22 bài tập trắc nghiệm Chuyển động thẳng biến đổi đều (có đáp án - phần 2)
Với bài tập trắc nghiệm Chuyển động thẳng biến đổi đều lớp 10 có đáp án chi tiết với câu hỏi & bài tập đầy đủ các mức độ nhận biết, thông hiểu, vận dụng giúp học sinh ôn tập trắc nghiệm Vật Lí 10.
22 bài tập trắc nghiệm Chuyển động thẳng biến đổi đều (có đáp án - phần 2)
(199k) Học Vật Lí 10 KNTTHọc Vật Lí 10 CDHọc Vật Lí 10 CTST
Câu 12: Một chiếc xe chuyển động thẳng nhanh dần đều từ trạng thái nghỉ. Xe chạy được một đoạn đường S mất khoảng thời gian là 10 s. Thời gian xe chạy được 1/4 đoạn đường đầu là
A. 2,5 s.
B. 5 s.
C. 7,5 s.
D. 8 s.
Chọn: B.
Xe chuyển động thẳng nhanh dần đều từ trạng thái nghỉ (v0 = 0) nên quãng đường đi được của xe sau thời gian t1 = 10 s là:
Thời gian xe chạy được 1/4 đoạn đường đầu (S2 = S1/4) là t2.
Ta có:
Câu 13: Một vật nhỏ bắt đầu trượt chậm dần đều lên một đường dốc. Thời gian nó trượt lên cho tới khi dừng lại mất 10 s. Thời gian nó trượt được 1/4 s đoạn đường cuối trước khi dừng lại là
A. 1 s.
B. 3 s.
C. 5 s.
D. 7 s.
Chọn: C.
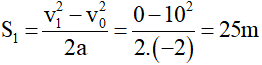
Quãng đường mà vật nhỏ trượt được trên dốc sau 10s được xác định từ hệ thức độc lập:
Vận tốc khi bắt đầu trượt ¼ quãng đường cuối (S1 = S/4) là v1.
Ta có:
Mặt khác:
Câu 14: Một hòn bi bắt đầu lăn nhanh dần đều từ đỉnh xuống một đường dốc dài L = 1 m với vo = 0. Thời gian lăn hết chiều dài của đường dốc là 0,5 s. Vận tốc của hòn bi khi tới chân dốc là
A. 10 m/s.
B. 8 m/s.
C. 5 m/s.
D. 4 m/s.
Chọn: D.
Quãng đường hòn bi lăn được sau thời gian t = 0,5s là S = L = 0,5.a.t2 = 1 m.
Suy ra gia tốc của hòn bi: a = 2L/t2 = 8m/s2.
Vận tốc của hòn bi khi tới chân dốc là: v = v0 + a.t = 0 + 8.0,5 = 4 m/s.
Câu 15: Phương trình chuyển động của một vật chuyển động đọc theo trục Ox là x = 8 – 0,5(t - 2)2 + t, với x đo bằng m, t đo bằng s. Từ phương trình này có thể suy ra kết luận nào sau đây?
A. Gia tốc của vật là 1,2 m/s2 và luôn ngược hướng với vận tốc
B. Tốc độ của vật ở thời điểm t =2 s là 2 m.
C. Vận tốc trung bình của vật trong khoảng thời gian từ t = 0 s đến t = 3 s là 1 m/s.
D. Quãng đường vật đi được trong khoảng thời gian từ t’1 = 1 s đến t’2 = 3 s là 2 m.
Chọn: D.
Ta có: x = 8 – 0,5(t - 2)2 + t = 10 + (t – 2) – 0,5.(t – 2)2
Đối chiếu với phương trình chuyển động tổng quát của chuyển động biến đổi đều:
x = x0 + v0(t – t0) + 0,5a.(t – t0)2
ta thu được: x0 = 10 m, t0 = 2s; a = -1 m/s2; v0 = 1 (m/s).
Tại thời điểm t = t0 = 2s thì x = x0 = 10 m.
Vận tốc trung bình của vật trong khoảng thời gian từ t1 = 0 s đến t2 = 3 s là:
Biểu thức vận tốc của vật là: v = v0 + a.(t – t0) = 1 – 1.(t – 2) = 3 – t (m/s)
=> lúc t = 3 s, v = 0 m/s, vật dừng lại và sau đó đổi chiều chuyển động.
Suy ra trong khoảng thời gian từ t’1 = 1 s đến t’2 = 3 s vật chưa đổi chiều chuyển động nên quãng đường vật đi được trong khoảng thời gian này là:
s = |x(3) – x(1)| = 10,5 - 8,5 = 2m.
Câu 16: Một xe máy đang chạy với vận tốc 15 m/s trên đoạn đường thẳng thì người lái xe tăng ga và xe máy chuyển động nhanh dần đều. Sau 10 s, xe đạt đến vận tốc 20 m/s. Gia tốc và vận tốc của xe sau 20 s kể từ khi tăng ga là
A. 1,5 m/s2 và 27 m/s.
B. 1,5 m/s2 và 25 m/s.
C. 0,5 m/s2 và 25 m/s.
D. 0,5 m/s2 và 27 m/s.
Chọn: C.
Gia tốc của xe là:
Vận tốc của xe sau 20 s kể từ khi tăng ga là: v’ = v0 + at’ = 15 + 0,5.20 = 25 m/s.
Câu 17: Một xe chuyển động thẳng biến đổi đều có phương trình vận tốc là v = 10 – 2t, t thính theo s, v tính theo m/s. Quãng đường mà xe đó đi được trong 8 s đầu tiên là
A. 26 m.
B. 16 m.
C. 34 m.
D. 49 m.
Chọn: C.
Phương trình vận tốc là v = 10 – 2t = v0 + a.t
Suy ra: a = -2 m/s2, v0 = 10 m/s => xe chuyển động chậm dần đều.
Xe dừng lại khi v = 0 ⟺ 10 – 2t = 0 ⟺ t = 5s.
Sau 5 giây xe dừng lại và sau đó đổi chiều chuyển động.
Quảng đường đi được của xe trong 5 s đầu tiên là:
Sau 3 giây tiếp theo, xe chuyển động nhanh dần theo chiều âm, quãng đường đi được thêm là:
Tổng quãng đường đi được trong 8 s đầu tiên là: S1 + S2 = 34 m.
Câu 18: Một xe đạp đang chuyển động với vận tốc 5 m/s thì hãm phanh chuyển động thẳng chậm dần đều. Hình 3.1 là đồ thị vận tốc – thời gian của xe đạp. Quãng đường xe đạp đi được từ lúc hãm phanh cho đến lúc dừng lại là
A. 50 m.
B. 10 m.
C. 11 m.
D. 25 m.
Chọn: D.
Từ đồ thị, sau t = 10 s, vận tốc giảm từ v0 = 5 m/s xuống v = 0
Quãng đường xe đạp đi được từ lúc hãm phanh cho đến lúc dừng lại là:
Câu 19: Một ô tô đang chạy thẳng đều với vận tốc 40 km/h thì tăng ga chuyển động thẳng nhanh dần đều. Biết rằng sau khi chạy được quãng đường 1 km thì ô tô đạt được vận tốc 60 km/h. Gia tốc của ô tô là
A. 20 km/h2.
B. 1000 m/s2.
C. 1000 km/h2.
D. 10 km/h2.
Chọn: C.
Ta có: v0 = 40 km/h, v = 60 km/h, S = 1km
Câu 20: Hình 3.2 diễn tả đồ thị vận tốc – thời gian của một xe chuyển động trên đường thẳng. Gia tốc của xe trong khoảng thời gian (5 ÷ 10 s) là
A. 0,2 m/s2.
B. 0,4 m/s2.
C. 0,6 m/s2.
D. 0,8 m/s2.
Chọn: D.
Gia tốc của xe trong khoảng thời gian 5 đến 10 s là:
Câu 21: Hình 3.3 diễn tả đồ thị vận tốc – thời gian của một xe chuyển động trên đường thẳng. Thời điểm lúc xe dừng lại là
A. 12,5 s.
B. 15 s.
C. 7,5 s.
D. 10 s.
Chọn: A.
Thời điểm ban đầu t = 0, xe có v0 = 20 m/s.
Thời điểm t1 = 5 s, v1 = 12 m/s.
Xe dừng lại vào thời điểm t2.
Chuyển động của xe là chậm dần đều với gia tốc a. Do vậy ta có:
Suy ra thời điểm dừng lại t = 12,5 s.
Câu 22: Hình 3.4 diễn tả đồ thị vận tốc – thời gian của một chiếc xe chuyển động thẳng. Trường hợp nào sau đây là đúng?
A. Trong 4 giây cuối, xe giảm tốc với gia tốc 12 m/s2.
B. Trong 2 s đầu tiên, xe tăng tốc với gia tốc 6 m/s2.
C. Trong khoảng thời gian (2 – 5 s) xe đứng yên.
D. Xe trở về vị trí ban đầu lúc t = 9s.
Chọn: B.
Trong 4 giây cuối, xe giảm tốc với gia tốc:
Trong 2 giây đầu tiên, xe tăng tốc với gia tốc:
Trong (2 ÷ 5 s) xe chuyển động đều vì vận tốc không thay đổi: C sai.
Xe chuyển động một chiều, không trở lại: D sai.
(199k) Học Vật Lí 10 KNTTHọc Vật Lí 10 CDHọc Vật Lí 10 CTST
Xem thêm các Bài tập trắc nghiệm Vật Lí lớp 10 có đáp án hay khác:
- 24 bài tập trắc nghiệm Chuyển động thẳng đều (có đáp án)
- 22 bài tập trắc nghiệm Chuyển động thẳng biến đổi đều (có đáp án)
- 22 bài tập trắc nghiệm Chuyển động thẳng biến đổi đều (có đáp án - phần 2)
- 20 bài tập trắc nghiệm Sự rơi tự do (có đáp án)
- 20 bài tập trắc nghiệm Sự rơi tự do (có đáp án - phần 2)
Để học tốt lớp 10 các môn học sách mới:
- Giải bài tập Lớp 10 Kết nối tri thức
- Giải bài tập Lớp 10 Chân trời sáng tạo
- Giải bài tập Lớp 10 Cánh diều
Tủ sách VIETJACK shopee lớp 10-11 (cả 3 bộ sách):
Đã có app VietJack trên điện thoại, giải bài tập SGK, SBT Soạn văn, Văn mẫu, Thi online, Bài giảng....miễn phí. Tải ngay ứng dụng trên Android và iOS.
Theo dõi chúng tôi miễn phí trên mạng xã hội facebook và youtube:Nếu thấy hay, hãy động viên và chia sẻ nhé! Các bình luận không phù hợp với nội quy bình luận trang web sẽ bị cấm bình luận vĩnh viễn.
- Giải Tiếng Anh 10 Global Success
- Giải Tiếng Anh 10 Friends Global
- Giải sgk Tiếng Anh 10 iLearn Smart World
- Giải sgk Tiếng Anh 10 Explore New Worlds
- Lớp 10 - Kết nối tri thức
- Soạn văn 10 (hay nhất) - KNTT
- Soạn văn 10 (ngắn nhất) - KNTT
- Soạn văn 10 (siêu ngắn) - KNTT
- Giải sgk Toán 10 - KNTT
- Giải sgk Vật lí 10 - KNTT
- Giải sgk Hóa học 10 - KNTT
- Giải sgk Sinh học 10 - KNTT
- Giải sgk Địa lí 10 - KNTT
- Giải sgk Lịch sử 10 - KNTT
- Giải sgk Kinh tế và Pháp luật 10 - KNTT
- Giải sgk Tin học 10 - KNTT
- Giải sgk Công nghệ 10 - KNTT
- Giải sgk Hoạt động trải nghiệm 10 - KNTT
- Giải sgk Giáo dục quốc phòng 10 - KNTT
- Lớp 10 - Chân trời sáng tạo
- Soạn văn 10 (hay nhất) - CTST
- Soạn văn 10 (ngắn nhất) - CTST
- Soạn văn 10 (siêu ngắn) - CTST
- Giải Toán 10 - CTST
- Giải sgk Vật lí 10 - CTST
- Giải sgk Hóa học 10 - CTST
- Giải sgk Sinh học 10 - CTST
- Giải sgk Địa lí 10 - CTST
- Giải sgk Lịch sử 10 - CTST
- Giải sgk Kinh tế và Pháp luật 10 - CTST
- Giải sgk Hoạt động trải nghiệm 10 - CTST
- Lớp 10 - Cánh diều
- Soạn văn 10 (hay nhất) - Cánh diều
- Soạn văn 10 (ngắn nhất) - Cánh diều
- Soạn văn 10 (siêu ngắn) - Cánh diều
- Giải sgk Toán 10 - Cánh diều
- Giải sgk Vật lí 10 - Cánh diều
- Giải sgk Hóa học 10 - Cánh diều
- Giải sgk Sinh học 10 - Cánh diều
- Giải sgk Địa lí 10 - Cánh diều
- Giải sgk Lịch sử 10 - Cánh diều
- Giải sgk Kinh tế và Pháp luật 10 - Cánh diều
- Giải sgk Tin học 10 - Cánh diều
- Giải sgk Công nghệ 10 - Cánh diều
- Giải sgk Hoạt động trải nghiệm 10 - Cánh diều
- Giải sgk Giáo dục quốc phòng 10 - Cánh diều


Giải bài tập SGK & SBT
Tài liệu giáo viên
Sách
Khóa học
Thi online
Hỏi đáp

