10+ Đề thi khảo sát chất lượng đầu năm Toán 11 năm 2025 (có lời giải)
Tuyển chọn Đề thi khảo sát chất lượng đầu năm Toán 11 năm 2025 chọn lọc, có lời giải dùng chung cho sách mới Kết nối tri thức, Chân trời sáng tạo, Cánh diều được các Giáo viên nhiều năm kinh nghiệm biên soạn và sưu tầm từ đề thi KSCL đầu năm Toán 11 của các trường THPT. Hi vọng bộ đề thi này sẽ giúp học sinh ôn tập và đạt kết quả cao trong các bài thi khảo sát chất lượng đầu năm môn Toán 11.
10+ Đề thi khảo sát chất lượng đầu năm Toán 11 năm 2025 (có lời giải)
Chỉ từ 60k mua trọn bộ đề khảo sát chất lượng đầu năm Toán 11 theo cấu trúc mới bản word có lời giải chi tiết, trình bày đẹp mắt, dễ dàng chỉnh sửa:
- B1: gửi phí vào tk:
1133836868- CT TNHH DAU TU VA DV GD VIETJACK - Ngân hàng MB (QR) - B2: Nhắn tin tới Zalo VietJack Official - nhấn vào đây để thông báo và nhận đề thi
Đề thi khảo sát chất lượng đầu năm Toán 11 năm 2024-2025 Sở GD&ĐT Hà Nội
Đề thi khảo sát chất lượng đầu năm Toán 11 năm 2024-2025 Sở GD&ĐT Thái Bình
Đề thi khảo sát chất lượng đầu năm Toán 11 năm 2024-2025 trường THPT Thanh Miện 2
Đề thi khảo sát chất lượng đầu năm Toán 11 năm 2024-2025 trường THPT Thuận Thành Số 1
Đề thi khảo sát chất lượng đầu năm Toán 11 năm 2023-2024 trường THPT Chuyên Hùng Vương
Đề thi khảo sát chất lượng đầu năm Toán 11 năm 2024-2025 trường THPT Triệu Sơn 3
Đề thi khảo sát chất lượng đầu năm Toán 11 năm 2024-2025 trường THPT Lê Văn Thịnh
Đề thi khảo sát chất lượng đầu năm Toán 11 năm 2024-2025 trường THPT Trần Quang Khải
Đề thi khảo sát chất lượng đầu năm Toán 11 năm 2024-2025 trường THPT Quang Hà
Đề thi khảo sát chất lượng đầu năm Toán 11 năm 2024-2025 trường THPT Tiên Du Số 1
Phòng Giáo dục và Đào tạo .....
Đề thi khảo sát chất lượng đầu năm
Năm 2025
Bài thi môn: Toán 11
Thời gian làm bài: 90 phút
(Đề số 1)
A. TRẮC NGHIỆM
PHẦN I. Câu trắc nghiệm nhiều phương án lựa chọn. Thí sinh trả lời từ câu 1 đến câu 12. Mỗi câu thí sinh chỉ chọn một phương án.
Câu 1. Gieo một đồng xu cân đối đồng chất liên tiếp 2 lần. Không gian mẫu trong phép thử trên là
A. .
B. .
C. .
D. .
Câu 2. Tập nghiệm của bất phương trình x2 - 5x + 4 < 0 là
A. S = [1; 4].
B. S = (1; 4).
C.
D. .
Câu 3. Để đi từ Thọ Xuân (Thanh Hóa) vào Nha Trang (Khánh Hòa) có thể đi bằng một trong các phương tiện: Máy bay hoặc Ôtô. Biết rằng mỗi ngày từ Thọ Xuân vào Nha Trang có:
Trong một ngày, số cách lựa chọn phương tiện để đi từ Thọ Xuân vào Nha Trang là
A. 30.
B. 13.
C. 310.
D. 103.
Câu 4. Góc có số đo đổi sang độ là:
A. 240°
B. 72°
C. 270°
D. 135°
Câu 5. Trong các hàm số sau, hàm số nào có tập xác định không phải là tập ℝ?
A. .
B. 5x3 + 2024x - 2023.
C. .
D. .
Câu 6. Trong mặt phẳng Oxy, giả sử lần lượt là vectơ pháp tuyến của đường thẳng x. Gọi là góc giữa hai đường thẳng . Chọn mệnh đề đúng.
A. .
B. .
C. .
D. .
Câu 7. Trong mặt phẳng Oxy, cho đường tròn (C) có phương trình x2 + y2 - 6x + 2y + 6 = 0. Tọa độ tâm I của đường tròn (C) là
A. I (-3; 1).
B. I (6; -2).
C. I (-6; 2).
D. I (3; -1).
Câu 8. Trong mặt phẳng Oxy, khoảng cách từ điểm M (3; -1) đến đường thẳng là
A. .
B. .
C. .
D. .
Câu 9. Cho hình chóp S.ABCD có đáy ABCD là hình thang với AB // CD. Trên cạnh SB lấy điểm M. Gọi I là giao điểm của AC và BD; P là giao điểm của DM và SI. Giao tuyến của hai mặt phẳng (ADM) và (SAC) là
A. DP
B. SI.
C. AP.
D. DM.
Câu 10. Biết . Tính sin2x.
A. .
B.
C. .
D. .
Câu 11. Số cách xếp 6 bạn nam và 5 bạn nữ thành một hàng dọc là
A. 6!.5!.
B. 30!.
C. 11!.
D. 30.
Câu 12. Cho . Giá trị của cos2x có dạng là phân số tối giản. Tính a + b ta được kết quả là
A. -18.
B. 32.
C. 6.
D. 18.
PHẦN II. Câu trắc nghiệm đúng sai. Thí sinh trả lời từ câu 1 đến câu 4. Trong mỗi ý a), b), c), d) ở mỗi câu, thí sinh chọn đúng (Đ) hoặc sai (S)
Câu 1. Trong hộp có 15 viên bi trắng, 5 viên bi đen có kích thước và khối lượng như nhau. Xét phép thử lấy ngẫu nhiên từ trong hộp 3 viên bi.
a) Số phần tử của không gian mẫu là .
b) Xác suất để chọn được 3 viên bi cùng màu là .
c) Xác suất để trong 3 viên bi được chọn có đúng 2 viên bi trắng là .
d) Xác suất để để trong 3 viên bi được chọn có ít nhất một viên bi đen là
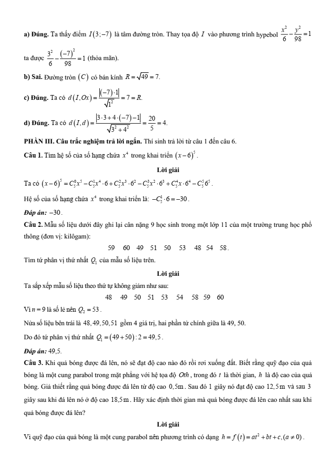
Câu 2. Trong mặt phẳng toạ độ Oxy, cho đường tròn (C): (x - 3)2 + (y + 7)2 = 49
a) Tâm của đường tròn (C) thuộc hypebol .
b) Đường tròn (C) có bán kính R = 49
c) Đường tròn (C) tiếp xúc với trục hoành.
d) Khoảng cách từ tâm của đường tròn (C) đến đường thẳng d: 3x + 4y - 1 = 0 bằng 4.
PHẦN III. Câu trắc nghiệm trả lời ngắn. Thí sinh trả lời từ câu 1 đến câu 6.
Câu 1. Tìm hệ số của số hạng chứa x4 trong khai triển (x - 6)5.
Câu 2. Mẫu số liệu dưới đây ghi lại cân nặng 9 học sinh trong một lớp 11 của một trường trung học phổ thông (đơn vị: kilôgam):
Tìm tứ phân vị thứ nhất của mẫu số liệu trên.
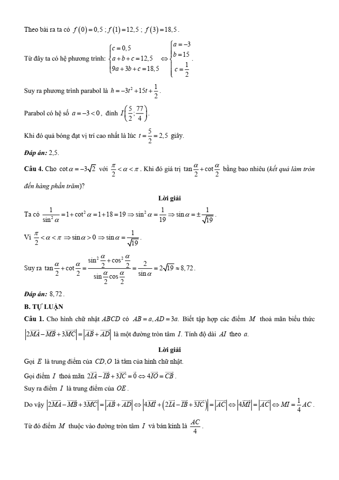
Câu 3. Khi quả bóng được đá lên, nó sẽ đạt độ cao nào đó rồi rơi xuống đất. Biết rằng quỹ đạo của quả bóng là một cung parabol trong mặt phẳng với hệ tọa độ Oth, trong đó t là thời gian, h là độ cao của quả bóng. Giả thiết rằng quả bóng được đá lên từ độ cao 0,5m. Sau đó 1 giây nó đạt độ cao 12,5m và sau 3 giây sau khi đá lên nó ở độ cao 18,5m. Hãy xác định thời gian mà quả bóng được đá lên cao nhất sau khi quả bóng được đá lên?
Câu 4. Cho với . Khi đó giá trị bằng bao nhiêu (kết quả làm tròn đến hàng phần trăm)?
B. TỰ LUẬN
Câu 1. Cho hình chữ nhật ABCD có Ab = a, AD = 3a Biết tập hợp các điểm M thoả mãn biểu thức là một đường tròn tâm I. Tính độ dài AI theo
Câu 2. Nhà vòm chứa máy bay có mặt cắt đứng là một nửa hình elip cao 10 m và rộng 24 m. Tính khoảng cách theo phương thẳng đứng từ một điểm trên sàn nhà cách chân tường 4 m lên đến mái vòm.
Câu 3. Cho hai hình bình hành ANCD và ABEF không cùng nằm trong một mặt phẳng. Trên cạnh AC lấy điểm M và trên cạnh BF lấy điểm N sao cho . Tìm k để MN // DE.
-----------------Hết-----------------
................................
................................
................................
Trên đây tóm tắt một số nội dung miễn phí trong bộ đề thi khảo sát chất lượng đầu năm Toán 11 năm 2026 mới nhất, để mua tài liệu trả phí đầy đủ, Thầy/Cô vui lòng xem thử:
Xem thêm đề thi Toán 11 có đáp án hay khác:
Xem thêm đề thi KSCL đầu năm các môn học có đáp án hay khác:
- Đề thi khảo sát chất lượng đầu năm Ngữ Văn 6 (10 đề)
- Đề thi khảo sát chất lượng đầu năm Văn 7 (10 đề)
- Đề Khảo sát chất lượng đầu năm Văn 8 (5 đề)
- Đề thi khảo sát chất lượng đầu năm Toán lớp 2 (6 đề)
- Đề thi khảo sát chất lượng đầu năm Toán lớp 3
- Đề thi khảo sát chất lượng đầu năm Toán 6 (5 đề)
- Đề thi khảo sát chất lượng đầu năm Toán 7 (3 đề)
- Đề thi khảo sát chất lượng đầu năm Toán 8 (3 đề)
- Đề thi khảo sát chất lượng đầu năm Toán 10 (3 đề)
- Đề thi khảo sát chất lượng đầu năm Toán 12 (3 đề)
Xem thêm đề thi lớp 11 các môn học có đáp án hay khác:
Tài liệu giáo án lớp 11 các môn học chuẩn khác:
Để học tốt lớp 11 các môn học sách mới:
- Giải bài tập Lớp 11 Kết nối tri thức
- Giải bài tập Lớp 11 Chân trời sáng tạo
- Giải bài tập Lớp 11 Cánh diều
Tủ sách VIETJACK shopee lớp 10-11 (cả 3 bộ sách):
Đã có app VietJack trên điện thoại, giải bài tập SGK, SBT Soạn văn, Văn mẫu, Thi online, Bài giảng....miễn phí. Tải ngay ứng dụng trên Android và iOS.
Theo dõi chúng tôi miễn phí trên mạng xã hội facebook và youtube:Nếu thấy hay, hãy động viên và chia sẻ nhé! Các bình luận không phù hợp với nội quy bình luận trang web sẽ bị cấm bình luận vĩnh viễn.
- Giáo án lớp 11 (các môn học)
- Giáo án điện tử lớp 11 (các môn học)
- Giáo án Toán 11
- Giáo án Ngữ văn 11
- Giáo án Tiếng Anh 11
- Giáo án Vật Lí 11
- Giáo án Hóa học 11
- Giáo án Sinh học 11
- Giáo án Lịch Sử 11
- Giáo án Địa Lí 11
- Giáo án KTPL 11
- Giáo án HĐTN 11
- Giáo án Tin học 11
- Giáo án Công nghệ 11
- Giáo án GDQP 11
- Đề thi lớp 11 (các môn học)
- Đề thi Ngữ Văn 11 (có đáp án)
- Chuyên đề Tiếng Việt lớp 11
- Đề cương ôn tập Văn 11
- Đề thi Toán 11 (có đáp án)
- Đề thi Toán 11 cấu trúc mới
- Đề cương ôn tập Toán 11
- Đề thi Tiếng Anh 11 (có đáp án)
- Đề thi Tiếng Anh 11 mới (có đáp án)
- Đề thi Vật Lí 11 (có đáp án)
- Đề thi Hóa học 11 (có đáp án)
- Đề thi Sinh học 11 (có đáp án)
- Đề thi Lịch Sử 11
- Đề thi Địa Lí 11 (có đáp án)
- Đề thi KTPL 11
- Đề thi Tin học 11 (có đáp án)
- Đề thi Công nghệ 11
- Đề thi GDQP 11 (có đáp án)


Giải bài tập SGK & SBT
Tài liệu giáo viên
Sách
Khóa học
Thi online
Hỏi đáp

