâm I(1;-2;3),
M nằm trong mặt cầu (S) khi và chỉ khi: IM < R nên
Câu 52: Trong không gian Oxyz, cho mặt cầu (S) có tâm I(0;0;1), bán kính R=5. Mặt phẳng (P): 4x - 4y + z + m = 0 cắt mặt cầu (S) theo một đường tròn có bán kính bằng 5. Khi đó m bằng:
A. m=-1 B. m=-4 C. m=3 D. Đáp số khác
Do mặt phẳng (P) cắt mặt cầu (S) theo một đường tròn có bán kính bằng 5 bằng bán kính mặt cầu nên tâm I thuộc mặt phẳng (P) .
Thay tọa độ tâm I vào phương trình mặt phẳng (P) ta được:
4.0- 3.0 + 1+ m= 0 nên m = -1 .
Câu 53: Trong không gian Oxyz, cho mặt cầu (S) đi qua bốn điểm O, A(4;0;0), B(0;-2;0), C(0;0;2). Phương trình của mặt cầu (S) là:
A. (x - 1)2 + (y + 1)2 + (z - 1)2 = 6 C. (x - 4)2 + (y + 2)2 + (z + 2)2 = 24
B. (x - 2)2 + (y + 1)2 + (z - 1)2 = 24 D. (x + 2)2 + (y - 1)2 + (z + 1)2 = 6
Gọi I(a; b; c) là tâm của mặt cầu (S). Ta có:
Từ đó: R = OI = √6
Vậy phương trình của mặt cầu (S) là: (x - 2)2 + (y + 1)2 + (z - 1)2 = 6
Câu 54: Trong không gian Oxyz, cho mặt cầu (S) đi qua bốn điểm O, A(-4;0;0), B(0;2;0), C(0;0;4). Phương trình của mặt cầu (S) là:
A. x2 + y2 + z2 + 2x - y - 2z = 0 C. x2 + y2 + z2 + 4x - 2y + 4z = 0
B. x2 + y2 + z2 + 4x + 2y - 4z = 0 D. x2 + y2 + z2 + 4x - 2y - 4z = 0
Phương trình tổng quát của mặt cầu (S) có dạng x2 + y2 + z2 - 2ax - 2by - 2cz + d = 0 với a2 + b2 + c2 - d > 0
Ta có: O(0; 0; 0) ∈ (S) ⇔ d = 0
A(-4; 0; 0) ∈ (S) ⇔ (-4)2 + 02 + 02 - 2a.(-4) - 0 - 0 + 0 = 0 ⇔ a = -2
B(0; 2; 0) ∈ (S) ⇔ 02 + 22 + 02 - 0 - 2b.2 - 0 + 0 = 0 ⇔ b = 1
C(0; 0; 4) ∈ (S) ⇔ 02 + 02 + 42 - 0 - 0 - 2c.4 - 0 = 0 ⇔ c = 2
Vậy phương trình tổng quát của mặt cầu (S) là: x2 + y2 + z2 + 4x -2y - 4z = 0
Câu 55: Vị trí tương đối của hai mặt cầu (S) có tâm I(1;1;1), bán kính R = 1 và mặt cầu (S’) có tâm I'(3;3;3), bán kính R’=1 là:
A. ở ngoài nhau B. tiếp xúc C. cắt nhau D. chứa nhau
Do đó, hai mặt cầu đã cho ở ngoài nhau.
Câu 56: Vị trí tương đối của hai mặt cầu: x2 + y2 + z2 + 2x - 2y - 2z - 7 = 0 và x2 + y2 + z2 + 2x + 2y + 4z + 5 = 0 là:
A. ở ngoài nhau B. tiếp xúc C. cắt nhau D. chứa nhau
Mặt cầu: x2 + y2 + z2 + 2x - 2y – 2z – 7 = 0 có tâm I(-1; 1;1) và
Mặt cầu: x2 + y2 + z2 + 2x + 2y + 4z + 5= 0 có tâm I’( -1; -1; -2) và R’ = 1
Do đó, hai mặt cầu này cắt nhau.
Câu 57: Trong không gian Oxyz, cho A(1;0;-3), B(-3;-2;-5). Biết rằng tập hợp các điểm M trong không gian tỏa mãn đẳng thức AM2 + 2BM2 = 30 là một mặt cầu (S). Tìm tọa độ tâm I và bán kính R của (S).
A. I(-1; -1; -4); R = √6 C. I(-1; -1; -4); R = √30/2
B. I(-2; -2; -8); R = 3 D. I(-1; -1; -4); R = 3
Gọi I là trung điểm của AB. AB = √24
Theo công thức đường trung tuyến ta có
Mặt khác ta có
Nên I(-1; -1; -4) . Từ đó suy ra đáp án đúng là D.
Đáp án A và C sai do nhớ nhầm công thức tính đường trung tuyến
Đáp án B sai do tính nhầm công thức trung điểm
Câu 58: Trong không gian Oxyz, cho hai điểm A(0;2;-4), B(-3;5;2). Tìm tọa độ điểm M sao cho biểu thức AM2 + 2BM2 đạt giá trị nhỏ nhất.
A. M(-3/2; 7/2; -1) B. M(-1; 3; -2) C. M(-2; 4; 0) D. M(-3; 7; -2)
Gọi M(x; y; z). Ta có:
AM2 + 2BM2 = x2 + (y - 2)2 + (z + 4)2 + 2[(x + 3)2 + (y - 5)2 + (z - 2)2]
= x2 + y2- 4y + 4+ z2 +8z+ 16 + 2(x2+ 6x + 9 + y2 – 10y + 25 + z2 – 4z + 4)
= 3(x2 + y2 + z2 + 4x - 8y) + 96 = 3[(x + 2)2 + (y - 4)2 + z2] + 36 ≥ 36
Dấu bằng xảy ra khi và chỉ khi x = -2, y = 4, z = 0 → M(-2; 4; 0) .
Vậy đáp án đúng là C
Dấu bằng xảy ra khi và chỉ khi M trùng I. Từ đó sau khi tìm được điểm I ta suy ra đáp án C đúng.
Nếu đề bài hỏi AM2 + BM2 đạt giá trị nhỏ nhất thì đáp án đúng là A ( vị trí trung điểm của AB)
Câu 59: Trong không gian Oxyz, cho mặt cầu (S) có phương trình là: (x - 1)2 + (y - 1)2 + (z - 3)2 = 4
Cho ba điểm A, M, B nằm trên mặt cầu (S) thỏa mãn điều kiện góc AMB = 90o . Diện tích tam giác AMB có giá trị lớn nhất là:
A. 4 B. 2 C. 4π D. Không tồn tại
Ba điểm A, M, B nằm trên mặt cầu (S) thỏa mãn điều kiện = 90°
Nên tam giác AMB vuông tại M.
Ta có:
Dấu bằng xáy ra khi và chỉ khi tam giác MAB vuông cân tại M và AB là một đường kính của mặt cầu (S). Vậy đáp án đúng là A.
Câu 60: Trong không gian Oxyz, cho hai mặt cầu (S) và (S’) có tâm lần lượt là I(-1;2;3), I’(3;-2;1) và có bán kính lần lượt là 4 và 2. Cho điểm M di động trên mặt cầu (S), N di động trên mặt cầu (S’). Khi đó giá trị lớn nhất của đoạn thẳng MN bằng:
A. 8 B. 2 C. 12 D. 6
Ta có: II' = 6 = R + R'
Ta có: MN ≥ MI + II' + I'N = R + 6 + R' = 12
Dấu bằng xảy ra khi M, I, I', N theo thứ tự nằm trên một đường thẳng. Do đó M là giao điểm của tia đối của tia II' với mặt cầu (S), N là giao điểm của tia đối của tia I’I với mặt cầu (S’). Vậy đáp án đúng là C.
(199k) Học Toán 12 KNTTHọc Toán 12 CDHọc Toán 12 CTST
Xem thêm Bài tập trắc nghiệm Toán lớp 12 có đáp án hay khác:
- 66 bài tập trắc nghiệm Phương trình mặt phẳng (có đáp án)
- 66 bài tập trắc nghiệm Phương trình mặt phẳng (có đáp án - phần 2)
- 66 bài tập trắc nghiệm Phương trình mặt phẳng (có đáp án - phần 3)
- 66 bài tập trắc nghiệm Phương trình mặt phẳng (có đáp án - phần 4)
- 50 bài tập trắc nghiệm Phương trình đường thẳng (có đáp án)
Đã có app VietJack trên điện thoại, giải bài tập SGK, SBT Soạn văn, Văn mẫu, Thi online, Bài giảng....miễn phí. Tải ngay ứng dụng trên Android và iOS.
Theo dõi chúng tôi miễn phí trên mạng xã hội facebook và youtube:Nếu thấy hay, hãy động viên và chia sẻ nhé! Các bình luận không phù hợp với nội quy bình luận trang web sẽ bị cấm bình luận vĩnh viễn.
- Giải Tiếng Anh 12 Global Success
- Giải sgk Tiếng Anh 12 Smart World
- Giải sgk Tiếng Anh 12 Friends Global
- Lớp 12 Kết nối tri thức
- Soạn văn 12 (hay nhất) - KNTT
- Soạn văn 12 (ngắn nhất) - KNTT
- Giải sgk Toán 12 - KNTT
- Giải sgk Vật Lí 12 - KNTT
- Giải sgk Hóa học 12 - KNTT
- Giải sgk Sinh học 12 - KNTT
- Giải sgk Lịch Sử 12 - KNTT
- Giải sgk Địa Lí 12 - KNTT
- Giải sgk Giáo dục KTPL 12 - KNTT
- Giải sgk Tin học 12 - KNTT
- Giải sgk Công nghệ 12 - KNTT
- Giải sgk Hoạt động trải nghiệm 12 - KNTT
- Giải sgk Giáo dục quốc phòng 12 - KNTT
- Giải sgk Âm nhạc 12 - KNTT
- Giải sgk Mĩ thuật 12 - KNTT
- Lớp 12 Chân trời sáng tạo
- Soạn văn 12 (hay nhất) - CTST
- Soạn văn 12 (ngắn nhất) - CTST
- Giải sgk Toán 12 - CTST
- Giải sgk Vật Lí 12 - CTST
- Giải sgk Hóa học 12 - CTST
- Giải sgk Sinh học 12 - CTST
- Giải sgk Lịch Sử 12 - CTST
- Giải sgk Địa Lí 12 - CTST
- Giải sgk Giáo dục KTPL 12 - CTST
- Giải sgk Tin học 12 - CTST
- Giải sgk Hoạt động trải nghiệm 12 - CTST
- Giải sgk Âm nhạc 12 - CTST
- Lớp 12 Cánh diều
- Soạn văn 12 Cánh diều (hay nhất)
- Soạn văn 12 Cánh diều (ngắn nhất)
- Giải sgk Toán 12 Cánh diều
- Giải sgk Vật Lí 12 - Cánh diều
- Giải sgk Hóa học 12 - Cánh diều
- Giải sgk Sinh học 12 - Cánh diều
- Giải sgk Lịch Sử 12 - Cánh diều
- Giải sgk Địa Lí 12 - Cánh diều
- Giải sgk Giáo dục KTPL 12 - Cánh diều
- Giải sgk Tin học 12 - Cánh diều
- Giải sgk Công nghệ 12 - Cánh diều
- Giải sgk Hoạt động trải nghiệm 12 - Cánh diều
- Giải sgk Giáo dục quốc phòng 12 - Cánh diều
- Giải sgk Âm nhạc 12 - Cánh diều


Giải bài tập SGK & SBT
Tài liệu giáo viên
Sách
Khóa học
Thi online
Hỏi đáp

