Trắc nghiệm Tổng hợp hai dao động điều hòa cùng phương, cùng tần số - Phương pháp giản đồ Fre-nen (phần 2)
Bài tập trắc nghiệm Tổng hợp hai dao động điều hòa cùng phương, cùng tần số - Phương pháp giản đồ Fre-nen lớp 12 có lời giải chi tiết với bài tập đa dạng sẽ giúp học sinh ôn luyện trắc nghiệm Vật Lí 12.
Trắc nghiệm Tổng hợp hai dao động điều hòa cùng phương, cùng tần số - Phương pháp giản đồ Fre-nen (phần 2)
(199k) Học Vật Lí 12 KNTTHọc Vật Lí 12 CDHọc Vật Lí 12 CTST
Bài 16: Dao động của một vật có khối lượng 200 g là tổng hợp của hai dao động điều hòa cùng phương D1 và D2. Hình bên là đồ thị biểu diễn sự phụ thuộc của li độ của D1 và D2 theo thời gian. Mốc thế năng tại vị trí cân bằng của vật. Biết cơ năng của vật là 22,2 mJ. Biên độ dao động của D2 có giá trị gần nhất với giá trị nào sau đây?
A. 5,1 cm. B. 5,4 cm.
C. 4,8 cm. D. 5,7 cm.
- Ta có:
- Từ đồ thị ta thấy: A1 = 3 cm.
- Cũng theo đồ thị thì ta thấy cứ một ô ngang theo trục thời gian là 0,1s.
- Quan sát đồ thị ta thấy thời gian dao động D2 đi từ VTCB ra biên mất thời gian là 2 ô nên:
- Gọi Δ1 là thời gian kể từ lúc D1 bắt đầu dao động đến khi lần đầu tiên qua VTCB:
- Gọi Δ2 là thời gian kể từ lúc D2 bắt đầu dao động đến khi lần đầu tiên đến biên âm:
Chọn đáp án A
Bài 17: Một vật tham gia đồng thời hai dao động điều hoà cùng phương có phương trình lần lượt là x1 = 5cos(5πt + φ1) (cm); x2 = 5cos(5πt + φ2) (cm) với 0 ≤ φ1 – φ2 ≤ π. Biết phương trình dao động tổng hợp x = 5cos(5πt + π/6) (cm). Hãy xác định φ1.
A. π/6. B. –π/6.
C. π/2. D. 0.
- Ta có :
- Đối chiếu với :
Chọn đáp án C
Bài 18: Một chất điểm tham gia đồng thời hai dao động điều hòa trên cùng một trục Ox có phương trình: x1 = 4cos(ωt + π/3) cm, x2 = A2cos(ωt + φ2) cm. Phương trình dao động tổng hợp x = 2cos(ωt + φ) cm. Biết φ – φ2 = π/2. Cặp giá trị nào của A2 và φ sau đây là đúng?
A. 3√3 cm và 0. B. 2√3 cm và π/4.
C. 3√3 cm và π/2. D. 2√3 cm và 0.
Chọn đáp án D
Bài 19: Cho hai dao động điều hòa cùng phương có phương trình x1 = 3cos10πt (cm) và x2 = 4cos(10πt + 0,5π) (cm). Dao động tổng hợp của hai dao động này có biên độ là:
A. 1 cm. B. 3 cm.
C. 5 cm. D. 7 cm.
- Phương trình dao động tổng hợp: x = x1 + x2
- Chuyển sang chế độ số phức rồi bấm máy tổng hợp dao động ta được:
=> Biên độ dao động tổng hợp là A = 5 cm
Chọn đáp án C
Bài 20: Một tham gia đồng thời vào hai dao động điều hòa có phương trình x1 = 4√3cos(10πt) cm và x2 = 4sin(10πt) cm. Vận tốc của vật khi t = 2 s là:
A. 123 cm/s. B. 120,5 cm/s.
C. – 123 cm/s. D. 125,7 cm/s.
- Phương trình dao động tổng hợp:
- Vận tốc của vật khi t = 2s là:
Chọn đáp án D
Bài 21: Dao động của một chất điểm là tổng hợp của hai dao động điều hòa cùng phương cùng tần số. Dao động thứ nhất có phương trình li độ x1 = A1cos(ωt + φ1) (cm), dao động thứ hai có phương trình li độ x2 = A2cos(ωt + φ2) (cm). Biết 3x12 + 2x22 = 11. Khi dao động thứ nhất có li độ 1 cm và tốc độ 12 cm/s thì dao động hai có tốc độ bằng:
A. 3 cm/s. B. 4 cm/s.
C. 9 cm/s. D. 12 cm/s.
- Đạo hàm 2 vế ta được:
- Thay vào phương trình (*) ta giải ra được:
Chọn đáp án C
Bài 22: Một vật thực hiện đồng thời ba dao động cùng phương:
x1 = A1cos(ωt + π/2) (cm), x2 = A2cosωt (cm), x3 = A3cos(ωt – π/2) (cm).
- Tại thời điểm t1 các giá trị li độ lần lượt là: -10√3cm; 15 cm; 30√3 cm.
- Tại thời điểm t2 các giá trị li độ là x1(t2) = –20 cm, x2 (t2) = 0.
- Biên độ dao động tổng hợp là:
A. 40 cm. B. 15 cm.
C. 40√3 cm. D. 50 cm.
- Ta nhận thấy x1 và x3 ngược pha nhau và cùng vuông pha với x2 nên khi x2 cực tiểu thì x1; x3 cực đại:
- Mặt khác:
- Biên độ dao động tổng hợp:
Chọn đáp án D
Bài 23: Một chất điểm tham gia đổng thời hai dao động điều hòa trên cùng một trục Ox với các phương trình x1 = 2√3sinωt (cm) và x2 = A2cos(ωt + φ2) (cm). Phương trình dao động tổng hợp là x = 2cos(ωt + φ) (cm). Biết. Cặp giá trị nào của A2 và φ2 là đúng?
- Đổi:
- Tìm thành phần A1, ta có:
- Thay số vào ta có:
- Giải phương trình trên ta được:
- Để tìm φ2 ta đi xác định biên độ tổng hợp A:
- Suy ra:
Chọn đáp án A
Bài 24: Hai dao động điều hòa có phương trình dao động lần lượt là x1 = 5cos(2πt + π/6) (cm) và x2 = 5√3cos(2πt + 2π/3) (cm). Biên độ và pha của dao động tổng hợp là:
- Dùng máy tính bấm nhanh:
- Vậy: A = 10 cm và φ = π/2
Chọn đáp án A
Bài 25: Vật tham gia đồng thời vào 2 dao động điều hoà cùng phương cùng tần số x1 = A1cosωt và x2 = A2cos(ωt - π/2). Với vmax là vận tốc cực đại của vật. Khi hai dao động thành phần x1 = x2 = x0 thì x0 bằng:
- Biên độ của dao động tổng hợp:
- Hai dao động vuông pha nên:
- Gọi vmax là vận tốc cực đại của vật trong quá trình dao động:
Chọn đáp án B
Bài 26: Hai dao động điều hoà: x1 = A1cos(ωt + φ1) và x2 = A2cos(ωt + φ2). Biên độ dao động tổng hợp của chúng đạt cực tiểu khi:
A. φ2 – φ1 = (2k + 1)π.
B. φ2 – φ1 = 2kπ.
C. φ2 – φ1 = (2k + 1)π/2.
D. φ2 – φ1 = π/4.
- Ta có:
Chọn đáp án A
Bài 27: Một chất điểm thực hiện đồng thời hai dao động điều hòa cùng phương cùng tần số có đồ thị li độ phụ thuộc vào thời gian như hình vẽ. Tốc độ cực đại của vật là:
A. 10,96 cm/s. B. 8,47 cm/s.
C. 11,08 cm/s. D. 9,61 cm/s.
- Dựa vào đồ thị ta có thể thấy được chu kì của 2 dao động là: T1 = T2 = 12 s
- Xét với x1 ta thấy:
+ Khi t = 0 thì x1 = 4 cm, khi t = 3 s = T/4 thì :
+ Vì tại t = 0 thì x1 = 4 cm và đang giảm nên :
- Xét với x2 thì ta có:
+ Từ t = 0:
- Từ x = 0 đến x = -4√3 cm vật đi mất t = 1s :
- Tổng hợp (1) và (2) ta được:
Chọn đáp án C
Bài 28: Cho ba dao động điều hòa cùng phương cùng tần số có phương trình lần lượt là x1 = 2acosωt (cm); x2 = A2cos(ωt + φ2) (cm) và x3 = acos(ωt + π) (cm). Gọi x12 = x1 + x2 và x23 = x2 + x3. Biết đồ thị sự phụ thuộc x12 và x23 theo thời gian như hình vẽ. Tính φ2.
A. φ2 = 2π/3. B. φ2 = 5π/6.
C. φ2 = π/3. D. φ2 = π/6.
- Từ đồ thị ta thấy:
- Tại t = 0,5 s thì :
Chọn đáp án C
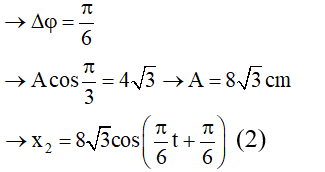
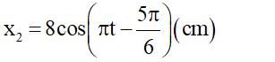
Bài 29: Dao động tổng hợp của hai dao động điều hòa cùng phương, cùng tần số có phương trình li độ x = 3cos(πt - 5π/6) (cm). Biết dao động thứ nhất có phương trình li độ x1 = 5cos(πt + π/6) (cm). Dao động thứ hai có phương trình li độ là:
A. x2 = 8cos(πt + π/6) (cm)
B. x2 = 2cos(πt - 5π/6) (cm)
C. x2 = 8cos(πt - 5π/6) (cm)
D. x2 = 2cos(πt + π/6) (cm)
- Có thể bấm nhanh bằng máy tính:
- Vậy dao động thứ 2 có phương trình li độ:
Chọn đáp án C
(199k) Học Vật Lí 12 KNTTHọc Vật Lí 12 CDHọc Vật Lí 12 CTST
Xem thêm Bài tập trắc nghiệm Vật Lí 12 có đáp án hay khác:
- Trắc nghiệm tổng hợp Dao động cơ (có lời giải)
- Trắc nghiệm tổng hợp Dao động cơ (có lời giải - phần 2)
- Trắc nghiệm Sóng cơ và sự truyền sóng cơ (có lời giải)
- Trắc nghiệm Sóng cơ và sự truyền sóng cơ (có đáp án - phần 2)
- Trắc nghiệm Giao thoa sóng (có lời giải)
Đã có app VietJack trên điện thoại, giải bài tập SGK, SBT Soạn văn, Văn mẫu, Thi online, Bài giảng....miễn phí. Tải ngay ứng dụng trên Android và iOS.
Theo dõi chúng tôi miễn phí trên mạng xã hội facebook và youtube:Nếu thấy hay, hãy động viên và chia sẻ nhé! Các bình luận không phù hợp với nội quy bình luận trang web sẽ bị cấm bình luận vĩnh viễn.
- Giải Tiếng Anh 12 Global Success
- Giải sgk Tiếng Anh 12 Smart World
- Giải sgk Tiếng Anh 12 Friends Global
- Lớp 12 Kết nối tri thức
- Soạn văn 12 (hay nhất) - KNTT
- Soạn văn 12 (ngắn nhất) - KNTT
- Giải sgk Toán 12 - KNTT
- Giải sgk Vật Lí 12 - KNTT
- Giải sgk Hóa học 12 - KNTT
- Giải sgk Sinh học 12 - KNTT
- Giải sgk Lịch Sử 12 - KNTT
- Giải sgk Địa Lí 12 - KNTT
- Giải sgk Giáo dục KTPL 12 - KNTT
- Giải sgk Tin học 12 - KNTT
- Giải sgk Công nghệ 12 - KNTT
- Giải sgk Hoạt động trải nghiệm 12 - KNTT
- Giải sgk Giáo dục quốc phòng 12 - KNTT
- Giải sgk Âm nhạc 12 - KNTT
- Giải sgk Mĩ thuật 12 - KNTT
- Lớp 12 Chân trời sáng tạo
- Soạn văn 12 (hay nhất) - CTST
- Soạn văn 12 (ngắn nhất) - CTST
- Giải sgk Toán 12 - CTST
- Giải sgk Vật Lí 12 - CTST
- Giải sgk Hóa học 12 - CTST
- Giải sgk Sinh học 12 - CTST
- Giải sgk Lịch Sử 12 - CTST
- Giải sgk Địa Lí 12 - CTST
- Giải sgk Giáo dục KTPL 12 - CTST
- Giải sgk Tin học 12 - CTST
- Giải sgk Hoạt động trải nghiệm 12 - CTST
- Giải sgk Âm nhạc 12 - CTST
- Lớp 12 Cánh diều
- Soạn văn 12 Cánh diều (hay nhất)
- Soạn văn 12 Cánh diều (ngắn nhất)
- Giải sgk Toán 12 Cánh diều
- Giải sgk Vật Lí 12 - Cánh diều
- Giải sgk Hóa học 12 - Cánh diều
- Giải sgk Sinh học 12 - Cánh diều
- Giải sgk Lịch Sử 12 - Cánh diều
- Giải sgk Địa Lí 12 - Cánh diều
- Giải sgk Giáo dục KTPL 12 - Cánh diều
- Giải sgk Tin học 12 - Cánh diều
- Giải sgk Công nghệ 12 - Cánh diều
- Giải sgk Hoạt động trải nghiệm 12 - Cánh diều
- Giải sgk Giáo dục quốc phòng 12 - Cánh diều
- Giải sgk Âm nhạc 12 - Cánh diều


Giải bài tập SGK & SBT
Tài liệu giáo viên
Sách
Khóa học
Thi online
Hỏi đáp

