15 Đề thi Học kì 1 Toán lớp 1 Chân trời sáng tạo năm 2026 (có đáp án)
Với bộ 15 Đề thi Học kì 1 Toán lớp 1 có đáp án, chọn lọc sách Chân trời sáng tạo giúp học sinh ôn tập và đạt kết quả cao trong bài thi Học kì 1 Toán 1.
15 Đề thi Học kì 1 Toán lớp 1 Chân trời sáng tạo năm 2026 (có đáp án)
Chỉ từ 150k mua trọn bộ Đề thi Học kì 1 Toán lớp 1 Chân trời sáng tạo theo cấu trúc mới bản word có lời giải chi tiết:
- B1: gửi phí vào tk:
1133836868- CT TNHH DAU TU VA DV GD VIETJACK - Ngân hàng MB (QR) - B2: Nhắn tin tới Zalo VietJack Official - nhấn vào đây để thông báo và nhận đề thi
Đề thi Học kì 1 Toán lớp 1 Chân trời sáng tạo (Giáo viên VietJack)
Phòng Giáo dục và Đào tạo .....
Đề thi Học kì 1 - Chân trời sáng tạo
năm 2025
Bài thi môn: Toán lớp 1
(Đề số 1)
Phần I. Trắc nghiệm (2,5 điểm)
Khoanh tròn vào chữ cái đặt trước kết quả đúng:
Câu 1. (0,5 điểm) Số lớn hơn 7 là:
A. 8
B. 6
C. 0
D. 5
Câu 2. (0,5 điểm) “Con tôm ở ……………….. con cua”. Điền từ còn thiếu vào chỗ chấm
A. Bên phải
B. Bên trái
C. Bên trên
D. Bến dưới
Câu 3. (0,5 điểm) Sắp xếp các số: 5, 6, 1, 7 theo thứ tự từ lớn đến bé:
A. 5, 6, 7, 1
B. 6, 5, 1, 7
C. 1, 5, 6, 7
D. 7, 6, 5, 1
Câu 4. (0,5 điểm) Kết quả của phép tính 6 – 4 là:
A. 1
B. 2
C. 0
D. 3
Câu 5. (0,5 điểm) Trong các hình dưới đây, hình nào là hình tròn?
Phần II. Tự luận.
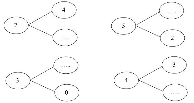
Câu 6. (2 điểm) Số?
Câu 7. (1,5 điểm) Điền dấu >, <, = thích hợp vào chỗ chấm
|
7 …….. 9 |
5 …….. 5 |
2 …….. 4 |
|
6 ……... 4 |
3 …….. 0 |
9 …….. 8 |
Câu 8. (2 điểm) Tính
|
9 – 4 + 3 = ………. |
5 + 2 – 0 = ………. |
|
6 + 4 – 5 = ………. |
3 + 6 – 5 = ………. |
Câu 9. (1 điểm) Số?
Câu 10. (1 điểm) Đúng ghi Đ, sai ghi S
|
a) 2 + 5 > 4 |
☐ |
|
b) 8 – 3 = 5 |
☐ |
|
c) 1 + 4 = 4 + 1 |
☐ |
|
d) 7 + 0 > 7 |
☐ |
Phòng Giáo dục và Đào tạo .....
Đề thi Học kì 1 - Chân trời sáng tạo
năm 2025
Bài thi môn: Toán lớp 1
(Đề số 2)
Bài 1: Điền số thích hợp vào ô trống:

Bài 2: Điền số thích hợp vào chỗ chấm:
Số |
Phép tính |
5, 3, 8 |
3 + 5 = 8 8 – 3 = 5 |
1, 4, 5 |
1 + … = … … – 4 = 1 |
2, 4, 6 |
2 + … = 6 6 – … = 4 |
2, 7, 9 |
7 + 2 = … 9 – 7 = … |
Bài 3: Tính nhẩm:
1 + 4 = … |
2 + 5 = … |
3 + 6 = … |
9 – 4 = … |
8 – 2 = … |
6 – 1 = … |
Bài 4:
a) Điền số thích hợp vào chỗ chấm:
10, …, …, 7, 6, …, 4, …, …, 1, 0
b) Sắp xếp các số 5, 1, 7, 2 theo thứ tự từ bé đến lớn.
Bài 5: Hình vẽ dưới đây có bao nhiêu hình tròn, hình vuông và hình chữ nhật?

ĐÁP ÁN ĐỀ SỐ 1
Bài 1:

Bài 2: Điền số thích hợp vào chỗ chấm:
Số |
Phép tính |
5, 3, 8 |
3 + 5 = 8 8 – 3 = 5 |
1, 4, 5 |
1 + 4 = 5 5 – 4 = 1 |
2, 4, 6 |
2 + 4 = 6 6 – 2 = 4 |
2, 7, 9 |
7 + 2 = 9 9 – 7 = 2 |
Bài 3:
1 + 4 = 5 |
2 + 5 = 7 |
3 + 6 = 9 |
9 – 4 = 5 |
8 – 2 = 6 |
6 – 1 = 5 |
Bài 4:
a) Điền số thích hợp vào chỗ chấm:
10, 9, 8, 7, 6, 5, 4, 3, 2, 1, 0
b) Sắp xếp các số 5, 1, 7, 2 theo thứ tự từ bé đến lớn.
Sắp xếp: 1; 2; 5; 7
Bài 5: Hình vẽ dưới đây có bao nhiêu hình tròn, hình vuông và hình chữ nhật?

Có 4 hình tròn.
Có 5 hình vuông.
Có 2 hình chữ nhật.
Phòng Giáo dục và Đào tạo .....
Đề thi Học kì 1 - Chân trời sáng tạo
năm 2025
Bài thi môn: Toán lớp 1
(Đề số 3)
Bài 1: Nối:

Bài 2: Hình dưới đây có bao nhiêu hình tam giác, hình vuông và hình tròn?
Bài 3: Tính nhẩm:
2 + 3 = … |
1 + 8 = … |
9 + 0 = … |
8 – 4 = … |
5 – 2 = … |
7 – 6 = … |
Bài 4: Điền dấu <, >, = thích hợp vào chỗ chấm:
1 … 3 |
5 … 2 |
4 … 4 |
1 + 2 … 0 |
3 + 3 … 9 – 2 |
1 + 4 … 5 – 0 |
Bài 5: Nối các số từ 1 đến 10:

Phòng Giáo dục và Đào tạo .....
Đề thi Học kì 1 - Chân trời sáng tạo
năm 2025
Bài thi môn: Toán lớp 1
(Đề số 4)
Bài 1: Điền dấu <, >, = thích hợp vào ô trống:
Bài 2: Nối các số từ 1 đến 10 để hoàn thiện bức tranh:

Bài 3: Tính nhẩm:
2 + 4 = … |
5 + 3 = … |
1 + 0 = … |
3 – 1 = … |
5 – 4 = … |
6 – 3 = … |
Bài 4: Điền số thích hợp vào chỗ trống:
Bài 5: Điền số thích hợp vào ô trống:
2 + 5 = ☐ |
3 + 6 = ☐ |
6 - ☐ = 2 |
5 - ☐ = 4 |
Phòng Giáo dục và Đào tạo .....
Đề thi Học kì 1 - Chân trời sáng tạo
năm 2025
Bài thi môn: Toán lớp 1
(Đề số 5)
Bài 1: Khoanh vào số thích hợp:
Bài 2:
a) Sắp xếp các số 4, 1, 7, 2 theo thứ tự từ bé đến lớn.
b) Sắp xếp các số 3, 6, 2, 5 theo thứ tự từ lớn đến bé.
Bài 3: Tính nhẩm:
1 + 0 = … |
3 + 6 = … |
8 + 1 = … |
9 – 2 = … |
7 – 3 = … |
5 – 1 = … |
Bài 4: Điền dấu <, >, = thích hợp vào chỗ chấm:
6 … 3 |
2 … 4 |
7 … 7 |
3 – 1 … 2 |
6 – 0 … 4 + 1 |
1 + 2 … 9 - 8 |
Bài 5: Làm theo mẫu:
Mẫu:
Số |
Phép tính |
4, 2, 6 |
2 + 4 = 6 6 – 4 = 2 |
a) Số: 7, 3, 4
b) Số: 1, 2, 3
c) Số: 2, 9, 7
................................
................................
................................
Trên đây tóm tắt một số nội dung miễn phí trong bộ Đề thi Toán lớp 1 năm 2026 mới nhất, để mua tài liệu trả phí đầy đủ, Thầy/Cô vui lòng xem thử:
Xem thêm đề thi Toán lớp 1 Chân trời sáng tạo hay khác:
Đề thi Học kì 2 Toán lớp 1 Chân trời sáng tạo có đáp án (5 đề)
4 Đề thi Học kì 2 Toán lớp 1 Chân trời sáng tạo năm 2026 tải nhiều nhất
Đề thi Học kì 2 Toán lớp 1 Chân trời sáng tạo năm 2025 có ma trận (5 đề)
Đã có app VietJack trên điện thoại, giải bài tập SGK, SBT Soạn văn, Văn mẫu, Thi online, Bài giảng....miễn phí. Tải ngay ứng dụng trên Android và iOS.
Theo dõi chúng tôi miễn phí trên mạng xã hội facebook và youtube:Loạt bài Đề thi Toán, Tiếng Việt lớp 1 có đáp án được biên soạn bám sát nội dung chương trình sách giáo khoa Toán, Tiếng Việt lớp 1 chương trình sách mới.
Nếu thấy hay, hãy động viên và chia sẻ nhé! Các bình luận không phù hợp với nội quy bình luận trang web sẽ bị cấm bình luận vĩnh viễn.
- Giáo án lớp 1 (các môn học)
- Giáo án điện tử lớp 1
- Giáo án Tiếng Việt lớp 1
- Giáo án Toán lớp 1
- Giáo án Đạo đức lớp 1
- Giáo án Hoạt động trải nghiệm lớp 1
- Giáo án Tự nhiên xã hội lớp 1
- Giáo án Mĩ thuật lớp 1
- Giáo án Âm nhạc lớp 1
- Đề thi lớp 1 (các môn học)
- Đề thi Toán lớp 1 (cả ba sách)
- Đề thi Tiếng Việt lớp 1 (cả ba sách)
- Đề thi Tiếng Anh lớp 1 (cả ba sách)
- Toán Kangaroo cấp độ 1 (Lớp 1, 2)
- Bài tập cuối tuần Toán lớp 1 (cả ba sách)
- Bài tập cuối tuần Tiếng Việt lớp 1 (cả ba sách)
- Bài tập Tiếng Việt lớp 1 (hàng ngày)
- Bài tập Toán lớp 1 (hàng ngày)
- Đề cương ôn tập Toán lớp 1
- Ôn hè Toán lớp 1 lên lớp 2
- Ôn hè Tiếng Việt lớp 1 lên lớp 2


Giải bài tập SGK & SBT
Tài liệu giáo viên
Sách
Khóa học
Thi online
Hỏi đáp

