Trắc nghiệm Tổng hợp hai dao động điều hòa cùng phương, cùng tần số - Phương pháp giản đồ Fre-nen
Bài tập trắc nghiệm Tổng hợp hai dao động điều hòa cùng phương, cùng tần số - Phương pháp giản đồ Fre-nen lớp 12 có lời giải chi tiết với bài tập đa dạng sẽ giúp học sinh ôn luyện trắc nghiệm Vật Lí 12.
Trắc nghiệm Tổng hợp hai dao động điều hòa cùng phương, cùng tần số - Phương pháp giản đồ Fre-nen
(199k) Học Vật Lí 12 KNTTHọc Vật Lí 12 CDHọc Vật Lí 12 CTST
Bài 1: Chuyển động của một vật là hai dao động điều hòa cùng phương. Hai dao động này có phương trình lần lượt là x1 = 4cos(10t - π/6) (cm) và x2 = A2cos(10t - π/6) (cm). Độ lớn của vận tốc ở vị trí cân bằng là 60 cm/s. Giá trị của A2 bằng:
A. 4 cm. B. 6 cm.
C. 2 cm. D. 8 cm.
- Tại vị trí cân bằng vật đạt vận tốc có giá trị cực đại nên:
- Hai dao động cùng pha thì biên độ của dao động tổng hợp là:
Chọn đáp án C
Bài 2: Dao động của một chất điểm là tổng hợp của hai dao động điều hòa cùng phương, có phương trình li độ lần lượt là x1 = 3cos(2πt/3 - π/2) (cm) và x2 = 3√3cos(2πt/3) (cm) (x1 và x2 tính bằng cm, t tính bằng s). Tại các thời điểm x1 = x2 li độ dao động tổng hợp là:
A. ± 7,59 cm. B. ± 5,19 cm.
C. ± 6 cm. D. ± 3 cm.
- Phương trình dao động tổng hợp:
- Tại thời điểm x1 = x2:
- Ta có:
Chọn đáp án B
Bài 3: Dao động của một vật là tổng hợp của hai dao động điều hòa cùng phương, có phương trình lần lượt là x1 = 4cos(√3t/2 + π/3) (cm) và x2 = 5cos(√3t/2 + 2π/3) (cm) (x1; x2 tính bằng , t tính bằng ). Gia tốc của vật có độ lớn cực đại là:
- Dao động tổng hợp của vật có phương trình là:
- Vậy gia tốc cực đại của vật có độ lớn là:
Chọn đáp án C
Bài 4: Một vật thực hiện đồng thời 2 dao động điều hoà cùng phương, li độ x1 và x2 phụ thuộc thời gian như hình vẽ. Phương trình dao động tổng hợp là:
A. x = 2cos(ωt – π/3) cm.
B. x = 2cos(ωt + 2π/3) cm.
C. x = 2cos(ωt + 5π/6) cm.
D. x = 2cos(ωt – π/6) cm.
- Từ đồ thị ta viết được phương trình của x1 và x2 là:
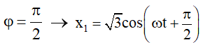
* Phương trình của x1: biên độ A1 = √3 cm, tại thời điểm t = 0 thì x1 = 0 và đang xuống phía âm nên:
* Phương trình của x2: biên độ A2 = 1 cm, tại t = 0 thì:
- Sử dụng máy tính để tổng hợp 2 dao động trên:
Chọn đáp án B
Bài 5: Một vật có khối lượng không đổi thực hiện đồng thời hai dao động điều hòa có phương trình lần lượt là x1 = 10cos(2πt + φ) cm; x2 = A2cos(2πt − π/2) cm thì dao động tổng hợp là x = Acos(2πt − π/3) cm. Khi biên độ dao động của vật bằng nửa giá trị cực đại thì biên độ dao động A2 có giá trị là:
- Từ hình vẽ, áp dụng định lý hàm cos trong tam giác ta có:
- Phương trình trên luôn có nghiệm nên:
- Với:
thay vào phương trình trên ta được:
Chọn đáp án A
Bài 6: Một chất điểm tham gia đồng thời hai dao động điều hòa trên cùng một trục Ox có phương trình: x1 = 2√3sinωt cm, x2 = A2cos(ωt + φ2) cm. Phương trình dao động tổng hợp x = 2cos(ωt + φ) cm. Biết φ2 – φ = π/3. Cặp giá trị nào của A2 và φ2 sau đây là đúng?
- Ta có:
- Dựa vào các dữ kiện ta vẽ được giản đồ vecto như hình sau:
- Áp dụng định lý hàm sin ta được:
- Sử dụng máy tính để thử các đáp án thì đáp án A là thỏa mãn phương trình trên.
Chọn đáp án A
Bài 7: Tổng hợp hai dao động điều hoà cùng phương, cùng tần số, cùng biên độ a là một dao động có biên độ cũng bằng a thì 2 dao động thành phần có độ lệch pha là:
A. π/2 B. π/4
C. π/3 D. 2π/3
- Ta có:
Chọn đáp án D
Bài 8: Một chất điểm thực hiện đồng thời hai dao động điều hòa cùng phương cùng chu kì T mà đồ thị x1 và x2 phụ thuộc thời gian biểu diễn trên hình vẽ.
Biết x2 = v1T, tốc độ cực đại của chất điểm là 53,4 cm/s. Giá trị T gần giá trị nào nhất sau đây?
A. 2,56 s. B. 2,99 s.
C. 2,75 s. D. 2,64 s.
- Ta có:
- Từ phương trình x1 và x2 ta thấy 2 dao động vuông pha với nhau nên:
Chọn đáp án B
Bài 9: Hai dao động điều hoà: x1 = A1cos(ωt + φ1) và x2 = A2cos(ωt + φ2). Biên độ dao động tổng hợp của chúng đạt cực đại khi:
A. φ2 – φ1 = (2k + 1)π.
B. φ2 – φ1 = 2kπ.
C. φ2 – φ1 = (2k + 1)π/2.
D. φ2 – φ1 = π/4.
Dao động tổng hợp đạt cực đại khi:
Chọn đáp án B
Bài 10: Tổng hợp hai dao động điều hoà cùng phương, cùng tần số, cùng biên độ a là một dao động có biên độ a√2 thì 2 dao động thành phần có độ lệch pha là:
A. π/2 B. π/4
C. 0. D. π
- Ta có:
Chọn đáp án A
Bài 11: Một vật tham gia đồng thời 2 dao động điều hoà cùng phương cùng tần số x1 = 5cos(4t + φ1) cm, x2 = 3cos(4t + φ2) cm. Biên độ dao động tổng hợp thoả mãn:
A. 2 cm ≤ A≤ 4 cm. B. 5 cm ≤ A≤ 8 cm.
C. 3 cm ≤ A≤ 5 cm. D. 2 cm ≤ A≤ 8 cm.
- Ta có:
Chọn đáp án D
Bài 12: Hai dao động điều hòa cùng phương, cùng tần số có biên độ lần lượt là A1 = 8 cm; A2 = 15 cm và lệch pha nhau π/2. Dao động tổng hợp của hai dao động này có biên độ bằng:
A. 23 cm. B. 7 cm.
C. 11 cm. D. 17 cm.
- Ta có:
Chọn đáp án D
Bài 13: Hai dao động điều hòa cùng phương cùng tần số có biên độ đều bằng 6 cm và có pha ban đầu lần lượt là - π/6 và - π/2. Dao động tổng hợp của hai dao động này có biên độ là:
- Áp dụng công thức tính biên độ của dao động tổng hợp các dao động thành phần :
Chọn đáp án A
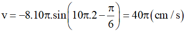
Bài 14: Một vật thực hiện đồng thời hai dao động điều hòa cùng phương x1 = 4√3cos10πt (cm) và i, t đo bằng giây. Vận tốc của vật tại thời điểm t = 2s là:
A. 20π (cm/s) B. 40π (cm/s)
C. 10π (cm/s) D. 40π (cm/s)
- Dao động tổng hợp của vật đó là:
- Vận tốc của vật ở thời điểm là:
Chọn đáp án B
Bài 15: Một vật thực hiện đồng thời 3 dao động điều hòa cùng phương cùng tần số có phương trình lần lượt là:
x1 = A1cos(ωt + π/2); x2 = A2cosωt; x3 = A3cos(ωt - π/2).
- Tại thời điểm t1 các giá trị li độ: x1 = - 10√3 cm; x2 = 15 cm; x3 = 30√3 cm.
- Tại thời điểm t2 các giá trị li độ: x1 = -20 cm; x2 = 0 cm; x3 = 60 cm.
Tính biên độ dao động tổng hợp?
A. 40 cm B. 50 cm
C. 40√3 cm D. 60 cm
- Nhận thấy x1 và x3 ngược pha nhau và cùng vuông pha với x2 nên khi x2 (min) là x1, x3 (max) tại thời điểm t2 thì x2 = 0 nên:
- Mặt khác x1 vuông pha x2 nên tại thời điểm t1 ta có:
- Biên độ dao đổng tổng hợp:
Chọn đáp án B
(199k) Học Vật Lí 12 KNTTHọc Vật Lí 12 CDHọc Vật Lí 12 CTST
Xem thêm Bài tập trắc nghiệm Vật Lí 12 có đáp án hay khác:
- Trắc nghiệm Tổng hợp hai dao động điều hòa cùng phương, cùng tần số - Phương pháp giản đồ Fre-nen (phần 2)
- Trắc nghiệm tổng hợp Dao động cơ (có lời giải)
- Trắc nghiệm tổng hợp Dao động cơ (có lời giải - phần 2)
- Trắc nghiệm Sóng cơ và sự truyền sóng cơ (có lời giải)
- Trắc nghiệm Sóng cơ và sự truyền sóng cơ (có đáp án - phần 2)
Đã có app VietJack trên điện thoại, giải bài tập SGK, SBT Soạn văn, Văn mẫu, Thi online, Bài giảng....miễn phí. Tải ngay ứng dụng trên Android và iOS.
Theo dõi chúng tôi miễn phí trên mạng xã hội facebook và youtube:Nếu thấy hay, hãy động viên và chia sẻ nhé! Các bình luận không phù hợp với nội quy bình luận trang web sẽ bị cấm bình luận vĩnh viễn.
- Giải Tiếng Anh 12 Global Success
- Giải sgk Tiếng Anh 12 Smart World
- Giải sgk Tiếng Anh 12 Friends Global
- Lớp 12 Kết nối tri thức
- Soạn văn 12 (hay nhất) - KNTT
- Soạn văn 12 (ngắn nhất) - KNTT
- Giải sgk Toán 12 - KNTT
- Giải sgk Vật Lí 12 - KNTT
- Giải sgk Hóa học 12 - KNTT
- Giải sgk Sinh học 12 - KNTT
- Giải sgk Lịch Sử 12 - KNTT
- Giải sgk Địa Lí 12 - KNTT
- Giải sgk Giáo dục KTPL 12 - KNTT
- Giải sgk Tin học 12 - KNTT
- Giải sgk Công nghệ 12 - KNTT
- Giải sgk Hoạt động trải nghiệm 12 - KNTT
- Giải sgk Giáo dục quốc phòng 12 - KNTT
- Giải sgk Âm nhạc 12 - KNTT
- Giải sgk Mĩ thuật 12 - KNTT
- Lớp 12 Chân trời sáng tạo
- Soạn văn 12 (hay nhất) - CTST
- Soạn văn 12 (ngắn nhất) - CTST
- Giải sgk Toán 12 - CTST
- Giải sgk Vật Lí 12 - CTST
- Giải sgk Hóa học 12 - CTST
- Giải sgk Sinh học 12 - CTST
- Giải sgk Lịch Sử 12 - CTST
- Giải sgk Địa Lí 12 - CTST
- Giải sgk Giáo dục KTPL 12 - CTST
- Giải sgk Tin học 12 - CTST
- Giải sgk Hoạt động trải nghiệm 12 - CTST
- Giải sgk Âm nhạc 12 - CTST
- Lớp 12 Cánh diều
- Soạn văn 12 Cánh diều (hay nhất)
- Soạn văn 12 Cánh diều (ngắn nhất)
- Giải sgk Toán 12 Cánh diều
- Giải sgk Vật Lí 12 - Cánh diều
- Giải sgk Hóa học 12 - Cánh diều
- Giải sgk Sinh học 12 - Cánh diều
- Giải sgk Lịch Sử 12 - Cánh diều
- Giải sgk Địa Lí 12 - Cánh diều
- Giải sgk Giáo dục KTPL 12 - Cánh diều
- Giải sgk Tin học 12 - Cánh diều
- Giải sgk Công nghệ 12 - Cánh diều
- Giải sgk Hoạt động trải nghiệm 12 - Cánh diều
- Giải sgk Giáo dục quốc phòng 12 - Cánh diều
- Giải sgk Âm nhạc 12 - Cánh diều


Giải bài tập SGK & SBT
Tài liệu giáo viên
Sách
Khóa học
Thi online
Hỏi đáp

