Trắc nghiệm Con lắc lò xo (có đáp án - phần 2)
Bài tập trắc nghiệm Con lắc lò xo lớp 12 có lời giải chi tiết với bài tập đa dạng sẽ giúp học sinh ôn luyện trắc nghiệm Vật Lí 12.
Trắc nghiệm Con lắc lò xo (có đáp án - phần 2)
(199k) Học Vật Lí 12 KNTTHọc Vật Lí 12 CDHọc Vật Lí 12 CTST
Bài 16: Một con lắc lò xo dao động điều hòa theo phương thẳng đứng với tần số góc ω = 20 rad/s tại vị trí có gia tốc trọng trường g = 10 m/s2. Khi qua vị trí x = 2 cm, vật có vận tốc v = 40√3 cm/s. Lực đàn hồi cực tiểu của lò xo trong quá trình dao động có độ lớn:
A. 0,2 N. B. 0,1 N.
C. 0 N. D. 0,4 N.
- Biên độ dao động của con lắc:
- Độ giãn của lò xo ở vị trí cân bằng:
Chọn đáp án C
Bài 17: Một con lắc lò xo nằm ngang gồm vật M có khối lượng 400 g đang dao động điều hòa xung quanh vị trí cân bằng với biên độ 5cm. Khi M qua vị trí cân bằng người ta thả nhẹ vật m có khối lượng 100g lên M (m dính chặt ngay vào M), sau đó hệ m và M dao động với biên độ:
- Áp dụng định luật bảo toàn động lượng, ta có:
(với v và v’ là vận tốc cực đại của hệ lúc đầu và lúc sau)
- Ban đầu, cơ năng của hệ:
- Lúc sau, cơ năng của hệ:
- Lập tỉ số (2) và (1) ta thu được kết quả:
Chọn đáp án A
Bài 18: Một con lắc lò xo, quả nặng có khối lượng 200g dao động điều hòa với chu kì 0,8s. Để chu kì của con lắc là 1 s thì cần:
A. gắn thêm một quả nặng 112,5g.
B. gắn thêm một quả nặng có khối lượng 50g
C. Thay bằng một quả nặng có khối lượng 160g.
D. Thay bằng một quả nặng có khối lượng 128g
- Khối lượng cần treo thêm:
Chọn đáp án A
Bài 19: Một con lắc lò xo gồm lò xo có độ cứng k = 10 N/m và vật nặng có khối lượng m = 100 g. Dao động theo phương ngang với biên độ A = 2 cm. Trong mỗi chu kì dao động, khoảng thời gian ngắn nhất mà vật nặng ở những vị trí có khoảng cách với vị trí cấn bằng không nhỏ hơn 1 cm là:
A. 0,418 s. B. 0,209 s.
C. 0,314 s. D. 0,242 s.
- Chu kì dao động của vật:
- Khoảng thời gian trong mỗi chu kì vật nặng ở những vị trí có khoảng cách với vị trí cân bằng không nhỏ hơn 1cm là:
Chọn đáp án A
Bài 20: Một con lắc lò xo thẳng đứng và một con lắc đơn được tích điện q, cùng khối lượng m. Khi không có điện trường chúng dao động điều hòa với chu kỳ T1 = T2. Khi đặt cả hai con lắc trong cùng một điện trường đều có vectơ cường độ điện trường E nằm ngang thì độ dãn của con lắc lò xo tăng 1,44 lần, con lắc đơn dao động với chu kỳ 5/6s. Chu kỳ dao dộng của con lắc lò xo trong điện trường đều là:
A. 1,44 s B. 1 s
C. 1,2 s D. 5/6 s
- Chu kì dao động của con lắc:
- Khi đặt trong điện trường thì không thay đổi khối lượng và độ cứng của lò xo. Nên chu kì dao động của lò xo trong điện trường:
- Ta có:
Chọn đáp án B
Bài 21: Một con lắc lò xo gồm một lò xo khối lượng không đáng kể, một đầu cố định và một đầu gắn với viên bi nhỏ, dao động điều hòa theo phương ngang. Lực đàn hồi của lò xo tác dụng lên viên bi luôn hướng:
A. theo chiều chuyển động của viên bi.
B. về vị trí cân bằng của viên bi.
C. theo chiều dương qui ước.
D. theo chiều âm qui ước.
- Đối với con lắc lò xo nằm ngang, lực đàn hồi đóng vai trò là lực hồi phục.
- Lực hồi phục luôn hướng về VTCB
⇒ Lực đàn hồi luôn hướng về VTCB.
Chọn đáp án B
Bài 22: Con lắc lò xo gồm vật có khối lượng m, lò xo có độ cứng k được kích thích dao động với biên độ A. Khi đi qua vị trí cân bằng tốc độ của vật là v0. Khi tốc độ của vật là v0/3 thì nó ở li độ:
- Vận tốc cực đại của vật:
- Áp dụng công thức độc lập ta có:
Chọn đáp án A
Bài 23: Một con lắc lò xo gồm lò xo có chiều dài tự nhiên l0 = 30 cm. Kích thích cho con lắc dao động điều hòa theo phương nằm ngang thì chiều dài cực đại của lò xo là 38 cm. Khoảng cách ngắn nhất giữa hai thời điểm động năng bằng n lần thế năng và thế năng bằng n lần động năng là 4 cm. Giá trị lớn nhất của n gần với giá trị nào nhất sau đây?
A. 8. B. 3.
C. 5. D. 12.
- Biên độ dao động:
- Theo đề bài ta có:
Chọn đáp án C
Bài 24: Một con lắc lò xo nằm ngang gồm một hòn bi có khối lượng m và lò xo nhẹ có độ cứng k = 45 N/m. Kích thích cho vật dao động điều hòa với biên độ 2 cm thì gia tốc cực đại của vật khi dao động bằng 18 m/s2. Bỏ qua mọi lực cản. Khối lượng m bằng
A. 0,45 kg. B. 0,25 kg.
C. 75 g. ; D. 50 g.
- Từ công thức tính gia tốc cực đại của vật:
- Thay số vào ta có:
Chọn đáp án D
Bài 25: Một con lắc lò xo dao động trên mặt sàn nằm ngang gồm một lò xo nhẹ có độ cứng k = 10 N/m, một đầu gắn cố định, đầu còn lại gắn vào vật khối lượng m = 100g. Hệ số ma sát giữa vật với mặt sàn là µ = 0,1. Ban đầu đưa vật đến vị trí lò xo bị nén một đoạn 7 cm và thả ra. Lấy g = 10 m /s2. Quãng đường vật đi được cho đến khi vật dừng lại là:
A. 32,5 cm. B. 24,5 cm.
C. 24 cm. D. 32 cm.
- Nên nhớ các công thức trong dao động tắt dần:
- Quãng đường vật đi được đến khi dừng hẳn:
- Thay số vào ta được:
Chọn đáp án B
Bài 26: Con lắc lò xo đang dao động điều hòa theo phương thẳng đứng trùng với trục của lò xo, đúng lúc vật đi qua vị trí cân bằng người ta giữ cố định điểm chính giữa của lò xo thì vật:
A. vật không dao động nữa.
B. vật dao động xung quanh vị trí cân bằng mới khác vị trí cân bằng cũ.
C. vật dao động với động năng cực đại tăng.
D. dao động với biên độ giảm.
- Sau khi giữ điểm chính giữa của lò xo , độ cứng tăng gấp 2 lần , cơ năng của vật là :
- Cơ năng E1 cũng là cơ năng E2 để vật dao động ngay sau đó nên :
- Tức là biên độ sau đó giảm √2 lần .
Chọn đáp án D
Bài 27: Con lắc lò xo dao động điều hòa trên phương nằm ngang, cứ mỗi giây thực hiện được 4 dao động toàn phần. Khối lượng vật nặng của con lắc là m = 250 g (lấy π2 = 10). Động năng cực đại của vật là 0,288 J. Quỹ đạo dao động của vật là một đoạn thẳng dài:
A. 10 cm. B. 5 cm.
C. 6 cm. D. 12 cm.
- Động năng cực đại của vật :
- Qũy đạo dao động của vật là :
Chọn đáp án D
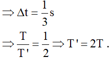
Bài 28: Con lắc lò xo có chu kì riêng T. Nếu tăng khối lượng của quả cầu lên gấp 4 lần còn lò xo vẫn giữ nguyên như cũ thì chu kì riêng của con lắc sẽ là:
A. 4T. B. 2T.
C. 0,25T. D. 0,5T.
- Ta có :
Chọn đáp án B
Bài 29: Một con lắc lò xo dao động không ma sát trên trục nằm ngang trùng với trục của lò xo gồm, vật nặng có khối lượng m = 50 g, tích điện q = + 20 µC và lò xo có độ cứng k = 20 N/m. Vật đang ở VTCB người ta tác dụng một điện trường đều xung quanh con lắc có phương trùng với trục của lò xo có cường độ E = 105 (V/m) trong thời gian rất nhỏ 0,01 s. Tính biên độ dao động.
Chọn đáp án A
Bài 30: Lò xo của một con lắc lò xo thẳng đứng bị giãn 4 cm khi vật nặng ở vị trí cân bằng. Lấy g = 10 m/s2, π2 = 10. Chu kì dao động của con lắc là:
A. 0,4 s. B. 4 s.
C. 10 s. D. 100 s.
- Chu kì dao động của con lắc:
Chọn đáp án A
(199k) Học Vật Lí 12 KNTTHọc Vật Lí 12 CDHọc Vật Lí 12 CTST
Xem thêm Bài tập trắc nghiệm Vật Lí 12 có đáp án hay khác:
- Trắc nghiệm Con lắc đơn (có lời giải)
- Trắc nghiệm Con lắc đơn (có đáp án - phần 2)
- Trắc nghiệm Dao động tắt dần - Dao động cưỡng bức (có lời giải)
- Trắc nghiệm Dao động tắt dần - Dao động cưỡng bức (có đáp án - phần 2)
- Trắc nghiệm Tổng hợp hai dao động điều hòa cùng phương, cùng tần số - Phương pháp giản đồ Fre-nen (phần 1)
Đã có app VietJack trên điện thoại, giải bài tập SGK, SBT Soạn văn, Văn mẫu, Thi online, Bài giảng....miễn phí. Tải ngay ứng dụng trên Android và iOS.
Theo dõi chúng tôi miễn phí trên mạng xã hội facebook và youtube:Nếu thấy hay, hãy động viên và chia sẻ nhé! Các bình luận không phù hợp với nội quy bình luận trang web sẽ bị cấm bình luận vĩnh viễn.
- Giải Tiếng Anh 12 Global Success
- Giải sgk Tiếng Anh 12 Smart World
- Giải sgk Tiếng Anh 12 Friends Global
- Lớp 12 Kết nối tri thức
- Soạn văn 12 (hay nhất) - KNTT
- Soạn văn 12 (ngắn nhất) - KNTT
- Giải sgk Toán 12 - KNTT
- Giải sgk Vật Lí 12 - KNTT
- Giải sgk Hóa học 12 - KNTT
- Giải sgk Sinh học 12 - KNTT
- Giải sgk Lịch Sử 12 - KNTT
- Giải sgk Địa Lí 12 - KNTT
- Giải sgk Giáo dục KTPL 12 - KNTT
- Giải sgk Tin học 12 - KNTT
- Giải sgk Công nghệ 12 - KNTT
- Giải sgk Hoạt động trải nghiệm 12 - KNTT
- Giải sgk Giáo dục quốc phòng 12 - KNTT
- Giải sgk Âm nhạc 12 - KNTT
- Giải sgk Mĩ thuật 12 - KNTT
- Lớp 12 Chân trời sáng tạo
- Soạn văn 12 (hay nhất) - CTST
- Soạn văn 12 (ngắn nhất) - CTST
- Giải sgk Toán 12 - CTST
- Giải sgk Vật Lí 12 - CTST
- Giải sgk Hóa học 12 - CTST
- Giải sgk Sinh học 12 - CTST
- Giải sgk Lịch Sử 12 - CTST
- Giải sgk Địa Lí 12 - CTST
- Giải sgk Giáo dục KTPL 12 - CTST
- Giải sgk Tin học 12 - CTST
- Giải sgk Hoạt động trải nghiệm 12 - CTST
- Giải sgk Âm nhạc 12 - CTST
- Lớp 12 Cánh diều
- Soạn văn 12 Cánh diều (hay nhất)
- Soạn văn 12 Cánh diều (ngắn nhất)
- Giải sgk Toán 12 Cánh diều
- Giải sgk Vật Lí 12 - Cánh diều
- Giải sgk Hóa học 12 - Cánh diều
- Giải sgk Sinh học 12 - Cánh diều
- Giải sgk Lịch Sử 12 - Cánh diều
- Giải sgk Địa Lí 12 - Cánh diều
- Giải sgk Giáo dục KTPL 12 - Cánh diều
- Giải sgk Tin học 12 - Cánh diều
- Giải sgk Công nghệ 12 - Cánh diều
- Giải sgk Hoạt động trải nghiệm 12 - Cánh diều
- Giải sgk Giáo dục quốc phòng 12 - Cánh diều
- Giải sgk Âm nhạc 12 - Cánh diều


Giải bài tập SGK & SBT
Tài liệu giáo viên
Sách
Khóa học
Thi online
Hỏi đáp

