Công thức tính số đồng phân arene lớp 11 (hay, chi tiết)
Bài viết Công thức tính số đồng phân arene lớp 11 trình bày đầy đủ công thức, ví dụ minh họa có lời giải chi tiết và các bài tập tự luyện giúp học sinh nắm vững kiến thức trọng tâm về Công thức tính số đồng phân arene từ đó học tốt môn Hóa học.
Công thức tính số đồng phân arene lớp 11 (hay, chi tiết)
I. Lý thuyết và phương pháp giải
- Arene hay còn gọi là hydrocarbon thơm là những hydrocarbon trong phân tử có chứa một hay nhiều vòng benzene.
- Benzene và các đồng đẳng của nó (alkylbenzene) hợp thành dãy đồng đẳng của benzene có công thức chung là với (n ≥ 6).
- Công thức tính nhanh số đồng phân ankylbenzene:
Chú ý:
- Độ bất bão hòa (k) của alkylbenzene có dạng : k =4 = .
- Khi coi vòng benzene là mạch chính thì các nhóm alkyl đính với nó là mạch nhánh (nhóm thế).
- Alkylbenzene có đồng phân mạch carbon.
- Để chỉ rõ vị trí C của vòng dùng các chữ số hoặc hoặc các chữ cái o, m , p (đọc là ortho, meta, para).
II. Ví dụ minh họa
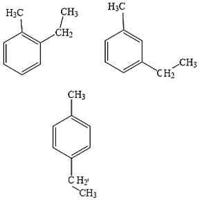
Ví dụ 1: Hợp chất thơm C8H10 có bao nhiêu đồng phân?
A. 4.
B. 3.
C. 5.
D. 2.
Hướng dẫn giải
Đáp án đúng là: A
Độ bất bão hòa . Vậy C8H10 thuộc loại alkylbenzene.
Số đồng phân là . Cụ thể:
Ví dụ 2: Đốt cháy hoàn toàn 0,1 mol alkylbenzene X là đồng đẳng của benzene thu được 0,7 mol CO2. Số đồng phân thơm có thể có của X là
A. 1.
B. 2.
C. 3.
D. 4.
Hướng dẫn giải
Đáp án đúng là: A
Đặt công thức phân tử của ankylbenzen X là CnH2n-6
Bảo toàn nguyên tố C:
⇒ Công thức của ankylbenzen X là C7H8.
Có (7 – 6)2 = 1.
⇒ C7H8 chỉ có 1 đồng phân thơm là C6H5 -CH3.
III. Bài tập vận dụng
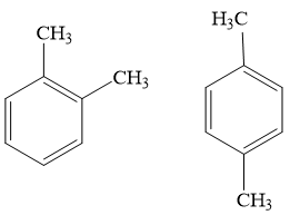
Câu 1: Số đồng phân hydrocarbon thơm ứng với công thức phân tử C7H8 là?
A. 1.
B. 2.
C. 3.
D. 4.
Hướng dẫn giải
Đáp án đúng là: A
Có (7 – 6)2 = 1.
⇒ C7H8 chỉ có 1 đồng phân thơm là C6H5 -CH3.
Câu 2: Số đồng phân thơm ứng với công thức phân tử C9H12 là?
A. 8.
B. 9.
C. 3.
D. 4.
Hướng dẫn giải
Đáp án đúng là: A
Độ bất bão hòa . Vậy C9H12 thuộc loại alkylbenzene.
C9H12 có 8 đồng phân. Cụ thể:
Câu 3: Ứng với công thức C9H12 có bao nhiêu đồng phân có 2 nhánh alkyl gắn vào vòng thơm?
A. 3.
B. 4.
C. 5.
D. 6.
Hướng dẫn giải
Đáp án đúng là: A
Độ bất bão hòa
Số đồng phân thỏa mãn:
Câu 4: Arene hay còn gọi là hydrocarbon thơm là những hydrocarbon trong phân tử có chứa một hay nhiều:
A. vòng benzene.
B. liên kết đơn.
C. liên kết đôi.
D. liên kết ba.
Hướng dẫn giải
Đáp án đúng là: A
Arene hay còn gọi là hydrocarbon thơm là những hydrocarbon trong phân tử có chứa một hay nhiều: vòng benzene.
Câu 5: Các ankylbenzene hợp thành dãy đồng đẳng của benzene có công thức chung là
A. CnH2n-6 (n ≥ 2).
B. CnH2n+2 (n ≥ 6).
C. CnH2n-2 (n ≥ 2).
D. CnH2n-6 (n ≥ 6).
Hướng dẫn giải
Đáp án đúng là: D
Các ankylbenzene hợp thành dãy đồng đẳng của benzene có công thức chung là CnH2n-6 (n ≥ 6).
Câu 6: Hợp chất nào sau đây không tồn tại?
A.
B.
C.
D.
Hướng dẫn giải
Đáp án đúng là: D
Hợp chất không tồn tại là: do có một C có 5 liên kết xung quanh.
Xem thêm các bài viết về công thức Hóa học 11 hay, chi tiết khác:
Tủ sách VIETJACK shopee lớp 6-8 (2025):
Đã có app VietJack trên điện thoại, giải bài tập SGK, SBT Soạn văn, Văn mẫu, Thi online, Bài giảng....miễn phí. Tải ngay ứng dụng trên Android và iOS.
Theo dõi chúng tôi miễn phí trên mạng xã hội facebook và youtube:Loạt bài 500 Công thức, Định Lí, Định nghĩa Toán, Vật Lí, Hóa học, Sinh học được biên soạn bám sát nội dung chương trình học các cấp.
Nếu thấy hay, hãy động viên và chia sẻ nhé! Các bình luận không phù hợp với nội quy bình luận trang web sẽ bị cấm bình luận vĩnh viễn.
- Đề thi lớp 1 (các môn học)
- Đề thi lớp 2 (các môn học)
- Đề thi lớp 3 (các môn học)
- Đề thi lớp 4 (các môn học)
- Đề thi lớp 5 (các môn học)
- Đề thi lớp 6 (các môn học)
- Đề thi lớp 7 (các môn học)
- Đề thi lớp 8 (các môn học)
- Đề thi lớp 9 (các môn học)
- Đề thi lớp 10 (các môn học)
- Đề thi lớp 11 (các môn học)
- Đề thi lớp 12 (các môn học)
- Giáo án lớp 1 (các môn học)
- Giáo án lớp 2 (các môn học)
- Giáo án lớp 3 (các môn học)
- Giáo án lớp 4 (các môn học)
- Giáo án lớp 5 (các môn học)
- Giáo án lớp 6 (các môn học)
- Giáo án lớp 7 (các môn học)
- Giáo án lớp 8 (các môn học)
- Giáo án lớp 9 (các môn học)
- Giáo án lớp 10 (các môn học)
- Giáo án lớp 11 (các môn học)
- Giáo án lớp 12 (các môn học)


Giải bài tập SGK & SBT
Tài liệu giáo viên
Sách
Khóa học
Thi online
Hỏi đáp

