27 bài tập trắc nghiệm Động lượng; Định luật bảo toàn động lượng (có đáp án - phần 2)
Với bài tập trắc nghiệm Động lượng; Định luật bảo toàn động lượng lớp 10 có đáp án chi tiết với câu hỏi & bài tập đầy đủ các mức độ nhận biết, thông hiểu, vận dụng giúp học sinh ôn tập trắc nghiệm Vật Lí 10.
27 bài tập trắc nghiệm Động lượng; Định luật bảo toàn động lượng (có đáp án - phần 2)
(199k) Học Vật Lí 10 KNTTHọc Vật Lí 10 CDHọc Vật Lí 10 CTST
Câu 14: Hệ gồm hai vật có động lượng là p1 = 6 kg.m/s và p2 = 8 kg.m/s. Động lượng tổng cộng của hệ p = 10 kg.m/s nếu:
Chọn D.
Câu 15: Phát biểu nào sau đây là sai? Trong một hệ kín
A. các vật trong hệ chỉ tương tác với nhau.
B. các nội lực từng đôi một trực đối.
C. không có ngoại lực tác dụng lên các vật trong hệ.
D. nội lực và ngoại lực cân bằng nhau.
Chọn D.
Một hệ nhiều vật được gọi là hệ cô lập (hay hệ kín) khi không có ngoại lực tác dụng lên hệ hoặc nếu có thì các ngoại lực ấy cân bằng nhau.
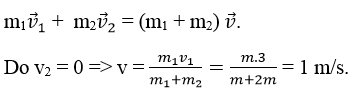
Câu 16: Một vật có khối lượng m chuyển động với vận tốc 3 m/s đến va chạm với một vật có khối lượng 2m đang đứng yên. Coi va chạm giữa hai vật là mềm. Sau va chạm, hai vật dính nhau và chuyển động với cùng vận tốc
A. 2 m/s.
B. 1 m/s.
C. 3 m/s.
D. 4 m/s.
Chọn B.
Hệ hai vật ngay khi va chạm mềm là một hệ kín nên động lượng của hệ được bảo toàn:
Câu 17: Một viên đạn đang bay với vận tốc 10 m/s thì nổ thành hai mảnh. Mảnh thứ nhất, chiếm 60% khối lượng của quả lựu đạn và tiếp tục bay theo hướng cũa với vận tốc 25 m/s. Tốc độ và hướng chuyển động của mảnh thứ hai là
A. 12,5 m/s; theo hướng viên đạn ban đầu.
B. 12,5 m/s; ngược hướng viên đạn ban đầu.
C. 6,25 m/s; theo hướng viên đạn ban đầu.
D. 6,25 m/s; ngược hướng viên đạn ban đầu.
Chọn B.
Hệ viên đạn (hai mảnh đạn) ngay khi nổ là một hệ kín nên động lượng hệ được bảo toàn
Dấu (-) chứng tỏ mảnh đạn thứ 2 sẽ chuyển động ngược chiều chuyển động ban đầu của viên đạn và mảnh đạn thứ nhất.
Câu 18: Một viên đạn pháo khối lượng m1 = 10 kg bay ngang với vận tốc v1 = 500 m/s dọc theo đường sắt và cắm vào toa xe chở cát có khối lượng m2 = 1 tấn, đang chuyển động cùng chiều với vận tốc v2 = 36 km/h. Vận tốc của toa xe ngay sau khi trúng đạn là
A. 4,95 m/s.
B. 15 m/s.
C. 14,85 m/s.
D. 4,5 m/s.
D. 4,5 m/s.
Lời giải:
Chọn C.
Ta có: v2 = 36 km/h = 10 m/s.
Va chạm giữa viên đạn và toa xe là va chạm mềm nên động lượng của hệ (đạn + xe) là không đổi:
Hướng dẫn giải và đáp án
| Câu | 11 | 12 | 13 | 14 | 15 | 16 | 17 | 18 |
| Đáp án | C | A | B | D | D | B | B | C |
Câu 11: C
Câu 12: A
Câu 13: B
Câu 14: D
Câu 16: B
Hệ hai vật ngay khi va chạm mềm là một hệ kín nên động lượng của hệ được bảo toàn:
Câu 17: B
Hệ viên đạn ( hai mảnh đạn) ngay khi nổ là một hệ kín nên động lượng hệ được bảo toàn
Dấu (-) chứng tỏ mảnh đạn thứ 2 sẽ chuyển động ngược chiều chuyển động ban đầu của viên đạn và mảnh đạn thứ nhất.
Câu 18: C
v2 = 36 km/h = 10 m/s.
Va chạm giữa viên đạn và toa xe là va chạm mềm nên động lượng của hệ (đạn + xe) là không đổi:
Câu 19: Tại thời điểm t0 = 0, một vật m = 500g rơi tự do không vận tốc đầu từ độ cao 80m xuống đất với g=10m/s2. Động lượng của vật tại thời điểm t=2scó
A. độ lớn 10kg.m/s; phương thẳng đứng chiều từ dưới lên trên.
B. độ lớn 10.000kg.m/s; phương thẳng đứng chiều từ trên xuống dưới.
C. độ lớn 10kg.m/s; phương thẳng đứng chiều từ trên xuống dưới.
D. độ lớn 10.000kg.m/s; phương thẳng đứng chiều từ dưới lên trên.
Chọn C.
Véctơ vận tốc của vật trong chuyển động rơi tự do sau 2 giây có
+ Độ lớn v = g.t = 10.2 = 20 m/s.
+ Phương chiều: thẳng đứng từ trên xuống dưới
Vậy ta xác định được động lượng của vật sau 2 giây
+ Độ lớn: p = m.v = 0,5.20 =10 kg.m/s
+ Phương chiều động lượng cùng phương cùng chiều với vận tốc của vật nên có phương thẳng đứng chiều từ trên xuống dưới.
Câu 20: Từ độ cao h = 80 m, ở thời điểm t0 = 0 một vật m = 200g được ném ngang với vận tốc ban đầu v0 = 10√3 m/s, gia tốc trọng trường g = 10m/s2. Động lượng của vật ở thời điểm t = 1s có
A. độ lớn 2√3 kg.m/s; hướng xuống phía dưới tạo với phương ngang một góc β = 60°.
B. độ lớn 4kg.m/s; hướng xuống phía dưới tạo với phương ngang một góc β = 30°.
C. độ lớn 4kg.m/s; hướng xuống phía dưới tạo với phương ngang một góc β = 60°.
D. độ lớn 2√3 kg.m/s; hướng xuống phía dưới tạo với phương ngang một góc β = 30°.
Chọn B.
Véctơ vận tốc của vật ở thời điểm t = 1s
Do chuyển động ném ngang nên:
Theo phương ngang Ox là chuyển động thẳng đều:
Theo phương thẳng đứng Oy là chuyển động rơi tự do
vy = g.t = 10.1 = 10 m/s.
Vận tốc của vật có độ lớn:
Phương chiều hướng xuống phía dưới tạo với phương ngang một góc β tính bởi
+ Động lượng của vật
- Độ lớn p= m.v = 0,2.20 = 4 kg.m/s.
- Phương chiều hướng xuống phía dưới tạo với phương ngang một góc β = 30°
Câu 21: Một vật m = 200g chuyển động tròn đều tâm O trong mặt phẳng Oxy với tốc độ góc ω = π(rad/s) như hình vẽ, thời điểm t0 = 0 vật có tọa độ (-5; 0). Động lượng của vật tại thời điểm t = 0,5s có
A. độ lớn 0,0314kg.m/s; chiều là chiều âm của Ox.
B. độ lớn 0,314kg.m/s; chiều là chiều âm của Oy.
C. độ lớn 0,314kg.m/s; chiều là chiều dương của Oy.
D. độ lớn 0,0314kg.m/s; chiều là chiều dương của Ox.
Chọn D.
Véc tơ vận tốc của vật tại thời điểm t= 0,5s có
Độ lớn:
+ Ban đầu vật có tọa độ (-5; 0) tức là vật đang ở tọa độ:
+ Mà chuyển động tròn đều véc tơ vận tốc có phương chiều tiếp tuyến với đường tròn quỹ đạo tại vị trí của vật.
+ Như vậy véc tơ vận tốc có phương theo Ox; chiều là chiều + của Ox
Vậy ta xác định được động lượng của vật tại thời điểm t = 0,5s có
+ Độ lớn: p = m.v = 0,2.0,157 = 0,0314 kg.m/s
+ Phương chiều động lượng cùng phương cùng chiều với vận tốc của vật nên có phương theo Ox; chiều là chiều + của Ox.
Câu 22: Một xe có khối lượng 5 tấn bắt đầu hãm phanh chuyển động thẳng chậm dần đều dừng lại hẳn sau 20s kể từ lúc bắt đầu hãm phanh, trong thời gian đó xe chạy được 120m. Động lượng của xe lúc bắt đầu hãm phanh có độ lớn bằng
A. 60.000kg.m/s.
B. 6000kg.m/s.
C. 12.000kg.m/s.
D. 60kg.m/s.
Chọn A.
Vận tốc của xe lúc bắt đầu hãm phanh
+ Ta có vận tốc; quãng đường trong chuyển động thẳng biến đổi đều
Do vậy, ta xác định được độ lớn động lượng của xe lúc bắt đầu hãm phanh bằng
p = m.v = 5000.12 = 60000 kg.m/s.
Câu 23: Một vật m chuyển động thẳng nhanh dần đều không vận tốc ban đầu gọi p và v lần lượt là độ lớn của động lượng và vận tốc của vật đồ thị của động lượng theo vận tốc có dạng là hình
A. Hình 1
B. Hình 2
C. Hình 3
D. Hình 4
Chọn C.
Động lượng của một vật khối lượng m đang chuyển động với vận tốc v→ là đại lượng được xác định bởi công thức: p→ = mv→
Độ lớn p = m.v (*)
Vì khối lượng (m) của vật không thay đổi, còn vận tốc thì thay đổi (vì vật đang chuyển động thẳng nhanh dần đều) như vậy m đóng vai trò là hằng số (m đặt là a), v đóng vai trò là biến số (v đặt là x). Xét độ lớn của động lượng p (p đặt là hàm số y). Thì biểu thức (*) có dạng toán học y = a.x đây là hàm bậc nhất với hệ số góc a> 0.
⇒ Hình 3 chính là đồ thị dạng toán học của nó.
Câu 24: Hai vật 1 và 2 chuyển động thẳng đều vận tốc của hai vật tạo với nhau một góc α = 60°, khối lượng tốc độ tương ứng với mỗi vật là 1 kg, 2 m/s và 3 kg, 4 m/s. Động lượng của hệ hai vật có độ lớn bằng
A. 14 kg.m/s.
B. 11 kg.m/s.
C. 13 kg.m/s.
D. 10 kg.m/s
Chọn C.
Độ lớn động lượng của mỗi vật là
- Độ lớn p1 = m1.v1 = 1.2 = 2 kg.m/s.
- Độ lớn p2 = m2.v2 = 3.4 = 12 kg.m/s.
Động lượng của hệ hai vật: ph→ = p1→ + p2→
Do véc tơ động lượng của 2 vật tao với nhau một góc . Nên độ lớn động lượng của hệ tính bởi định lý hàm số cos:
Câu 25: Từ cùng một vị trí và cùng thời điểm t0 = 0, hai vật được cho chuyển động bằng hai cách khác nhau, vật m1 = 100g được thả rơi tự do không vận tốc đầu, vật m2 = 200g được ném ngang với vận tốc ban đầu v02 = 20√3 m/s , gia tốc trọng trường g = 10m/s2, độ cao h = 80m, bỏ qua lực cản của không khí. Độ lớn động lượng của hệ hai vật ở thời điểm t = 2s bằng
A. 5,2kg.m/s
B. 6,2kg.m/s
C. 7,2kg.m/s
D. 9,2kg.m/s
Chọn D.
Độ lớn động lượng của mỗi vật là:
* Động lượng của vật 1
- Độ lớn p1 = m1.v1 = m1.g.t = 0,1.10.2 = 3 kg.m/s.
- Phương chiều thẳng đứng hướng xuống
* Động lượng của vật 2
- Vật 2 chuyển động ném ngang nên:
Theo phương ngang Ox là chuyển động thẳng đều: v2x = v02 = 20√3 m/s
Theo phương thẳng đứng Oy là chuyển động rơi tự do v2y = g.t (m/s)
Vận tốc của vật có độ lớn
Do véc tơ động lượng của 2 vật tạo với nhau một góc α = 60°. Nên độ lớn động lượng của hệ tính bởi định lý hàm số cos:
Câu 26: Một xe tăng, khối lượng tổng cộng M = 10 tấn, trên xe có gắn súng nòng súng hợp một góc α = 60° theo phương ngang hướng lên trên. Khi súng bắn một viên đạn có khối lượng m = 5kg hướng dọc theo nòng súng thì xe giật lùi theo phương ngang với vận tốc 0,02 m/s biết ban đầu xe đứng yên, bỏ qua ma sát. Tốc độ của viên đạn lúc rời nòng súng bằng
A. 120m/s.
B. 40m/s.
C. 80m/s.
D. 160m/s
Chọn C.
Chọn hệ trục Ox như hình vẽ
Phương trình bảo toàn véc tơ động lượng cho hệ theo Ox
Câu 27: Một quả bóng m = 200g bay đến đập vào mặt phẳng ngang với tốc độ 25m/s theo góc tới α = 60°. Bóng bật trở lại với cùng tốc độ v theo góc phản xạ α’ = α như hình bên. Độ biến thiên động lượng của quả bóng do va chạm có độ lớn bằng lượng của quả bóng do va chạm có độ lớn bằng
A. 2,5√3 kgm/s
B. 5√3 kgm/s
C. 5 kgm/s
D. 10 kgm/s
Chọn C.
+ Biểu diễn véc tơ động lượng lúc trước và lúc sau
+ p→ động lượng lúc trước.
+ p'→ động lượng lúc sau.
+ Độ biến thiên động lượng của quả bóng do va chạm
δp→ = p'→ - p→ = p'→ + (-p→)
+ Từ hình biểu diễn véc tơ ta có độ lớn:
∆p = p’ = p = m.v = 0,2.25 = 5 kg.m/s.
(vì tam giác tạo bởi 3 cạnh này là tam giác cân có 1 góc 60° là tam giác đều).
(199k) Học Vật Lí 10 KNTTHọc Vật Lí 10 CDHọc Vật Lí 10 CTST
Xem thêm các Bài tập trắc nghiệm Vật Lí lớp 10 có đáp án hay khác:
- 27 bài tập trắc nghiệm Động lượng; Định luật bảo toàn động lượng (có đáp án)
- 25 bài tập trắc nghiệm Công và công suất (có đáp án)
- 25 bài tập trắc nghiệm Công và công suất (có đáp án - phần 2)
- 15 bài tập trắc nghiệm Động năng (có đáp án)
- 15 bài tập trắc nghiệm Thế năng (có đáp án)
Để học tốt lớp 10 các môn học sách mới:
- Giải bài tập Lớp 10 Kết nối tri thức
- Giải bài tập Lớp 10 Chân trời sáng tạo
- Giải bài tập Lớp 10 Cánh diều
Tủ sách VIETJACK shopee lớp 10-11 (cả 3 bộ sách):
Đã có app VietJack trên điện thoại, giải bài tập SGK, SBT Soạn văn, Văn mẫu, Thi online, Bài giảng....miễn phí. Tải ngay ứng dụng trên Android và iOS.
Theo dõi chúng tôi miễn phí trên mạng xã hội facebook và youtube:Nếu thấy hay, hãy động viên và chia sẻ nhé! Các bình luận không phù hợp với nội quy bình luận trang web sẽ bị cấm bình luận vĩnh viễn.
- Giải Tiếng Anh 10 Global Success
- Giải Tiếng Anh 10 Friends Global
- Giải sgk Tiếng Anh 10 iLearn Smart World
- Giải sgk Tiếng Anh 10 Explore New Worlds
- Lớp 10 - Kết nối tri thức
- Soạn văn 10 (hay nhất) - KNTT
- Soạn văn 10 (ngắn nhất) - KNTT
- Soạn văn 10 (siêu ngắn) - KNTT
- Giải sgk Toán 10 - KNTT
- Giải sgk Vật lí 10 - KNTT
- Giải sgk Hóa học 10 - KNTT
- Giải sgk Sinh học 10 - KNTT
- Giải sgk Địa lí 10 - KNTT
- Giải sgk Lịch sử 10 - KNTT
- Giải sgk Kinh tế và Pháp luật 10 - KNTT
- Giải sgk Tin học 10 - KNTT
- Giải sgk Công nghệ 10 - KNTT
- Giải sgk Hoạt động trải nghiệm 10 - KNTT
- Giải sgk Giáo dục quốc phòng 10 - KNTT
- Lớp 10 - Chân trời sáng tạo
- Soạn văn 10 (hay nhất) - CTST
- Soạn văn 10 (ngắn nhất) - CTST
- Soạn văn 10 (siêu ngắn) - CTST
- Giải Toán 10 - CTST
- Giải sgk Vật lí 10 - CTST
- Giải sgk Hóa học 10 - CTST
- Giải sgk Sinh học 10 - CTST
- Giải sgk Địa lí 10 - CTST
- Giải sgk Lịch sử 10 - CTST
- Giải sgk Kinh tế và Pháp luật 10 - CTST
- Giải sgk Hoạt động trải nghiệm 10 - CTST
- Lớp 10 - Cánh diều
- Soạn văn 10 (hay nhất) - Cánh diều
- Soạn văn 10 (ngắn nhất) - Cánh diều
- Soạn văn 10 (siêu ngắn) - Cánh diều
- Giải sgk Toán 10 - Cánh diều
- Giải sgk Vật lí 10 - Cánh diều
- Giải sgk Hóa học 10 - Cánh diều
- Giải sgk Sinh học 10 - Cánh diều
- Giải sgk Địa lí 10 - Cánh diều
- Giải sgk Lịch sử 10 - Cánh diều
- Giải sgk Kinh tế và Pháp luật 10 - Cánh diều
- Giải sgk Tin học 10 - Cánh diều
- Giải sgk Công nghệ 10 - Cánh diều
- Giải sgk Hoạt động trải nghiệm 10 - Cánh diều
- Giải sgk Giáo dục quốc phòng 10 - Cánh diều


Giải bài tập SGK & SBT
Tài liệu giáo viên
Sách
Khóa học
Thi online
Hỏi đáp

