Trắc nghiệm Công suất điện tiêu thụ của mạch điện xoay chiều - Hệ số công suất (có đáp án - phần 2)
Bài tập trắc nghiệm Công suất điện tiêu thụ của mạch điện xoay chiều - Hệ số công suất lớp 12 có lời giải chi tiết với bài tập đa dạng sẽ giúp học sinh ôn luyện trắc nghiệm Vật Lí 12.
Trắc nghiệm Công suất điện tiêu thụ của mạch điện xoay chiều - Hệ số công suất (có đáp án - phần 2)
(199k) Học Vật Lí 12 KNTTHọc Vật Lí 12 CDHọc Vật Lí 12 CTST
Bài 16: Đoạn mạch AM gồm điện trở thuần R và tụ điện mắc vào điện áp xoay chiều u = 200√2 cos(100πt) V thì cường độ dòng điện hiệu dụng qua AM là 1,25 A và dòng điện này lệch pha π/3 so với điện áp trên mạch AM. Mắc nối tiếp mạch AM với đoạn mạch X để tạo thành đoạn mạch AB rồi lại đặt vào hai đầu đoạn mạch điện áp u nói trên thì cường độ dòng điện hiệu dụng qua mạch là 1 A và điện áp hai đầu AM vuông pha với điện áp hai đầu X. Công suất tiêu thụ trên đoạn mạch X là:
- Ta có sơ dồ:
+ Tổng trở của mạch RC:
+ Tổng trở của mạch RCX:
- Vì uRC vuông pha với uX:
- Công suất tiêu thụ trên đoạn mạch X:
Chọn đáp án A
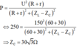
Bài 17: Đặt điện áp u = 150√2 cos100πt (V) vào hai đầu đoạn mạch mắc nối tiếp gồm điện trở thuần 60 Ω, cuộn dây (có điện trở thuần) và tụ điện. Công suất tiêu thụ điện của đoạn mạch bằng 250 W. Nối hai bản tụ điện bằng một dây dẫn có điện trở không đáng kể. Khi đó điện áp hiệu dụng giữa hai đầu điện trở bằng điện áp hiệu dụng giữa hai đầu cuộn dây và bằng 50√3 V. Dung kháng của tụ điện có giá trị bằng:
- Khi nối tắt tụ điện áp hiệu dụng trên điện trở bằng điện áp hiệu dụng trên cuộn dây
- Ta có hình vẽ:
- Từ hình vẽ, ta có:
- Công suất tiêu thụ của mạch khi chưa nối tắt tụ điện:
Chọn đáp án B
Bài 18: Đặt điện áp xoay chiều có giá trị hiệu dụng không đổi, tần số 50 Hz vào hai đầu đoạn mạch mắc nối tiếp gồm điện trở thuần R, cuộn cảm thuần có độ tự cảm L và tụ điện có điện dung C thay đổi được. Điều chỉnh điện dung C đến giá trị 10/(4π) F hoặc 10/(2π) F thì công suất tiêu thụ trên đoạn mạch đều có giá trị bằng nhau. Giá trị của L bằng:
A. 3/π H. B. 2/π H.
C. 1/3π H. D. 1/2π H.
- Ta có: P1 = P2
Chọn đáp án A
Bài 19: Cho mạch điện xoay chiều RLC mắc nối tiếp, đặt vào hai đầu đoạn mạch một điện áp xoay chiều tần số 50 Hz, khi đó thấy các điện áp hiệu dụng trên mỗi phần tử R, L, C lần lượt bằng 30 V, 60 V, 20 V. Điện áp hiệu dụng giữa hai đầu đoạn mạch và hệ số công suất của mạch lần lượt là:
A. 60 V; 0,75. B. 70 V; 0,5.
C. 110 V; 0,8. D. 50 V; 0,6.
- Điện áp hiệu dụng ở hai đầu đoạn mạch:
- Hệ số công suất:
Chọn đáp án D
Bài 20: Cho mạch điện xoay chiều nối tiếp gồm cuộn cảm thuần L, tụ điện C và biến trở R. Điện áp xoay chiều đặt vào hai đầu đoạn mạch có tần số f và giá trị hiệu dụng U không đổi. Điều chỉnh giá trị của biến trở thì nhận thấy khi điện áp hiệu dụng giữa hai đầu biến trở có giá trị 80 V hoặc 150 V thì công suất tiêu thụ của mạch có giá trị bằng nhau và bằng 60 W. Tìm công suất cực đại của mạch.
A. 180,50 W. B. 72,25 W.
C. 90,25 W. D. 144,50 W.
- Ta có:
- Nếu ta chọn : R1 = 1.
Chọn đáp án B
Bài 21: Cho mạch điện như hình vẽ. Đặt vào hai đầu A, B một điện áp xoay chiều có giá trị hiệu dụng U và tần số f không đổi. Điều chỉnh C để tổng điện áp hiệu dụng UAM + UMB lớn nhất thì tổng đó bằng 2U và khi đó công suất tiêu thụ của đoạn mạch AM là 36 W. Tiếp tục điều chỉnh C để công suất tiêu thụ của đoạn mạch lớn nhất thì công suất lớn nhất đó bằng:
A. 32 W. B. 36 W.
C. 25 W. D. 48 W.
- Biểu diễn vecto các điện áp:
- Áp dụng định lý sin trong tam giác, ta có:
⇒ Biến đổi lượng giác:
- Khi đó:
→ Các vecto hợp với nhau thành tam giác đều → khi xảy ra cực đại u chậm pha hơn i một góc 30°.
Chọn đáp án D
Bài 22: Mạch RLC nối tiếp gồm điện trở R, cuộn cảm (L,r) và tụ điện C. Khi hiệu điện thế hai đầu đoạn mạch là u = 65√2 cos(ωt) V thì các điện áp hiệu dụng trên điện trở và cuộn dây đều bằng 13 V còn điện áp trên tụ là 65 V, công suất tiêu thụ trên toàn mạch là 25 W. Hệ số công suất của mạch là:
A. 3/13. B. 5/13.
C. 10/13. D. 12/13.
- Để đơn giản, ta chuẩn hóa:
- Điện áp hiệu dụng hai đầu đoạn mạch:
⇒ Hệ số công suất của mạch:
Chọn đáp án B
Bài 23: Đặt điện áp xoay chiều có giá trị hiệu dụng không đổi, tần số 50 Hz vào hai đầu đoạn mạch mắc nối tiếp gồm điện trở thuần R, cuộn cảm thuần có độ tự cảm L và tụ điện có điện dung C thay đổi được. Điều chỉnh điện dung C đến giá trị 10-4/(4π)F hoặc 10-4/(2π)F thì công suất tiêu thụ trên đoạn mạch đều có giá trị bằng nhau. Giá trị của L bằng:
- Dung kháng của mạch trong hai trường hợp:
- Hai giá trị của ZC cho cùng công suất tiêu thụ trên mạch:
Chọn đáp án B
Bài 24: Đặt điện áp xoay chiều có giá trị hiệu dụng không đổi với hai đầu đoạn mạch gồm biến trở R mắc nối tiếp với tụ điện. Dung kháng của tụ điện là 100 Ω. Khi điều chỉnh R thì tại hai giá trị R1 và R2 công suất tiêu thụ của đoạn mạch như nhau. Biết điện áp hiệu dụng giữa hai đầu tụ điện khi R = R1 bằng hai lần điện áp hiệu dụng giữa hai đầu tụ điện khi R = R2. Các giá trị R1 và R2 là:
A. R1 = 50 Ω, R2 = 100 Ω.
B. R1 = 50 Ω, R2 = 200 Ω.
C. R1 = 25 Ω, R2 = 100 Ω.
D. R1 = 40 Ω, R2 = 250 Ω.
- Hai giá trị của R cho cùng công suất tiêu thụ trên mạch thỏa mãn
- Kết hợp với:
- Từ hai phương trình trên, ta thu được:
Chọn đáp án B
Bài 25: Đặt một điện áp xoay chiều u = U√2 cos(100πt) (U không đổi) vào hai đầu đoạn mạch nối tiếp gồm điện trở R, tụ điện có điện dung C và cuộn cảm có điện trở r = 10√2 Ω , hệ số tự cảm L biến thiên. Đồ thị biểu diễn sự biến thiên của công suất tiêu thụ trên trên toàn mạch theo cảm kháng được cho như hình vẽ. Biết P3/P1 = 3, giá trị của điện trở R là:
- Từ đồ thị ta thấy có hai giá trị của ZL là 60Ω và 140Ω cùng cho 1 giá trị P.
- Vị trí P3 đạt cực đại ứng với trường hợp cộng hưởng điện ZL = ZC
- Và có mối quan hệ giữa ZL3 với ZL1 và ZL2 là:
- Khi ZL = 0 thì mạch có công suất P1 thỏa mãn P3 /P1 = 3. Ta có:
Chọn đáp án A
Bài 26: Cho mạch điện xoay chiều nối tiếp gồm đoạn mạch AM chứa điện trở thuần R mắc với đoạn mạch MN chứa cuộn dây không thuần cảm, có điện trở r = R; độ tự cảm L và đoạn mạch NB chỉ chứa tụ điện C. Giá trị hiệu dụng của điện áp UAB = UNB. Hệ số công suất trên cuộn dây là 0,6. Hệ số công suất của cả mạch bằng:
A. 0,923 B. 0,683
C. 0,752 D. 0,854
- Ta có:
- Do: UAB = UNB = UC
- (1) và (2) suy ra:
Chọn đáp án A
Bài 27: Đặt điện áp xoay chiều có giá trị hiệu dụng không đổi, tần số 50 Hz vào hai đầu đoạn mạch mắc nối tiếp gồm điện trở thuần R, cuộn cảm thuần có độ tự cảm L thay đổi đượ cvà tụ điện điện có điện dung C. Điều chỉnh độ tự cảm L đến giá trị 1/π (H) hoặc 3/π (H) thì công suất tiêu thụ trên đoạn mạch có cùng giá trị. Giá trị củ điện dung C bằng:
- Ta có:
- Vì: L1 ≠ L2.
Chọn đáp án B
Bài 28: Đặt hiệu điện thế xoay chiều u = 120√2 cos(120πt)(V) vào hai đầu đoạn mạch RLC mắc nối tiếp, điện trở R thay đổi được. Thay đổi R thì giá trị công suất cực đại của mạch là P = 300 W. Tiếp tục điều chỉnh R thì thấy hai giá trị của điện trở R1 và R2 mà R1 = 0,5625R2 thì công suất trên đoạn mạch là như nhau. Giá trị của R1 là:
A. 28 Ω. B. 32 Ω.
C. 20 Ω. D. 18 Ω.
- Áp dụng bài toán hai giá trị của R cho cùng một công suất tiêu thụ trên mạch:
Chọn đáp án D
Bài 29: Đặt điện áp u = 120cos(100πt)(V) V vào hai đầu đoạn mạch gồm biến trở R, cuộn cảm và tụ điện mắc nối tiếp. Khi R = 40Ω thì công suất tiêu thụ của mạch đạt giá trị cực đại Pm; khi R = 20√10 Ω thì công suất tiêu thụ của biến trở đạt cực đại. Giá trị của Pm là:
A. 180 W. B. 60 W.
C. 120 W. D. 240 W.
+ Giá trị của R để công suất tiêu thụ trên mạch cực đại là:
+ Giá trị của R để công suất trên biến trở là cực đại:
- Từ hai phương trình trên ta thu được :
Chọn đáp án B
(199k) Học Vật Lí 12 KNTTHọc Vật Lí 12 CDHọc Vật Lí 12 CTST
Xem thêm Bài tập trắc nghiệm Vật Lí 12 có đáp án hay khác:
- Trắc nghiệm Truyền tải điện năng - Máy biến áp (có lời giải)
- Trắc nghiệm Truyền tải điện năng - Máy biến áp (có đáp án - phần 2)
- Trắc nghiệm Máy phát điện xoay chiều - động cơ không đồng bộ ba pha (có lời giải)
- Trắc nghiệm Máy phát điện xoay chiều - động cơ không đồng bộ ba pha (có đáp án - phần 2)
- Trắc nghiệm tổng hợp Dòng điện xoay chiều (có lời giải)
Đã có app VietJack trên điện thoại, giải bài tập SGK, SBT Soạn văn, Văn mẫu, Thi online, Bài giảng....miễn phí. Tải ngay ứng dụng trên Android và iOS.
Theo dõi chúng tôi miễn phí trên mạng xã hội facebook và youtube:Nếu thấy hay, hãy động viên và chia sẻ nhé! Các bình luận không phù hợp với nội quy bình luận trang web sẽ bị cấm bình luận vĩnh viễn.
- Giải Tiếng Anh 12 Global Success
- Giải sgk Tiếng Anh 12 Smart World
- Giải sgk Tiếng Anh 12 Friends Global
- Lớp 12 Kết nối tri thức
- Soạn văn 12 (hay nhất) - KNTT
- Soạn văn 12 (ngắn nhất) - KNTT
- Giải sgk Toán 12 - KNTT
- Giải sgk Vật Lí 12 - KNTT
- Giải sgk Hóa học 12 - KNTT
- Giải sgk Sinh học 12 - KNTT
- Giải sgk Lịch Sử 12 - KNTT
- Giải sgk Địa Lí 12 - KNTT
- Giải sgk Giáo dục KTPL 12 - KNTT
- Giải sgk Tin học 12 - KNTT
- Giải sgk Công nghệ 12 - KNTT
- Giải sgk Hoạt động trải nghiệm 12 - KNTT
- Giải sgk Giáo dục quốc phòng 12 - KNTT
- Giải sgk Âm nhạc 12 - KNTT
- Giải sgk Mĩ thuật 12 - KNTT
- Lớp 12 Chân trời sáng tạo
- Soạn văn 12 (hay nhất) - CTST
- Soạn văn 12 (ngắn nhất) - CTST
- Giải sgk Toán 12 - CTST
- Giải sgk Vật Lí 12 - CTST
- Giải sgk Hóa học 12 - CTST
- Giải sgk Sinh học 12 - CTST
- Giải sgk Lịch Sử 12 - CTST
- Giải sgk Địa Lí 12 - CTST
- Giải sgk Giáo dục KTPL 12 - CTST
- Giải sgk Tin học 12 - CTST
- Giải sgk Hoạt động trải nghiệm 12 - CTST
- Giải sgk Âm nhạc 12 - CTST
- Lớp 12 Cánh diều
- Soạn văn 12 Cánh diều (hay nhất)
- Soạn văn 12 Cánh diều (ngắn nhất)
- Giải sgk Toán 12 Cánh diều
- Giải sgk Vật Lí 12 - Cánh diều
- Giải sgk Hóa học 12 - Cánh diều
- Giải sgk Sinh học 12 - Cánh diều
- Giải sgk Lịch Sử 12 - Cánh diều
- Giải sgk Địa Lí 12 - Cánh diều
- Giải sgk Giáo dục KTPL 12 - Cánh diều
- Giải sgk Tin học 12 - Cánh diều
- Giải sgk Công nghệ 12 - Cánh diều
- Giải sgk Hoạt động trải nghiệm 12 - Cánh diều
- Giải sgk Giáo dục quốc phòng 12 - Cánh diều
- Giải sgk Âm nhạc 12 - Cánh diều


Giải bài tập SGK & SBT
Tài liệu giáo viên
Sách
Khóa học
Thi online
Hỏi đáp

