Top 4 Đề kiểm tra 1 tiết Toán 11 Chương 4 Đại Số có đáp án
Phần dưới là danh sách Top 4 Đề kiểm tra 1 tiết Toán 11 Chương 4 Đại Số có đáp án. Hi vọng bộ đề thi này sẽ giúp bạn ôn luyện & đạt điểm cao trong các bài thi Toán lớp 11.
- Đề kiểm tra 45 phút Đại số 11 Chương 4 có đáp án (Đề 1)
- Đề kiểm tra 45 phút Đại số 11 Chương 4 có đáp án (Đề 2)
- Đề kiểm tra 45 phút Đại số 11 Chương 4 có đáp án (Đề 3)
- Đề kiểm tra 45 phút Đại số 11 Chương 4 có đáp án (Đề 4)
Đề kiểm tra 45 phút Đại số 11 Chương 4 (Đề số 1)
Thời gian làm bài: 45 phút
Phần I: Trắc nghiệm
Câu 1:
bằng:
Câu 2: Tính lim un với
:
Câu 3: Giới hạn của dãy số (un) với
bằng:
Câu 4:
bằng:
Câu 5:
bằng:
Câu 6:
bằng:
Câu 7:
bằng:
Câu 8: Cho số thập phân vô hạn tuần hoàn a = 2,151515... (chu kỳ 15), a được biểu diễn dưới dạng phân số tối giản, trong đó m, n là các số nguyên dương. Tìm tổng m + n.
A. 104 B. 312
C. 86 D. 78
Câu 9:
bằng:
Câu 10:
bằng:
Câu 11: Giới hạn bên phải của hàm số
khi x → 2 là:
Câu 12: Cho hàm số f(x) có đồ thị như hình dưới đây:
- Quan sát đồ thị và cho biết trong các giới hạn sau, giới hạn nào là +∞ ?
Câu 13: Tính
Câu 14: Giới hạn của hàm số
khi x → 1 bằng:
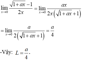
Câu 15: Giả sử
. Hệ số a bằng bao nhiêu để L = 3 ?
Câu 16: Cho a và b là các số thực khác 0. Khi đó
bằng:
Câu 17: Giới hạn
bằng :
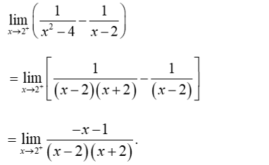
Câu 18: Giới hạn
bằng :
Câu 19: Giới hạn
bằng :
Câu 20: Hàm số y = f(x) có đồ thị dưới đây gián đoạn tại điểm có hoành độ bằng bao nhiêu?
Câu 21: Cho hàm số
. Chọn khẳng định đúng trong các khẳng định sau.
A. f(x) liên tục trên R.
B. f(x) liên tục trên (-∞; -1].
C. f(x) liên tục trên (-1; +∞) .
D. f(x) liên tục tại x = -1 .
Câu 22: Cho hàm số
Tìm tất cả các giá trị của tham số thực m để hàm số liên tục tại x = 3.
Câu 23: Cho hàm số
và f(2) = m2 - 2 với x ≠ 2. Giá trị của m để f(x) liên tục tại x = 2 là:
Câu 24: Cho hàm số
. Tìm khẳng định đúng trong các khẳng định sau:
(I) f(x) gián đoạn tại x = 1.
(II) f(x) liên tục tại x = 1.
(III)
A. Chỉ (I).
B. Chỉ (II).
C. Chỉ (I) và (III).
D. Chỉ (II) và (III).
Câu 25: Cho hàm số
. Tìm k để f(x) gián đoạn tại x = 1.
Phần II: Tự luận
Câu 1: Tính giới hạn của các hàm số sau:
Câu 2: Cho hàm số
. Giá trị của a để f(x) liên tục
Câu 3: . Chứng minh rằng với mọi số thực a, b, c phương trình:
(x – a).(x - b) + (x - b).(x - c) + (x – c).(x - a) = 0 có ít nhất một nghiệm.
Đáp án & Hướng dẫn giải
Phần I: Trắc nghiệm
Câu 1:
- Ta có:
Chọn D.
Câu 2:
- Ta có:
Chọn B
Câu 3:
- Chia cả tử và mẫu của phân thức cho n4 (n4 là bậc cao nhất của n trong phân thức), ta được
Chọn B
Câu 4:
Chọn đáp án A.
Câu 5:
- Ta có:
Chọn C
Câu 6:
Chọn C
Câu 7:
- Ta có:
Chọn A
Câu 8:
- Ta có:
- Vì:
là tổng của cấp số nhân lùi vô hạn với số hạng đầu.
, công bội
nên
Câu 9:
Do đó chọn C.
Câu 10:
- Ta có:
Chọn D
Câu 11:
- Hàm số
xác định trên R\ {2}.
- Ta có:
Chọn B.
Câu 12:
- Khi x → (-3)+, đồ thị hàm số là một đường cong đi lên từ phải qua trái.
- Do đó:
- Tương tự như vậy ta có:
Do đó chọn đáp án C.
Câu 13:
- Ta có:
Chọn B.
Câu 14:
- Ta có:
Chọn A.
Câu 15:
- Ta có:
- -Do đó để
Đáp án đúng là D.
Câu 16:
- Ta có:
Chọn C.
Câu 17:
- Ta đưa x2 ra ngoài căn rồi chia cả tử và mấu cho x. Cụ thể như sau :
Vậy đáp án đúng là B
Câu 18:
- Ta có:
Chọn B.
Câu 19:
Vậy chọn đáp án D.
Câu 20:
- Quan sát đồ thị ta thấy:
- Do đó hàm số gián đoạn tại điểm x = 1.
Chọn B.
Câu 21:
+ Trên (-1; +∞), f(x) = x2 - 1 là hàm đa thức nên hàm số liên tục trên khoảng đó.
+ Trên (-∞; -1), f(x) = 3x + 2 là hàm đa thức nên hàm số liên tục trên (-∞; -1).
- Ta xét tính liên tục của hàm số tại điểm x = -1:
- Do đó f(x) không liên tục tại x= -1 nên A, B, D sai.
Chọn C.
Câu 22:
- Hàm số đã cho xác định trên R.
- Ta có:
- Vậy với mọi m, hàm số đã cho không liên tục tại x = 3.
Do đó đáp án đúng là A.
Câu 23:
- Hàm số liên tục tại x = 2:
Chọn C.
Câu 24:
- Tập xác định: D = R/ {1}.
- Hàm số không xác định tại x = 1 nên hàm số gián đoạn tại x = 1.
Chọn C.
Câu 25:
- TXĐ: D = R.
+ Với x = 1 ta có f(1) = k2
+ Với x ≠ 1 ta có:
- Vậy để hàm số gián đoạn tại x = 1 khi và chỉ khi:
Chọn A
Phần II: Tự luận
Câu 1:
a) Ta có:
b) Ta có:
c) Ta có:
Câu 2:
- TXĐ: D = R.
+) Với x ≥ √2 ta có hàm số f(x) = (2 - a).x2 là hàm đa thức nên liên tục trên khoảng (√ ; +∞).
+) Với x ≤ √2 ta có hàm số f(x) = a2.x2 liên tục trên khoảng (-∞; √2).
+) Với x = √2 ta có f(√2)= 2a2.
- Để hàm số liên tục tại x = √2
- Vậy a = 1 hoặc a = - 2 thì hàm số liên tục trên R.
Câu 3:
- Đặt f(x) = (x – a).(x - b) + (x - b).(x - c)+ (x – c).(x- a) thì f(x) liên tục trên R.
- Không giảm tính tổng quát, giả sử a ≤ b ≤ c
- Nếu a = b hoặc b = c thì f(b) = ( b - a).(b - c) = 0 suy ra phương trình có nghiệm x = b.
- Nếu a < b < c thì f(b) = (b - a)(b - c) < 0 và f(a) = (a - b).(a - c) >) 0
do đó tồn tại x0 thuộc khoảng (a, b) để f(x0) = 0
- Vậy phương trình đã cho luôn có ít nhất một nghiệm.
Đề kiểm tra 45 phút Đại số 11 Chương 4 (Đề số 2)
Thời gian làm bài: 45 phút
Phần I: Trắc nghiệm
Câu 1: Tính lim (5n – n2 + 1) bằng
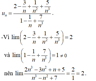
Câu 2: Tính lim un với
?
Câu 3: Giới hạn của dãy số (un) với
, bằng:
Câu 4: Tính giới hạn
Câu 5: Tính
Câu 6: Tính
Câu 7: Số thập phân vô hạn tuần hoàn 0,32111... được biểu diễn dưới dạng phân số tối giản a/b, trong đó a,b là các số nguyên dương. Tính a - b.
Câu 8:
bằng:
Câu 9: Cho hàm số
. Khẳng định nào dưới đây đúng ?
Câu 10: Giới hạn của hàm số
khi x → -∞ bằng:
Câu 11: Giới hạn
bằng:
Câu 12: Cho hàm số
. Khẳng định nào dưới đây là đúng ?
Câu 13: Chọn khẳng định đúng trong các khẳng định sau:
Câu 14: Giới hạn
bằng:
Câu 15: Cho số thực a khác 0. Khi đó
bằng:
Câu 16: Giới hạn
bằng:
Câu 17: Biết
trong đó a, b là các số nguyên dương. Giá trị nhỏ nhất của tích ab bằng :
Câu 18: Giới hạn
bằng:
Câu 19: Giới hạn
bằng:
Câu 20: Giới hạn
bằng:
Câu 21: Tìm giới hạn
:
Câu 22: Cho hàm số
. Tìm khẳng định đúng trong các khẳng định sau:
(I) f(x) gián đoạn tại x= 1
(II) f(x) liên tục tại x= 1.
(III)
A. Chỉ (I).
B. Chỉ (III).
C. Chỉ (I) và (III).
D. Chỉ (II) và (III).
Câu 23: Cho hàm số
. Tìm khẳng định đúng trong các khẳng định sau:
(I)
(II) f(x) liên tục tại x = -2
(III) f(x) gián đoạn tại x = -2
A. Chỉ (I) và (III).
B. Chỉ (I) và (II) .
C. Chỉ (I) .
D.Chỉ (II)
Câu 24: Tìm a để các hàm số
liên tục tại x = 0.
Câu 25: Tính giới hạn:
Phần II: Tự luận
Câu 1: Tìm giới hạn của các hàm số sau :
Câu 2: Tìm a để hàm số sau liên tục tại x = 2
Câu 3: Chứng minh phương trình sau có nghiệm với mọi m:
(1).
Đáp án & Hướng dẫn giải
Phần I: Trắc nghiệm
Câu 1:
Chọn B.
Câu 2: Chia cả tử và mẫu của phân thức cho n3 ( n3 là lũy thừa bậc cao nhất của n trong phân thức), ta được:
Chọn C.
Câu 3:
- Chia cả tử và mẫu cho n2 ( n2 là lũy thừa bậc cao nhất của n trong mẫu thức), ta được:
Chọn C
Câu 4:
- Ta có:
Chọn B.
Câu 5:
- Ta có:
Chọn A.
Câu 6:
- Ta có:
Chọn B.
Câu 7:
- Ta có:
- Vậy a = 289, b = 900.
- Do đó: a - b = 289 – 900 = - 611.
Chọn B.
Câu 8:
- Ta có:
Chọn A.
Câu 9:
- Ta có:
Chọn B.
Câu 10:
- Ta có:
- Vậy:
Chọn A.
Câu 11:
- Ta có:
Vậy chọn đáp án C.
Câu 12:
- Ta có:
Chọn đáp án D.
Câu 13:
- Ta có:
- Do đó:
không tồn tại.
- Suy ra:
không tồn tại.
Vậy chọn đáp án D.
Câu 14:
- Ta có:
- Do đó:
Chọn B.
Câu 15:
- Ta có:
Chọn A.
Câu 16:
- Ta có:
Vậy chọn đáp án B
Câu 17:
- Ta có:
- Vậy
Dễ dàng suy ra được tích của ab là 18.
Chọn C.
Câu 18:
- Với mọi x > 2 ta có :
- Do đó:
Vậy chọn đáp án C
Câu 19:
- Ta có:
Chọn A.
Câu 20:
- Ta có:
- Vì:
và x - 2 > 0 với mọi x > 2 nên:
Do đó chọn B
Câu 21:
- Ta có:
Chọn C.
Câu 22:
- Tập xác định: D = R\ {1}.
- Hàm số không xác định tại x = 1 nên hàm số gián đoạn tại x = 1.
Chọn C.
Câu 23:
- Ta có:
- Vậy
nên hàm số liên tục tại x = -2
Chọn B
Câu 24:
- Ta có:
- Suy ra hàm số liên tục tại x = 0 khi và chỉ khi:
Chọn A.
Câu 25:
- Ta có: 1 + 3 + 5 + .... + (2n - 1) là tổng của n số hạng của 1 cấp số cộng có số hạng đầu u1 = 1, công sai d = 2 nên:
- Suy ra:
Chọn B
Phần II: Tự luận
Câu 1:
a) Ta có:
b) Ta có:
c) Ta có:
Câu 2:
- Ta có: f(2) = 2a + 1.
- Và:
- Để hàm số liên tục tại x = 2 thì:
Câu 3:
- Đặt:
- Tập xác định của hàm số f(x) là D = R.
- Vì f(x) là hàm đa thức nên f(x) liên tục trên R. Ta có:
- Vì f(-2).f(1) = -5 < 0 với mọi m.
- Suy ra: f(x) = 0 luôn có ít nhất 1 nghiệm x0 ∈ (-2 ; 1) với mọi m.
Kết luận phương trình (1) luôn có nghiệm với mọi giá trị m.
Xem thêm các Đề thi Toán 11 chọn lọc, có đáp án hay khác:
Top 4 Đề kiểm tra 15 phút Toán 11 Chương 3 Hình học có đáp án
Top 4 Đề kiểm tra 1 tiết Toán 11 Chương 3 Hình học có đáp án
Để học tốt lớp 11 các môn học sách mới:
- Giải bài tập Lớp 11 Kết nối tri thức
- Giải bài tập Lớp 11 Chân trời sáng tạo
- Giải bài tập Lớp 11 Cánh diều
Tủ sách VIETJACK shopee lớp 10-11 (cả 3 bộ sách):
Đã có app VietJack trên điện thoại, giải bài tập SGK, SBT Soạn văn, Văn mẫu, Thi online, Bài giảng....miễn phí. Tải ngay ứng dụng trên Android và iOS.
Theo dõi chúng tôi miễn phí trên mạng xã hội facebook và youtube:Nếu thấy hay, hãy động viên và chia sẻ nhé! Các bình luận không phù hợp với nội quy bình luận trang web sẽ bị cấm bình luận vĩnh viễn.
- Giáo án lớp 11 (các môn học)
- Giáo án điện tử lớp 11 (các môn học)
- Giáo án Toán 11
- Giáo án Ngữ văn 11
- Giáo án Tiếng Anh 11
- Giáo án Vật Lí 11
- Giáo án Hóa học 11
- Giáo án Sinh học 11
- Giáo án Lịch Sử 11
- Giáo án Địa Lí 11
- Giáo án KTPL 11
- Giáo án HĐTN 11
- Giáo án Tin học 11
- Giáo án Công nghệ 11
- Giáo án GDQP 11
- Đề thi lớp 11 (các môn học)
- Đề thi Ngữ Văn 11 (có đáp án)
- Chuyên đề Tiếng Việt lớp 11
- Đề cương ôn tập Văn 11
- Đề thi Toán 11 (có đáp án)
- Đề thi Toán 11 cấu trúc mới
- Đề cương ôn tập Toán 11
- Đề thi Tiếng Anh 11 (có đáp án)
- Đề thi Tiếng Anh 11 mới (có đáp án)
- Đề thi Vật Lí 11 (có đáp án)
- Đề thi Hóa học 11 (có đáp án)
- Đề thi Sinh học 11 (có đáp án)
- Đề thi Lịch Sử 11
- Đề thi Địa Lí 11 (có đáp án)
- Đề thi KTPL 11
- Đề thi Tin học 11 (có đáp án)
- Đề thi Công nghệ 11
- Đề thi GDQP 11 (có đáp án)


Giải bài tập SGK & SBT
Tài liệu giáo viên
Sách
Khóa học
Thi online
Hỏi đáp

