70+ Đề thi Toán 11 Học kì 2 năm 2026 (cấu trúc mới, có đáp án)
Trọn bộ 70 đề thi Toán 11 Học kì 2 theo cấu trúc mới sách mới Kết nối tri thức, Chân trời sáng tạo, Cánh diều có đáp án và ma trận sẽ giúp học sinh lớp 11 ôn tập và đạt điểm cao trong bài thi Toán 11.
70+ Đề thi Toán 11 Học kì 2 năm 2026 (cấu trúc mới, có đáp án)
Xem thử Đề thi CK2 Toán 11 KNTT Xem thử Đề thi CK2 Toán 11 CTST Xem thử Đề thi CK2 Toán 11 CD
Chỉ từ 150k mua trọn bộ đề thi Toán 11 Học kì 2 theo cấu trúc mới bản word có lời giải chi tiết, dễ dàng chỉnh sửa:
- B1: gửi phí vào tk:
1133836868- CT TNHH DAU TU VA DV GD VIETJACK - Ngân hàng MB (QR) - B2: Nhắn tin tới Zalo VietJack Official - nhấn vào đây để thông báo và nhận giáo án
Đề thi Học kì 2 Toán 11 (theo bộ sách)
Đề thi Học kì 2 Toán 11 (trên cả nước)
Đề thi Học kì 2 Toán 11 trường THPT Việt Đức (Hà Nội) năm 2024-2025
Đề thi Học kì 2 Toán 11 trường THPT Bình Chiểu (Tp.HCM) năm 2024-2025
Đề thi Học kì 2 Toán 11 trường THCS&THPT Trí Đức (Tp.HCM) năm 2024-2025
Đề thi Học kì 2 Toán 11 trường THPT Nguyễn Tất Thành (Tp.HCM) năm 2024-2025
Đề thi Học kì 2 Toán 11 trường THPT Trần Phú (Tp.HCM) năm 2024-2025
Đề thi Học kì 2 Toán 11 trường Lê Thánh Tông (Tp.HCM) năm 2024-2025
Đề thi Học kì 2 Toán 11 trường THPT Phan Đăng Lưu (Tp.HCM) năm 2024-2025
Đề thi Học kì 2 Toán 11 trường chuyên Trần Đại Nghĩa (Tp.HCM) năm 2024-2025
Đề thi Học kì 2 Toán 11 trường THPT Marie Curie (Tp.HCM) năm 2024-2025
Đề thi Học kì 2 Toán 11 trường THPT Lê Hồng Phong (Đắk Lắk) năm 2024-2025
Đề thi Học kì 2 Toán 11 trường THPT Ngô Gia Tự (Đắk Lắk) năm 2024-2025
Đề thi Học kì 2 Toán 11 trường THPT Nguyễn Bỉnh Khiêm (Đắk Lắk) năm 2024-2025
Đề thi Học kì 2 Toán 11 trường THPT chuyên Vị Thanh (Hậu Giang) năm 2024-2025
Đề thi Học kì 2 Toán 11 trường THPT Thị xã Quảng Trị năm 2024-2025
Đề thi Học kì 2 Toán 11 trường THPT Chế Lan Viên (Quảng Trị) năm 2024-2025
Đề thi Học kì 2 Toán 11 trường THPT Hướng Hóa (Quảng Trị) năm 2024-2025
Đề thi Học kì 2 Toán 11 trường THPT Lý Thái Tổ (Bắc Ninh) năm 2024-2025
Đề thi Học kì 2 Toán 11 trường chuyên Thoại Ngọc Hầu (An Giang) năm 2024-2025
Đề thi Học kì 2 Toán 11 trường THPT Quế Sơn (Quảng Nam) năm 2024-2025
Đề thi Học kì 2 Toán 11 trường THPT Phạm Thành Trung (Tiền Giang) năm 2024-2025
Đề thi Học kì 2 Toán 11 trường THPT Trần Quang Khải (Bà Rịa - Vũng Tàu) năm 2024-2025
Đề thi Học kì 2 Toán 11 trường THPT Xuyên Mộc (Bà Rịa - Vũng Tàu) năm 2024-2025
Đề thi Học kì 2 Toán 11 trường THPT Ngô Gia Tự (Phú Yên) năm 2024-2025
Đề thi Học kì 2 Toán 11 trường chuyên Lương Văn Chánh (Phú Yên) năm 2024-2025
Đề thi Học kì 2 Toán 11 trường THPT Hùng Thắng (Hải Phòng) năm 2024-2025
Đề thi Học kì 2 Toán 11 trường THPT Kẻ Sặt (Hải Dương) năm 2024-2025
Đề thi Học kì 2 Toán 11 trường THPT Phạm Phú Thứ (Đà Nẵng) năm 2024-2025
Đề thi Học kì 2 Toán 11 trường THPT Nguyễn Trãi (Đà Nẵng) năm 2024-2025
Đề thi Học kì 2 Toán 11 trường THPT Ngô Quyền (Đà Nẵng) năm 2024-2025
Đề thi Học kì 2 Toán 11 trường chuyên Lương Thế Vinh (Đồng Nai) năm 2024-2025
Đề thi Học kì 2 Toán 11 trường THPT Hoàng Diệu (Đồng Nai) năm 2024-2025
Đề thi Học kì 2 Toán 11 trường THPT Lương Ngọc Quyến (Thái Nguyên) năm 2024-2025
Đề thi Học kì 2 Toán 11 trường THPT Hùng Vương (Bình Phước) năm 2024-2025
Xem thử Đề thi CK2 Toán 11 KNTT Xem thử Đề thi CK2 Toán 11 CTST Xem thử Đề thi CK2 Toán 11 CD
Sở Giáo dục và Đào tạo ...
Đề thi Học kì 2 - Kết nối tri thức
Năm học ...
Môn: Toán 11
Thời gian làm bài: phút
PHẦN I. TRẮC NGHIỆM KHÁCH QUAN
A. TRẮC NGHIỆM NHIỀU PHƯƠNG ÁN LỰA CHỌN. Thí sinh trả lời từ câu 1 đến câu 12.
Mỗi câu hỏi thí sinh chỉ chọn một phương án.
Câu 1. Cho số thực a > 0. Biểu thức bằng
A. a2.
B. .
C. .
D. a5.
Câu 2. Cho a là số thực dương khác 1. Mệnh đề nào dưới đây đúng với mọi số dương x; y?
A. .
B. loga(x; y) = ylogax.
C. logaa = 0.
D. logax = 1.
Câu 3. Hàm số y = log3x. Mệnh đề nào dưới đây sai?
A. Hàm số y = log3x có tập xác định là ℝ.
B. Hàm số y = log3x đồng biến trên khoảng (0; +∞).
C. Hàm số y = log3x có tập xác định là (0; +∞).
D. Hàm số y = log3x luôn đi qua điểm (1; 0).
Câu 4. Mệnh đề nào dưới đây đúng?
A. Nếu một đường thẳng vuông góc với một trong hai đường thẳng song song thì cũng vuông góc với đường thẳng còn lại.
B. Hai đường thẳng vuông góc với nhau thì luôn cắt nhau.
C. Góc giữa hai đường thẳng bằng góc giữa hai vectơ chỉ phương của chúng.
D. Hai đường thẳng cùng vuông góc với một đường thẳng thì song song với nhau.
Câu 5. Cho hình chóp S.ABC, cạnh SA ⊥ (ABC). Góc giữa đường thẳng SC và mặt phẳng (ABC) là
A. .
B. .
C. .
D. .
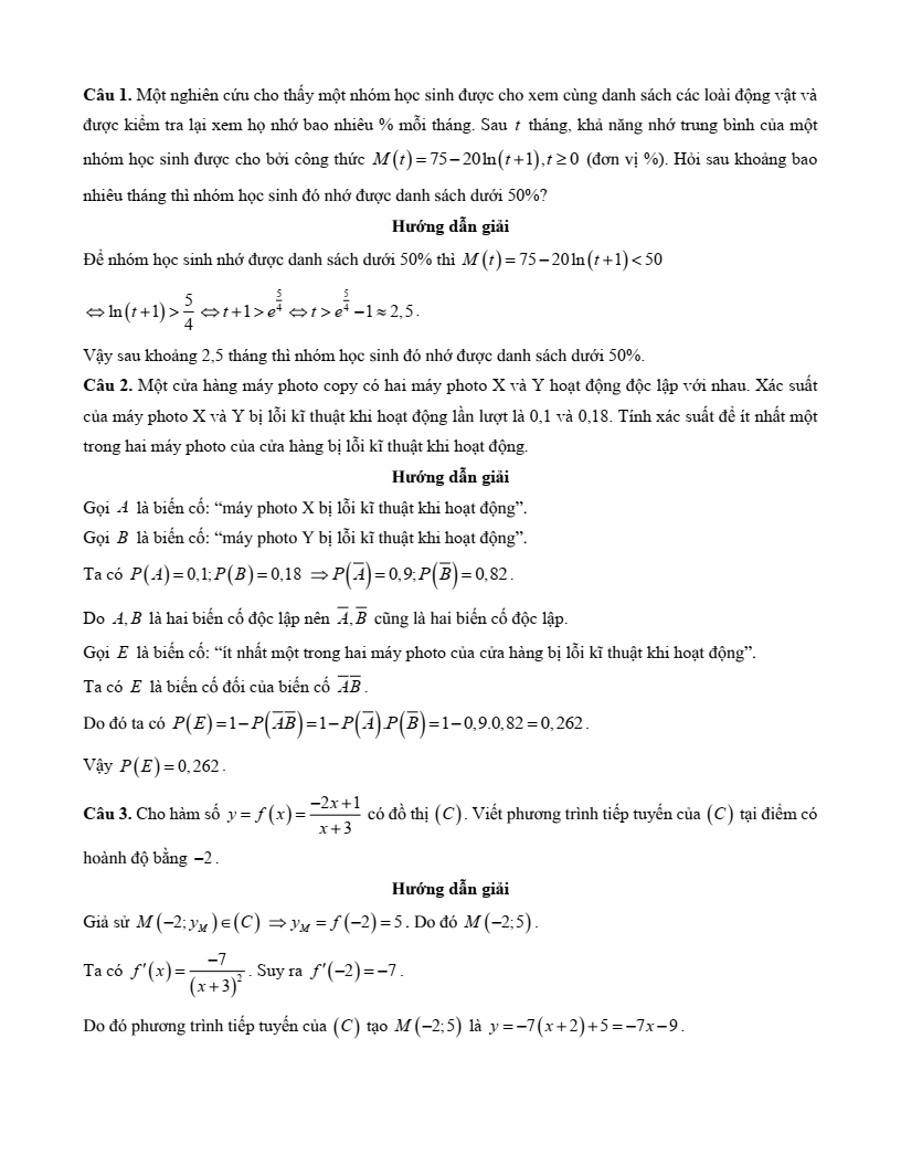
Câu 6. Nếu một khối chóp có diện tích đáy là S và có chiều cao là h thì thể tích V của nó được tính theo công thức nào sau đây?
A. V = Sh.
B. .
C. .
D. .
Câu 7. Cho hàm số y = f(x) xác định trên ℝ thỏa mãn . Kết quả nào sau đây đúng?
A. f'(-1) = 1.
B. f(1) = 1.
C. f'(1) = -1.
D. f(-1) = -1.
Câu 8. Đạo hàm cấp hai của hàm số y = x3 - 3x + 2 là
A. f''(x) = 6x.
B. f''(x) = 3x - 3.
C. f''(x) = 6x - 3.
D. f''(x) = 3x2 - 3.
Câu 9. Tập nghiệm của bất phương trình log5(9 - x2) ≥ 1 là
A. [-2; 2].
B. (0; 2].
C. (-∞; 2].
D. (-∞; 2]∪[2; +∞).
Câu 10. Cho hình lập phương ABCD.A'B'C'D' có cạnh a. Khoảng cách giữa hai đường thẳng B'D' và AC bằng
A. a.
B. a.
C. a.
D. 2a.
Câu 11. Tính đạo hàm của hàm số y = 5x.
A. y' = 5x-1ln5.
B. y' = 5xln5.
C. y' = 5x.
D. y' = x5x-1.
Câu 12. Cho hàm số f(x) = có đạo hàm trên (0; +∞). Tính giá trị của f'(9).
A. .
B. .
C. f'(9) = 3.
D. .
B. TRẮC NGHIỆM ĐÚNG - SAI. Thí sinh trả lời từ câu 1 đến câu 2. Trong mỗi ý a), b), c), d) ở mỗi câu, thí sinh chọn đúng hoặc sai.
Câu 1. Cho hình chóp S.ABC có đáy là tam giác ABC vuông tại A và SA ⊥ (ABC). Khi đó:
a) SA ⊥ BC.
b) (SAC) ⊥ (ABC).
c) Gọi H là hình chiếu A trên BC. Khi đó (SAH) ⊥ (SBC).
d) (AB, SC) = 60°.
Câu 2. Cả hai xạ thủ cùng bắn vào bia. Biến cố A : “Người thứ nhất bắn trúng bia”; biến cố B : “Người thứ hai bắn trúng bia”. Biết P(A) = 0,8; P(B) = 0,7. Khi đó:
a) A và B là biến cố độc lập.
b) A∩B là biến cố: “cả hai người đều bắn trúng bia”.
c) P(AB) = 0,06.
d) .
C. TRẢ LỜI NGẮN. Thí sinh trả lời câu 1 đến câu 4.
Câu 1. Cho hình chóp S.ABCD có đáy là hình vuông cạnh , biết SA = a, SC = a. Gọi M, N theo thứ tự là trung điểm các cạnh AD, SD. Góc giữa hai đường thẳng MN và SC bằng bao nhiêu độ?
Câu 2. Cho cái nêm hình lăng trụ đứng như hình vẽ
Thể tích của cái nêm bằng bao nhiêu cm3.
Câu 3. Cho A và B là hai biến cố độc lập. Biết P(A) = 0,4 và P(B) = 0,5. Tính P(A∪B).
Câu 4. Cho biết điện lượng truyền trong dây dẫn theo thời gian biểu thị bởi hàm số Q(t) = 2t2 + t, trong đó t được tính bằng giây và Q được tính theo Culông. Tính cường độ dòng điện tại thời điểm t = 4 giây.
PHẦN II. TỰ LUẬN
Câu 1. Một nghiên cứu cho thấy một nhóm học sinh được cho xem cùng danh sách các loài động vật và được kiểm tra lại xem họ nhớ bao nhiêu % mỗi tháng. Sau t tháng, khả năng nhớ trung bình của một nhóm học sinh được cho bởi công thức M(t) = 75 - 20ln(t + 1), t ≥ 0 (đơn vị %). Hỏi sau khoảng bao nhiêu tháng thì nhóm học sinh đó nhớ được danh sách dưới 50%?
Câu 2. Một cửa hàng máy photo copy có hai máy photo X và Y hoạt động độc lập với nhau. Xác suất của máy photo X và Y bị lỗi kĩ thuật khi hoạt động lần lượt là 0,1 và 0,18. Tính xác suất để ít nhất một trong hai máy photo của cửa hàng bị lỗi kĩ thuật khi hoạt động.
Câu 3. Cho hàm số có đồ thị (C). Viết phương trình tiếp tuyến của (C) tại điểm có hoành độ bằng -2.
Sở Giáo dục và Đào tạo ...
Đề thi Học kì 2 - Kết nối tri thức
Năm học ...
Môn: Toán 11
Thời gian làm bài: phút
I. Trắc nghiệm (7 điểm)
Câu 1. Khẳng định nào sau đây đúng ?
A. a0 = 1, với mọi số thực a < 0.
B. a0 = 1, với mọi số thực a > 0.
C. a0 = 1, với mọi số thực a.
D. a0 = 1, với a là số thực khác 0.
Câu 2. Cho 0 < a ≠ 1, 0 < b ≠ 1, x và y là hai số dương. Tìm mệnh đề đúng trong các mệnh đề sau :
A. .
B. .
C. .
D. .
Câu 3. Trong các hình sau, hình nào là dạng đồ thị của hàm số y = ax, 0 < a < 1?
A. (I).
B. (II).
C. (IV).
D. (III).
Câu 4. Trong các hình sau, hình nào là dạng đồ thị của hàm số y = logax, 0 < a < 1
A. (I).
B. (II).
C. (IV).
D. (III).
Câu 5. Giải phương trình log3(x - 4) = 0.
A. x = 6.
B. x = 4.
C. x = 1.
D. x = 5.
Câu 6. Trong các mệnh đề sau mệnh đề nào đúng?
A. Góc giữa hai đường thẳng m và n bằng góc giữa hai đường thẳng a và b cùng đi qua một điểm và tương ứng song song với m và n.
B. Góc giữa hai đường thẳng a và b bất kì luôn là góc tù.
C. Góc giữa hai đường thẳng a và b bất kì luôn là góc nhọn.
D. Góc giữa hai đường thẳng m và n bằng góc giữa hai đường thẳng a và b tương ứng song song với m và n.
Câu 7. Chọn mệnh đề đúng trong các mệnh đề sau đây:
A. Nếu một đường thẳng vuông góc với hai đường thẳng cắt nhau thuộc cùng một mặt phẳng thì nó vuông góc với mặt phẳng đó.
B. Nếu một đường thẳng vuông góc với hai đường thẳng song song thuộc cùng một mặt phẳng thì nó vuông góc với mặt phẳng đó.
C. Nếu đường thẳng a vuông góc với mặt phẳng (P) thì các đường thẳng vuông góc với a cũng vuông góc với (P).
D. Có vô số mặt phẳng đi qua một điểm cho trước và vuông góc với một đường thẳng cho trước.
Câu 8. Trong các mệnh đề sau, mệnh đề nào đúng?
A. Góc giữa đường thẳng và mặt phẳng bằng góc giữa đường thẳng đó và hình chiếu của nó trên mặt phẳng đã cho.
B. Góc giữa đường thẳng a và mặt phẳng (P) bằng góc giữa đường thẳng b và mặt phẳng (P) khi a và b song song (hoặc a trùng với b).
C. Góc giữa đường thẳng a và mặt phẳng (P) bằng góc giữa đường thẳng a và mặt phẳng (Q) thì mặt phẳng (P) song song với mặt phẳng (Q).
D. Góc giữa đường thẳng a và mặt phẳng (P) bằng góc giữa đường thẳng b và mặt phẳng (P) thì a song song với b.
Câu 9. Cho hình lập phương ABCD.A'B'C'D' như hình vẽ
Khẳng định nào sau đây đúng
A. .
B. .
C. .
D. .
Câu 10. Cho hai mặt phẳng (P) và (Q) cắt nhau và một điểm M không thuộc (P) và (Q). Qua M có bao nhiêu mặt phẳng vuông góc với (P) và (Q)?
A. 1.
B. 2.
C. 3.
D. Vô số.
Câu 11. Cho hình chóp S.ABCD có đáy ABCD là hình vuông, cạnh bên SA vuông góc với mặt phẳng đáy. Góc phẳng nhị diện [S,BC,A] là
A. .
B. .
C. .
D. .
Câu 12. Thể tích của khối lăng trụ có diện tích đáy B và chiều cao h là:
A. Bh.
B. Bh.
C. Bh.
D. 3Bh.
Câu 13. Thể tích của khối chóp có diện tích đáy B = 6 và chiều cao h = 2 bằng:
A. 6.
B. 3.
C. 4.
D. 12.
Câu 14. Một hộp đựng 20 tấm thẻ cùng loại được đánh số từ 1 đến 20. Rút ngẫu nhiên một tấm thẻ trong hộp. Gọi A là biến cố : ‘‘Rút được tấm thẻ ghi số chẵn lớn hơn 9’’ ; B là biến cố : ‘‘Rút được tấm thẻ ghi số không nhỏ hơn 8 và không lớn hơn 15’’. Số phần tử của AB là
A. 5.
B. 6.
C. 3.
D. 4.
Câu 15. Cho A, B là hai biến cố xung khắc. Biết P(A) = , P(B) = . Tính .
A. .
B. .
C. .
D. .
Câu 16. Cho A, B là hai biến cố xung khắc. Đẳng thức nào sau đây đúng?
A. .
B. .
C. .
D. .
Câu 17. Cho A, B là hai biến cố độc lập. Biết P(A) = 0,5; P(A ∩ B) = 0,2. Tính .
A. 0,3.
B. 0,5.
C. 0,6.
D. 0,7.
Câu 18. Một chất điểm chuyển động có phương trình s(t) = t + 1 (t tính bằng giây, s tính bằng mét). Vận tốc tức thời của chất điểm tại thời điểm t = 3s bằng
A. 1m/s.
B. 15m/s.
C. 4m/s.
D. 0m/s.
Câu 19. Hàm số y = x5 có đạo hàm là
A. y' = 5x6.
B. y' = 4x5.
C. y' = 5x.
D. y' = 5x4.
Câu 20. Cho f(x) = 201. Tính f''(x).
A. f''(x) = 2.
B. f''(x) = x.
C. f''(x) = 0.
D. f''(x) = 1.
Câu 21. bằng:
A. 3.
B. .
C. .
D. 2.
Câu 22. Tập xác định của hàm số y = log2x là
A. .
B. .
C. .
D. .
Câu 23. Số nghiệm của phương trình là
A. 3.
B. 0.
C. 2.
D. 1.
Câu 24. Cho hình chóp S.ABCD có ABCD là hình chữ nhật và SA ⊥ (ABCD). Mệnh đề nào dưới đây đúng ?
A. AB ⊥ (SAD).
B. BC ⊥ (SAD).
C. AC ⊥ (SAD).
D. BD ⊥ (SAD).
Câu 25. Cho hình chóp S.ABCD có đáy ABCD là hình chữ nhật với AB = a, AD = . Cạnh bên SA ⊥ (ABCD) và SA = 3a. Góc giữa đường thẳng SC và mặt phẳng (ABCD) bằng
A. 45°.
B. 90°.
C. 30°.
D. 60°.
Câu 26. Cho hình chóp S.ABCD có ABCD là hình vuông, SA vuông góc với mặt phẳng đáy. Mặt phẳng (ABCD) vuông góc với mặt phẳng nào dưới đây ?
A. (SAC).
B. (SBD).
C. (SCD).
D. (SBC).
Câu 27. Cho hình chóp S.ABCD có SA ⊥ (ABC), SA = AB = 2a, tam giác ABC vuông tại B (tham khảo hình vẽ). Khoảng cách từ A đến mặt phẳng (SBC) bằng
A. .
B. a.
C. 2a.
D. .
Câu 28. Cho hình lập phương ABCD.A'B'C'D' cạnh a. Tính khoảng cách giữa hai đường thẳng AB' và CD'.
A. .
B. a.
C. .
D. 2a.
Câu 29. Cho khối chóp tứ giác đều S.ABCD có cạnh đáy bằng và tam giác SAC đều. Thể tích của khối chóp đã cho bằng
A. .
B. .
C. .
D. .
Câu 30. Một hộp chứa 5 viên bi đỏ và 4 viên bi xanh. Lấy ngẫu nhiên đồng thời 2 viên bi, xác suất để lấy được ít nhất một viên bi màu xanh bằng
A. .
B. .
C. .
D. .
Câu 31. Hai người cùng bắn vào 1 bia. Người thứ nhất có xác suất bắn trúng là 60%, xác suất bắn trúng của người thứ 2 là 70%. Xác suất để cả hai người cùng bắn không trúng bằng
A. .
B. .
C. .
D. .
Câu 32. Trong đợt thi tốt nghiệp THPT năm 2023 của các trường THPT, thống kê cho thấy 95% học sinh tỉnh X đậu tốt nghiệp THPT, 97% học sinh tỉnh Y đậu tốt nghiệp THPT. Chọn ngẫu nhiên một học sinh tỉnh X và một học sinh tỉnh Y. Giả thiết chất lượng học tập của hai tỉnh là độc lập. Tính xác suất để chỉ có đúng một học sinh được chọn đậu tốt nghiệp THPT.
A. 0,177.
B. 0,077.
C. 0,999.
D. 0,899.
Câu 33. Cho hàm số y = -x3 + 3x - 2 có đồ thị (C). Phương trình tiếp tuyến của (C) tại giao điểm của (C) với trục tung là
A. y = -2x + 1.
B. y = 2x + 1.
C. y = 3x - 1.
D. y = -3x - 1.
Câu 34. Hàm số có đạo hàm . Khi đó S = a + b + c có kết quả là
A. S = 1.
B. S = -2.
C. S = 0.
D. S = -3.
Câu 35. Cho hàm số f(x) = (x + 1)3. Giá trị f''(0) bằng
A. 6.
B. 3.
C. 12.
D. 24.
II. Tự luận (3 điểm)
Bài 1. (1 điểm) Cho khối chóp S.ABC có đáy là tam giác đều cạnh a, SA vuông góc với mặt phẳng đáy và khoảng cách từ A đến mặt phẳng (SBC) bằng . Tính thể tích khối chóp đã cho.
Bài 2. (1 điểm) Hai chuyến bay của hai hãng hàng không X và Y, hoạt động độc lập với nhau. Xác suất để chuyến bay của hãng X và hãng Y khởi hành đúng giờ tương ứng là 0,92 và 0,98. Tính xác suất để chỉ có duy nhất một trong hai chuyển bay khởi hành đúng giờ.
Bài 3. (1 điểm) Một chất điểm chuyển động có quãng đường được cho bởi phương trình , trong đó t > 0 với t tính bằng giây (s) và s tính bằng mét (m). Tính vận tốc chuyển động của chất điểm tại thời điểm chất điểm có gia tốc chuyển động nhỏ nhất.
-----HẾT-----
Sở Giáo dục và Đào tạo ...
Đề thi Học kì 2 - Chân trời sáng tạo
Năm học ...
Môn: Toán 11
Thời gian làm bài: phút
I. Trắc nghiệm (7 điểm)
Câu 1. Biểu thức nào là luỹ thừa với số mũ thực
A. .
B. 2-x.
C. x-2.
D. 2x.
Câu 2. Cho a là số thực dương. Giá trị rút gọn của biểu thức là:
A. 2a.
B. a.
C. 1 - a.
D. 1 + a.
Câu 3. Cho hai số dương a, b với a ≠ 1. Số α thoả mãn aα = b, khi đó α bằng
A. .
B. .
C. .
D. .
Câu 4. Hàm số nào sau đây là hàm số mũ
A. .
B. y = -2x.
C. y = x-2.
D. y = x2.
Câu 5. Trong các hình sau, hình nào là dạng đồ thị của hàm số
A. (I).
B. (II).
C. (IV).
D. (III).
Câu 6. Một sinh viên gửi tiết kiệm ngân hàng lãi suất 13%/năm với hình thức lãi kép. Hỏi sau bao nhiêu năm sinh viên đó thu được gấp ba lần số tiền ban đầu, biết lãi suất cố định trong các năm.
A. 8 năm 9 tháng.
B. 15 năm 5 tháng.
C. 8 năm.
D. 9 năm.
Câu 7. Tổng các nghiệm thực của phương trình bằng
A. -7.
B. 5.
C. 6.
D. 7.
Câu 8. Tổng các giá trị nghiệm của phương trình bằng
A. 10.
B. .
C. 5.
D. .
Câu 9. Cho hàm số y = f(x) có đồ thị (C) và đạo hàm f'(2) = 6. Hệ số góc của tiếp tuyến của (C) tại điểm M(2;f(2)) bằng
A. 2.
B. 3.
C. 6.
D. 12.
Câu 10. Hàm số . Khi đó với thì khẳng định nào đúng ?
A. f'(a) = 2a + 3.
B. f'(a) = a2 + 1.
C. f'(a) = 2a + 2.
D. f'(a) = 2a.
Câu 11. Đạo hàm của hàm số y = 3x là
A. .
B. .
C. .
D. .
Câu 12. Một chất điểm chuyển động có phương trình s(t) = t + 1 (t tính bằng giây, s tính bằng mét). Vận tốc tức thời của chất điểm tại thời điểm t = 3s bằng
A. 1m/s.
B. 15m/s.
C. 4m/s.
D. 0m/s.
Câu 13. Hàm số y = x5 có đạo hàm cấp 2 là
A. 5x4.
B. 20x.
C. 20x3.
D. 5x3.
Câu 14. Cho f(x) = 201. Tính f''(x).
A. f''(x) = 2.
B. f''(x) = x.
C. f''(x) = 0.
D. f''(x) = 1.
Câu 15. Hàm số có đạo hàm cấp hai tại x = 1 là
A. .
B. .
C. .
D. .
Câu 16. Hàm số y = cot x có đạo hàm là:
A. .
B. .
C. .
D. .
Câu 17. Đạo hàm của hàm số y = 3x là
A. .
B. .
C. .
D. .
Câu 18. Cho . Biểu thức f'(1) có giá trị là bao nhiêu?
A. -1.
B. -2.
C. -12.
D. 1.
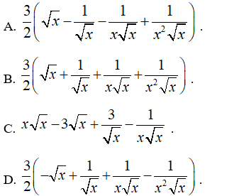
Câu 19. Đạo hàm của hàm số bằng biểu thức nào sau đây?
A. .
B. .
C. .
D. .
Câu 20. Tung một con xúc xắc, gọi A là biến cố: "Xuất hiện mặt có số chấm lớn hơn hoặc bằng 4", B là biến cố: " Xuất hiện mặt có số chấm nhỏ hơn hoặc bằng 2". Khẳng định nào sau đây là đúng?
A. A và B là hai biến cố xung khắc.
B. A và B là hai biến cố đối.
C. Cả A và B đều đúng.
D. Không đủ thông tin để kết luận.
Câu 21. Cho A, B là hai biến cố xung khắc. Biết P(A) = , P(B) = . Tính .
A. .
B. .
C. .
D. .
Câu 22. Hai xạ thủ M và N cùng bắn súng vào một tấm bia. Biết rằng xác suất bắn trúng của xạ thủ M là 0,3, của xạ thủ N là 0,2. Khả năng bắn trúng của hai xạ thủ là độc lập. Xác suất của biến cố "Cả hai xạ thủ đều bắn trúng" là
A. 0,05.
B. 0,06.
C. 0,07.
D. 0,08.
Câu 23. Gọi S là tập các số tự nhiên có 4 chữ số khác nhau được tạo từ tập E = {1;2;3;4;5}. Chọn ngẫu nhiên một số từ tập S. Tính xác suất để số được chọn là một số chẵn?
A. .
B. .
C. .
D. .
Câu 24. Gieo một đồng xu cân đối và đồng chất liên tiếp ba lần. Gọi A là biến cố “Có ít nhất hai mặt sấp xuất hiện liên tiếp” và B là biến cố “Kết quả ba lần gieo là như nhau”. Xác định biến cố .
A. .
B. .
C. .
D. .
Câu 25. Cho A, B là hai biến cố độc lập. Biết P(A) = 0,5; P(A ∩ B) = 0,2. Tính .
A. 0,3.
B. 0,5.
C. 0,6.
D. 0,7.
Câu 26. Cho hình lập phương ABCD.A'B'C'D'. Góc giữa hai đường thẳng A'C' và BD bằng.
A. 60°.
B. 30°.
C. 45°.
D. 90°.
Câu 27. Cho hình lập phương ABCD.A'B'C'D' như hình vẽ
Khẳng định nào sau đây đúng
A. .
B. .
C. .
D. .
Câu 28. Thể tích của khối lăng trụ có diện tích đáy B và chiều cao h là:
A. Bh.
B. Bh.
C. Bh.
D. 3Bh.
Câu 29. Cho hình chóp S.ABCD có ABCD là hình chữ nhật và SA ⊥ (ABCD). Mệnh đề nào dưới đây đúng ?
A. AB ⊥ (SAD).
B. BC ⊥ (SAD).
C. AC ⊥ (SAD).
D. BD ⊥ (SAD).
Câu 30. Cho khối chóp tứ giác đều S.ABCD có cạnh đáy bằng và tam giác SAC đều. Thể tích của khối chóp đã cho bằng
A. .
B. .
C. .
D. .
Câu 31. Cho hai mặt phẳng (P) và (Q) cắt nhau và một điểm M không thuộc (P) và (Q). Qua M có bao nhiêu mặt phẳng vuông góc với (P) và (Q)?
A. 1.
B. 2.
C. 3.
D. Vô số.
Câu 32. Cho hình chóp S.ABCD có ABCD là hình vuông, SA vuông góc với mặt phẳng đáy. Mặt phẳng (ABCD) vuông góc với mặt phẳng nào dưới đây ?
A. (SAC).
B. (SBD).
C. (SCD).
D. (SBC).
Câu 33. Cho hình chóp S.ABCD có đáy ABCD là hình vuông cạnh a, SA ⊥ (ABCD). Tính khoảng cách từ điểm B đến mặt phẳng (SAC).
A. .
B. .
C. .
D. .
Câu 34. Trong các mệnh đề sau, mệnh đề nào đúng?
A. Góc giữa đường thẳng và mặt phẳng bằng góc giữa đường thẳng đó và hình chiếu của nó trên mặt phẳng đã cho.
B. Góc giữa đường thẳng a và mặt phẳng (P) bằng góc giữa đường thẳng b và mặt phẳng (P) khi a và b song song (hoặc a trùng với b).
C. Góc giữa đường thẳng a và mặt phẳng (P) bằng góc giữa đường thẳng a và mặt phẳng (Q) thì mặt phẳng (P) song song với mặt phẳng (Q).
D. Góc giữa đường thẳng a và mặt phẳng (P) bằng góc giữa đường thẳng b và mặt phẳng (P) thì a song song với b.
Câu 35. Cho hình chóp S.ABC có SA vuông góc với mặt phẳng (ABC), SA = 2a, tam giác ABC vuông tại B, AB = và BC = a (minh họa như hình vẽ bên). Góc giữa đường thẳng SC và mặt phẳng (ABC) bằng
A. 90°.
B. 45°.
C. 30°.
D. 60°.
II. Tự luận (3 điểm)
Bài 1. (1 điểm) a) Tính đạo hàm cấp hai của hàm số y = sinax (a là hằng số).
b) Một chất điểm chuyển động có quãng đường được cho bởi phương trình , trong đó t > 0 với t tính bằng giây (s) và s tính bằng mét (m). Tính vận tốc chuyển động của chất điểm tại thời điểm chất điểm có gia tốc chuyển động nhỏ nhất.
Bài 2. (1 điểm) Cho hình chóp S.ABCD có đáy là tam giác vuông cân tại A, SA ⊥ (ABC) và AB = a; SA = . Gọi H là trung điểm cạnh BC.
a) Chứng minh: BC ⊥ (SAH).
b) Tính góc giữa đường thẳng SH và mặt phẳng (ABC).
Bài 3. (1 điểm) Gọi A là tập hợp tất cả các số tự nhiên có 8 chữ số đôi một khác nhau. Chọn ngẫu nhiên một số thuộc A. Tính xác suất để số tự nhiên được chọn chia hết cho 25.
-----HẾT-----
Sở Giáo dục và Đào tạo ...
Đề thi Học kì 2 - Cánh diều
Năm học ...
Môn: Toán 11
Thời gian làm bài: phút
I. Trắc nghiệm (7 điểm)
Câu 1. Khảo sát thời gian chạy bộ trong một ngày của một số học sinh khối 11 thu được mẫu số liệu ghép nhóm sau:
|
Thời gian (phút) |
[0;20) |
[20;40) |
[40;60) |
[60;80) |
[80;100) |
|
Số học sinh |
5 |
9 |
12 |
10 |
6 |
Mẫu số liệu ghép nhóm này có mốt là
A. 59.
B. 40.
C. 52.
D. 53.
Câu 2. Người ta tiến hành phỏng vấn 40 người về một mẫu áo khoác. Người điều tra yêu cầu cho điểm mẫu áo đó theo thang điểm là 100. Kết quả được trình bày trong bảng ghép nhóm sau:
|
Nhóm |
[50;60) |
[60;70) |
[70;80) |
[80;90) |
[90;100) |
|
|
Tần số |
4 |
5 |
23 |
6 |
2 |
N = 40 |
Trung vị của mẫu số liệu ghép nhóm trên gần nhất với giá trị
A. 74.
B. 75.
C. 76.
D. 77.
Câu 3. Khẳng định nào sau đây là ĐÚNG:
A. Cho hai biến cố A và B. Biến cố "A hoặc B xảy ra", kí hiệu là A ∪ B, được gọi là biến cố giao của A và B.
B. Cho hai biến cố A và B. Biến cố "A hoặc B xảy ra", kí hiệu là A ∩ B, được gọi là biến cố hợp của A và B.
C. Cho hai biến cố A và B. Biến cố "A hoặc B xảy ra", kí hiệu là A ∪ B, được gọi là biến cố hợp của A và B.
D. Cho hai biến cố A và B. Biến cố "A hoặc B xảy ra", kí hiệu là A ∪ B, được gọi là biến cố xung khắc.
Câu 4. Cho A và B là 2 biến cố độc lập với nhau, P(A) = 0,4; P(B) = 0,3. Khi đó P(A,B) bằng
A. 0,58.
B. 0,7.
C. 0,1.
D. 0,12.
Câu 5. Cho A, B là hai biến cố xung khắc. Biết P(A) = ; P(A ∪ B) = . Tính P(B).
A. .
B. .
C. .
D. .
Câu 6. Chọn ngẫu nhiên 2 đỉnh của một hình bát giác đều nội tiếp trong đường tròn tâm O bán kính R. Xác suất để khoảng cách giữa hai đỉnh đó bằng là
A. .
B. .
C. .
D. .
Câu 7. Một hộp đựng 5 quả cầu màu xanh và 3 quả cầu màu đỏ, có cùng kích thước và khối lượng. Chọn ngẫu nhiên hai quả cầu trong hộp. Tính xác suất để chọn được hai quả cầu có cùng màu.
A. .
B. .
C. .
D. .
Câu 8. Hai người cùng bắn vào 1 bia. Người thứ nhất có xác suất bắn trúng là 60%, xác suất bắn trúng của người thứ 2 là 70%. Xác suất để cả hai người cùng bắn không trúng bằng
A. .
B. .
C. .
D. .
Câu 9. Cho a > 0, b > 0 và x, y là các số thực bất kỳ. Đẳng thức nào sau đúng?
A. .
B. .
C. .
D. .
Câu 10. Cho biểu thức P = , (x > 0). Mệnh đề nào dưới đây đúng?
A. .
B. .
C. .
D. .
Câu 11. Cho . Mệnh đề nào dưới đây đúng?
A. a < b < c.
B. a < c < b.
C. c < a < b.
D. b < a < c.
Câu 12. Giá trị của biểu thức log42 là:
A. 1.
B. 2.
C. .
D. .
Câu 13. Cho a, b, c là các số dương và a ≠ 1, khẳng định nào sau đây sai?
A. .
B. .
C. .
D. .
Câu 14. Trong các hàm số sau, hàm số nào là hàm số mũ?
A. y = x4.
B. y = (π)x.
C. y = log2x.
D. y = (x - 1)-2.
Câu 15. Đồ thị sau là của hàm số nào?
A. .
B. .
C. .
D. .
Câu 16. Ông An gửi 100 triệu đồng vào tiết kiệm ngân hàng theo thể thức lãi kép trong một thời gian khá lâu mà không rút ra với lãi suất ổn định trong mấy chục năm qua là 10%/1 năm. Tết năm nay do ông kẹt tiền nên rút hết ra để gia đình đón Tết. Sau khi rút cả vốn lẫn lãi, ông trích ra gần 10 triệu đồng để mua đồ Tết trong nhà thì ông còn 250 triệu đồng. Hỏi ông đã gửi tiết kiệm bao nhiêu lâu?
A. 10 năm.
B. 17 năm.
C. 15 năm.
D. 20 năm.
Câu 17. Tìm tập nghiệm S của phương trình 2x+1 = 8.
A. S = {1}.
B. S = {-1}.
C. S = {4}.
D. S = {2}.
Câu 18. Số nghiệm của phương trình là
A. 2.
B. 3.
C. 9.
D. 1.
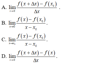
Câu 19. Giới hạn (nếu tồn tại) nào sau đây dùng để định nghĩa đạo hàm của hàm số y = f(x) tại x0?
A. .
B. .
C. .
D. .
Câu 20. Cho hàm số f(x) = x2 + 1. Tính đạo hàm của hàm số tại điểm x0 = 2.
A. 3.
B. 4.
C. 2.
D. 5.
Câu 21. Giả sử u = u(x), v = v(x) là các hàm số có đạo hàm tại điểm x thuộc khoảng xác định. Đạo hàm của hàm số là
A. .
B. .
C. .
D. .
Câu 22. Giả sử v = v(x) là các hàm số có đạo hàm tại điểm x thuộc khoảng xác định. Đạo hàm của hàm số là
A. .
B. .
C. .
D. .
Câu 23. Trong các công thức sau, công thức nào đúng?
A. (sinx)' = cosx.
B. (sinx)' = - cosx.
C. (cosx)' = sinx.
D. (sinx)' = sinx.
Câu 24. Đạo hàm của hàm số là
A. .
B. .
C. .
D. .
Câu 25. Đạo hàm của hàm số y = cot(2x - 1) là
A. .
B. .
C. .
D. .
Câu 26. Đạo hàm cấp hai của hàm số f(x) = x2 bằng biểu thức nào sau đây?
A. 2.
B. x.
C. 3.
D. 2x.
Câu 27. Trong các mệnh đề sau, mệnh đề nào đúng?
A. Hai đường thẳng cùng vuông góc với một đường thẳng thì song song với nhau.
B. Một đường thẳng vuông góc với một trong hai đường thẳng vuông góc với nhau thì song song với đường thẳng còn lại.
C. Hai đường thẳng cùng vuông góc với một đường thẳng thì vuông góc với nhau.
D. Một đường thẳng vuông góc với một trong hai đường thẳng song song thì vuông góc với đường thẳng kia.
Câu 28. Khẳng định nào sau đây sai?
A. Nếu đường thẳng d vuông góc với hai đường thẳng cắt nhau nằm trong (α) thì d vuông góc với bất kì đường thẳng nào nằm trong (α).
B. Nếu đường thẳng d ⊥ (α) thì d vuông góc với hai đường thẳng trong (α).
C. Nếu đường thẳng d vuông góc với hai đường thẳng nằm trong (α) thì d ⊥ (α).
D. Nếu d ⊥ (α) và đường thẳng d // (α) thì d ⊥ (α).
Câu 29. Cho tứ diện OABC có OA, OB, OC đôi một vuông góc với nhau. Gọi H là hình chiếu của O trên mặt phẳng (ABC). Mệnh đề nào sau đây đúng?
A. H là trung điểm của AC.
B. H là trọng tâm tam giác ABC.
C. H là trung điểm của BC.
D. H là trực tâm của tam giác ABC.
Câu 30. Khẳng định nào ĐÚNG trong các khẳng định sau:
A. Nếu đường thẳng a cắt một đường thẳng d ⊂ (P) thì góc giữa a và d là góc giữa đường thẳng a và (P).
B. Nếu đường thẳng a không vuông góc với (P) thì góc giữa a và hình chiếu a' của a trên (P) gọi là góc giữa đường thẳng a và (P).
C. Nếu đường thẳng a vuông góc với đường thẳng d ⊂ (P) thì góc giữa a và d là góc giữa đường thẳng a và (P).
D. Nếu đường thẳng a song song với đường thẳng d ⊂ (P) thì góc giữa a và d là góc giữa đường thẳng a và (P).
Câu 31. Cho hình lập phương ABCD.A'B'C'D' có cạnh bằng a. Giá trị sin của góc nhị diện [A',BD,A]
A. .
B. .
C. .
D. .
Câu 32. Hai mặt phẳng được gọi là vuông góc với nhau nếu
A. mọi đường thẳng nằm trong mặt phẳng này đều vuông góc với mặt phẳng kia.
B. mặt phẳng này chứa một đường thẳng vuông góc với mặt phẳng kia.
C. mặt phẳng này chứa một đường thẳng song song với mặt phẳng kia.
D. mọi đường thẳng nằm trong mặt phẳng này đều song song với mặt phẳng kia.
Câu 33. Đường vuông góc chung của hai đường thẳng chéo nhau a và b là:
A. Đường thẳng vừa vuông góc với a và vuông góc với b.
B. Đường thẳng vừa vuông góc, vừa cắt hai đường thẳng chéo nhau a và b.
C. Đường thẳng vuông góc với a và cắt đường thẳng b.
D. Đường thẳng vuông góc với b và cắt đường thẳng a.
Câu 34. Cho khối chóp diện tích đáy bằng S và chiều cao h. Khi đó thể tích V của khối chóp bằng:
A. .
B. .
C. V = S.h.
D. .
Câu 35. Cho hình chóp S.ABC có đáy ABC là tam giác vuông cân tại B và AB = 2a. Tam giác SAB đều và nằm trong mặt phẳng vuông góc với đáy. Tính thể tích V của khối chóp S.ABC
A. .
B. .
C. .
D. .
II. Tự luận (3 điểm)
Bài 1. (1 điểm) Cho hình chóp S.ABCD có ABCD là hình chữ nhật cạnh AB = a, AD = , SA ⊥ ABCD góc giữa SC và mặt phẳng (ABCD) bằng 60°. Gọi M là trung điểm của cạnh SB.
a) Chứng minh (SAB) ⊥ (SAD).
b) Tính khoảng cách từ điểm M tới mặt phẳng (ABCD).
Bài 2. (1 điểm) Một chất điểm chuyển động có phương trình , trong đó t được tính bằng giây, s được tính bằng mét.
a) Tính vận tốc của chất điểm tại thời điểm t = 1(s)
b) Tính gia tốc của chất điểm tại thời điểm vận tốc bằng 24 (m/s).
Bài 3. (1 điểm) Cho a, b là các số dương thỏa mãn . Tính giá trị .
-----HẾT-----
Xem thử Đề thi CK2 Toán 11 KNTT Xem thử Đề thi CK2 Toán 11 CTST Xem thử Đề thi CK2 Toán 11 CD
Lưu trữ: Đề thi Học kì 2 Toán 11 (sách cũ)
Xem thêm đề thi Toán 11 có đáp án hay khác:
Xem thêm đề thi lớp 11 các môn học có đáp án hay khác:
Tài liệu giáo án lớp 11 các môn học chuẩn khác:
Để học tốt lớp 11 các môn học sách mới:
- Giải bài tập Lớp 11 Kết nối tri thức
- Giải bài tập Lớp 11 Chân trời sáng tạo
- Giải bài tập Lớp 11 Cánh diều
Đã có app VietJack trên điện thoại, giải bài tập SGK, SBT Soạn văn, Văn mẫu, Thi online, Bài giảng....miễn phí. Tải ngay ứng dụng trên Android và iOS.
Theo dõi chúng tôi miễn phí trên mạng xã hội facebook và youtube:Nếu thấy hay, hãy động viên và chia sẻ nhé! Các bình luận không phù hợp với nội quy bình luận trang web sẽ bị cấm bình luận vĩnh viễn.
- Giáo án lớp 11 (các môn học)
- Giáo án điện tử lớp 11 (các môn học)
- Giáo án Toán 11
- Giáo án Ngữ văn 11
- Giáo án Tiếng Anh 11
- Giáo án Vật Lí 11
- Giáo án Hóa học 11
- Giáo án Sinh học 11
- Giáo án Lịch Sử 11
- Giáo án Địa Lí 11
- Giáo án KTPL 11
- Giáo án HĐTN 11
- Giáo án Tin học 11
- Giáo án Công nghệ 11
- Giáo án GDQP 11
- Đề thi lớp 11 (các môn học)
- Đề thi Ngữ Văn 11 (có đáp án)
- Chuyên đề Tiếng Việt lớp 11
- Đề cương ôn tập Văn 11
- Đề thi Toán 11 (có đáp án)
- Đề thi Toán 11 cấu trúc mới
- Đề cương ôn tập Toán 11
- Đề thi Tiếng Anh 11 (có đáp án)
- Đề thi Tiếng Anh 11 mới (có đáp án)
- Đề thi Vật Lí 11 (có đáp án)
- Đề thi Hóa học 11 (có đáp án)
- Đề thi Sinh học 11 (có đáp án)
- Đề thi Lịch Sử 11
- Đề thi Địa Lí 11 (có đáp án)
- Đề thi KTPL 11
- Đề thi Tin học 11 (có đáp án)
- Đề thi Công nghệ 11
- Đề thi GDQP 11 (có đáp án)


Giải bài tập SGK & SBT
Tài liệu giáo viên
Sách
Khóa học
Thi online
Hỏi đáp

