Trắc nghiệm tổng hợp Hạt nhân nguyên tử (có lời giải - phần 2)
Bài tập trắc nghiệm tổng hợp Hạt nhân nguyên tử lớp 12 có lời giải chi tiết với bài tập đa dạng sẽ giúp học sinh ôn luyện trắc nghiệm Vật Lí 12.
Trắc nghiệm tổng hợp Hạt nhân nguyên tử (có lời giải - phần 2)
(199k) Học Vật Lí 12 KNTTHọc Vật Lí 12 CDHọc Vật Lí 12 CTST
Bài 16: Đồng vị
phóng xạ β-. Một mẫu phóng xạ
ban đầu trong thời gian 5 phút có 190 nguyên tử bị phân rã nhưng sau 3 giờ trong thời gian 1 phút có 17 nguyên tử bị phân rã. Xác định chu kì bán rã của chất đó.
A. 2,5 h. B. 2,6 h.
C. 2,7 h. D. 2,8 h.
- Ta có:
- Với t = 3h:
Chọn đáp án B
Bài 17: Chất phóng xạ
phát ra tia α và biến đổi thành
Cho chu kì của
là 138 ngày. Ban đầu (t = 0) có một mẫu pôlôni nguyên chất. Tại thời điểm t1, tỉ số giữa số hạt nhân Pôlôni và số hạt nhân Chì trong mẫu là 1/3. Tại thời điểm t2 = t1 + 276 ngày, tỉ số giữa số hạt nhân Pôlôni và số hạt nhân Chì trong mẫu là:
A. 1/9 B. 1/16
C. 1/15 D. 1/25
- Tại thời điểm t1:
- Tại thời điểm t2 = t1 + 276= 2T + 2T = 4T.
→ Số hạt nhân Po còn lại:
Chọn đáp án C
Bài 18: Giả sử ban đầu có một mẫu phóng xạ X nguyên chất, có chu kỳ bán rã T và biến thành hạt nhân bền Y. Tại thời điểm t1 tỉ lệ giữa hạt nhân Y và hạt nhân X là k. Tại thời điểm t2 = t1 + 2T thì tỉ lệ đó là:
A. k + 4. B. 4k/3.
C. 4k. D. 4k+3.
- Áp dụng công thức ĐL phóng xạ ta có:
- Ta có:
- Thay (1), (3) vào (2) ta được tỉ lệ cần tìm:
Chọn đáp án D
Bài 19: Có hai mẫu chất phóng xạ A và B thuộc cùng một chất có chu kỳ bán rã T = 138,2 ngày và có khối lượng ban đầu như nhau. Tại thời điểm quan sát, tỉ số số hạt nhân hai mẫu chất NB/NA = 2,72. Tuổi của mẫu A nhiều hơn mẫu B là:
A. 199,8 ngày B. 199,5 ngày
C. 190,4 ngày D. 189,8 ngày
- Ta có:
Chọn đáp án B
Bài 20: Đồng vị phóng xạ Na24 phát ra phóng xạ β- với chu kì bán rã T và hạt nhân con là Mg24. Tại thời điểm ban đầu tỉ số khối lượng Mg24 và Na24 là 1/4. Sau thời gian 2T thì tỉ số đó là:
A. 1. B. 2.
C. 3. D. 4.
- Phương trình phóng xạ:
- Vì số khối của Na và Mg bằng nhau nên sau mỗi phản ứng khối lượng Mg24 được tạo thành đúng bằng khối lượng Na24 bị phân rã.
- Gọi m0 là khối lượng ban đầu của Na24. Khối lượng Mg24 lúc đầu: m1 = m0/4
- Sau t = 2T: Khối lượng Na24 còn lại là: m = m0/22 = m0/4
- Khối lượng Mg24 được tạo thành: m2 = Δm = m0 – m = 3m0/4
- Lúc đó khối lượng Mg24 trong hỗn hợp là: m’ = m1 + m2 = m0
→ Do đó tỉ số: m’/m = 4.
Chọn đáp án D
Bài 21: Người ta đo một lượng nhỏ dung dịch chứa đồng vị phóng xạ 15O chu kì bán rã 120 s, có độ phóng xạ 1,5 mCi vào một bình nước rồi khuấy đều. Sau 1 phút, người ta lấy ra 5mm3 nước trong bình đó thì đo được độ phóng xạ là 1560 phân rã/phút. Thể tích nước trong bình đó xấp xỉ bằng:
A. 7,5 lít. B. 2,6 lít.
C. 5,3 lít. D. 6,2 lít.
- Đổi:
1,5.10-3Ci = 1,5.10-3.3,7.1010 = 55,5.106 Bq,
5mm3 = 5.10-6lít.
- Áp dụng công thức:
Chọn đáp án A
Bài 22: Để đo chu kì bán rã của 1 chất phóng xạ β- người ta dùng máy đếm electron. Kể từ thời điểm t = 0 đến t1 = 2 giờ máy đếm ghi dc n1 phân rã/giây. Đến thời điểm t2 = 6 giờ máy đếm được N2 phân rã/giây. Với n2 = 2,3n1. Tìm chu kì bán rã.
A. 3,31 giờ. B. 4,71 giờ
C. 14,92 giờ D. 3,95 giờ
- Ta có:
- Thay t2 = 6 giờ = 3t1:
- Giải phương trình ta lấy nghiệm dương
⇒ x = 0,745. Suy ra T = 4,71 giờ.
Chọn đáp án B
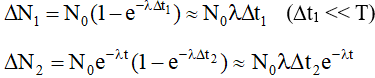
Bài 23: Một bệnh nhân điều trị bằng đồng vị phóng xạ, dùng tia γ để diệt tế bào bệnh. Thời gian chiếu xạ lần đầu là Δt = 30 phút, cứ sau 1 tháng thì bệnh nhân phải tới bệnh viện khám bệnh và tiếp tục chiếu xạ. Biết đồng vị phóng xạ đó có chu kỳ bán rã T = 4 tháng (coi Δt >>T) và vẫn dùng nguồn phóng xạ trong lần đầu.
- Hỏi lần chiếu xạ thứ 3 phải tiến hành trong bao lâu để bệnh nhân được chiếu xạ với cùng một lượng tia γ như lần đầu?
A. 40 phút. B. 20phút
C. 28,2phút. D. 42,42phút
- Lượng tia γ phóng xạ lần đầu:
(áp dụng công thức gần đúng: Khi x << 1 thì 1-e-x ≈ x, ở đây coi Δt >> T nên 1 - e-λΔt = λΔt)
- Sau thời gian 2 tháng, một nửa chu kì t = T/2, Lượng phóng xạ trong nguồn phóng xạ sử dụng lần đầu còn:
- Thời gian chiếu xạ lần này Δt’:
- Vì bệnh nhân được chiếu xạ với cùng một lượng tia γ như lần đầu nên ΔN' = ΔN. Do đó:
Chọn đáp án D
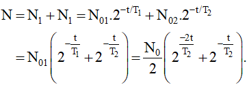
Bài 24: Một hỗn hợp gồm hai chất phóng xạ X và Y ban đầu số hạt phóng xạ của hai chất là như nhau. Biết chu kì phóng xạ của hai chất lần lượt là T1 và T2 với T2 = 2T1. Sau thời gian bao lâu thì hỗn hợp trên còn lại một phần hai số hạt ban đầu?
A. 1,5T2 B. 2T2
C. 3T2 D. 0,69T2
- Ta có: T2 = 2T1
- Sau thời gian t số hạt nhân của X và Y còn lại:
- Với N0 là số hạt nhân ban đầu của hỗn hợp. Số hạt nhân còn lại của hỗn hợp:
- Gọi T là khoảng thời số hạt nhân của hỗn hợp giảm đi một nửa:
⇒ Phương trình (*) có nghiệm:
- Loại nghiệm âm ta lấy:
Chọn đáp án D
Bài 25: Có hai mẫu chất phóng xạ A và B thuộc cùng một chất có chu kỳ bán rã T = 138,2 ngày và có khối lượng ban đầu như nhau. Tại thời điểm quan sát, tỉ số số hạt nhân hai mẫu chất NB/NA = 2,72. Tuổi của mẫu A nhiều hơn mẫu B là:
A. 199,8 ngày B. 199,5 ngày
C. 190,4 ngày D. 189,8 ngày
- Ta có:
Chọn đáp án A
Bài 26: Một mẫu đồng vị rađôn (222Rn) có chu kì bán rã là 3,8 ngày và có khối lượng ban đầu là m0. Sau 19 ngày, khối lượng chất này có độ phóng xạ 0,5 Ci. Khối lượng m0 là:
A. 103 μg. B. 0,31mg.
C. 0,13μg. D.1,3 mg.
Chọn đáp án A
Bài 27: Lúc đầu, tỉ số khối lượng của chất phóng xạ A đối với B là 3 : 1. Nếu chu kì bán rã của chúng tương ứng là T và 4T/3 thì sau thời gian bằng 4T tỉ số khối lượng của A đối với B là:
- Ban đầu: m0A = 3. m0B
- Sau thời gian t = 4T ta có:
Chọn đáp án C
Bài 28: Cho
là chất phóng xạ Α và có chu kì bán rã 1620 năm. Tính thể tích lượng khí heli ở điều kiện chuẩn được phát ra trong một năm từ 5mg rađi.
A. 2,16.10-7 lít. B. 2,76.10-7 lít.
C. 2,86.10-6 lít. D. 2,86.10-8 lít.
- Vì t = 1 năm << T nên số hạt phát ra trong 1 năm là:
- Thể tích khí là:
Chọn đáp án A
Bài 29: Một khối chất phóng xạ. Trong t1 giờ đầu tiên phóng ra n1 tia phóng xạ trong t2 = 2t1 giờ tiếp theo phóng ra n2 tia phóng xạ.
- Biết
Chu kỳ bán rã là:
A. T = t1/6 B. T = t1/2
C. T = t1/4 D. T = t1/3
- Ta có:
- Do đó ta có phương trình:
Chọn đáp án D
Bài 30: Người ta dùng máy để đếm số hạt nhân bị phân rã của một nguồn phóng xạ trong các khoảng thời gian liên tiếp bằng nhau Δt. Tỉ số hạt mà máy đếm được trong khoảng thời gian này là:
A. giảm theo cấp số cộng.
B. Giảm theo hàm số mũ.
C. Giảm theo cấp số nhân.
D. hằng số.
- Giả sử tại thời điểm t số hạt nhân nguyên tử của chất phóng xạ:
- Tại thời điểm t1 = t + Δt:
- Tại thời điểm t2 = t1 + Δt:
- Từ (I) và (II) ta suy ra:
Chọn đáp án D
(199k) Học Vật Lí 12 KNTTHọc Vật Lí 12 CDHọc Vật Lí 12 CTST
Xem thêm Bài tập trắc nghiệm Vật Lí 12 có đáp án hay khác:
- Trắc nghiệm Dao động điều hòa (có lời giải)
- Trắc nghiệm Dao động điều hòa (có đáp án - phần 2)
- Trắc nghiệm Con lắc lò xo (có lời giải)
- Trắc nghiệm Con lắc lò xo (có đáp án - phần 2)
- Trắc nghiệm Con lắc đơn (có lời giải)
Đã có app VietJack trên điện thoại, giải bài tập SGK, SBT Soạn văn, Văn mẫu, Thi online, Bài giảng....miễn phí. Tải ngay ứng dụng trên Android và iOS.
Theo dõi chúng tôi miễn phí trên mạng xã hội facebook và youtube:Nếu thấy hay, hãy động viên và chia sẻ nhé! Các bình luận không phù hợp với nội quy bình luận trang web sẽ bị cấm bình luận vĩnh viễn.
- Giải Tiếng Anh 12 Global Success
- Giải sgk Tiếng Anh 12 Smart World
- Giải sgk Tiếng Anh 12 Friends Global
- Lớp 12 Kết nối tri thức
- Soạn văn 12 (hay nhất) - KNTT
- Soạn văn 12 (ngắn nhất) - KNTT
- Giải sgk Toán 12 - KNTT
- Giải sgk Vật Lí 12 - KNTT
- Giải sgk Hóa học 12 - KNTT
- Giải sgk Sinh học 12 - KNTT
- Giải sgk Lịch Sử 12 - KNTT
- Giải sgk Địa Lí 12 - KNTT
- Giải sgk Giáo dục KTPL 12 - KNTT
- Giải sgk Tin học 12 - KNTT
- Giải sgk Công nghệ 12 - KNTT
- Giải sgk Hoạt động trải nghiệm 12 - KNTT
- Giải sgk Giáo dục quốc phòng 12 - KNTT
- Giải sgk Âm nhạc 12 - KNTT
- Giải sgk Mĩ thuật 12 - KNTT
- Lớp 12 Chân trời sáng tạo
- Soạn văn 12 (hay nhất) - CTST
- Soạn văn 12 (ngắn nhất) - CTST
- Giải sgk Toán 12 - CTST
- Giải sgk Vật Lí 12 - CTST
- Giải sgk Hóa học 12 - CTST
- Giải sgk Sinh học 12 - CTST
- Giải sgk Lịch Sử 12 - CTST
- Giải sgk Địa Lí 12 - CTST
- Giải sgk Giáo dục KTPL 12 - CTST
- Giải sgk Tin học 12 - CTST
- Giải sgk Hoạt động trải nghiệm 12 - CTST
- Giải sgk Âm nhạc 12 - CTST
- Lớp 12 Cánh diều
- Soạn văn 12 Cánh diều (hay nhất)
- Soạn văn 12 Cánh diều (ngắn nhất)
- Giải sgk Toán 12 Cánh diều
- Giải sgk Vật Lí 12 - Cánh diều
- Giải sgk Hóa học 12 - Cánh diều
- Giải sgk Sinh học 12 - Cánh diều
- Giải sgk Lịch Sử 12 - Cánh diều
- Giải sgk Địa Lí 12 - Cánh diều
- Giải sgk Giáo dục KTPL 12 - Cánh diều
- Giải sgk Tin học 12 - Cánh diều
- Giải sgk Công nghệ 12 - Cánh diều
- Giải sgk Hoạt động trải nghiệm 12 - Cánh diều
- Giải sgk Giáo dục quốc phòng 12 - Cánh diều
- Giải sgk Âm nhạc 12 - Cánh diều


Giải bài tập SGK & SBT
Tài liệu giáo viên
Sách
Khóa học
Thi online
Hỏi đáp

