Đề thi khảo sát chất lượng đầu năm Toán 11 năm 2024-2025 trường THPT Triệu Sơn 3
Bài viết cập nhật Đề thi khảo sát chất lượng đầu năm Toán 11 năm 2024-2025 trường THPT Triệu Sơn 3 có lời giải giúp học sinh ôn tập và đạt kết quả cao trong các bài thi khảo sát chất lượng đầu năm môn Toán 11.
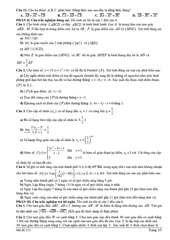
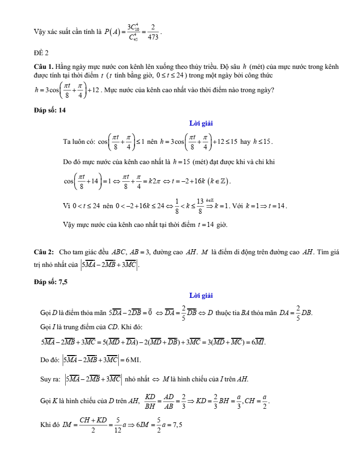
Đề thi khảo sát chất lượng đầu năm Toán 11 năm 2024-2025 trường THPT Triệu Sơn 3
Chỉ từ 60k mua trọn bộ đề khảo sát chất lượng đầu năm Toán 11 theo cấu trúc mới bản word có lời giải chi tiết, trình bày đẹp mắt, dễ dàng chỉnh sửa:
- B1: gửi phí vào tk:
1133836868- CT TNHH DAU TU VA DV GD VIETJACK - Ngân hàng MB (QR) - B2: Nhắn tin tới Zalo VietJack Official - nhấn vào đây để thông báo và nhận đề thi
Xem thêm đề thi khảo sát chất lượng đầu năm Toán 11 có đáp án hay khác:
Đề thi khảo sát chất lượng đầu năm Toán 11 năm 2024-2025 Sở GD&ĐT Hà Nội
Đề thi khảo sát chất lượng đầu năm Toán 11 năm 2024-2025 Sở GD&ĐT Thái Bình
Đề thi khảo sát chất lượng đầu năm Toán 11 năm 2024-2025 trường THPT Thanh Miện 2
Đề thi khảo sát chất lượng đầu năm Toán 11 năm 2024-2025 trường THPT Thuận Thành Số 1
Đề thi khảo sát chất lượng đầu năm Toán 11 năm 2023-2024 trường THPT Chuyên Hùng Vương
Đề thi khảo sát chất lượng đầu năm Toán 11 năm 2024-2025 trường THPT Lê Văn Thịnh
Đề thi khảo sát chất lượng đầu năm Toán 11 năm 2024-2025 trường THPT Trần Quang Khải
Đề thi khảo sát chất lượng đầu năm Toán 11 năm 2024-2025 trường THPT Quang Hà
Đề thi khảo sát chất lượng đầu năm Toán 11 năm 2024-2025 trường THPT Tiên Du Số 1
Để học tốt lớp 11 các môn học sách mới:
- Giải bài tập Lớp 11 Kết nối tri thức
- Giải bài tập Lớp 11 Chân trời sáng tạo
- Giải bài tập Lớp 11 Cánh diều
Tủ sách VIETJACK shopee lớp 10-11 (cả 3 bộ sách):
Đã có app VietJack trên điện thoại, giải bài tập SGK, SBT Soạn văn, Văn mẫu, Thi online, Bài giảng....miễn phí. Tải ngay ứng dụng trên Android và iOS.
Theo dõi chúng tôi miễn phí trên mạng xã hội facebook và youtube:Nếu thấy hay, hãy động viên và chia sẻ nhé! Các bình luận không phù hợp với nội quy bình luận trang web sẽ bị cấm bình luận vĩnh viễn.
- Giáo án lớp 11 (các môn học)
- Giáo án điện tử lớp 11 (các môn học)
- Giáo án Toán 11
- Giáo án Ngữ văn 11
- Giáo án Tiếng Anh 11
- Giáo án Vật Lí 11
- Giáo án Hóa học 11
- Giáo án Sinh học 11
- Giáo án Lịch Sử 11
- Giáo án Địa Lí 11
- Giáo án KTPL 11
- Giáo án HĐTN 11
- Giáo án Tin học 11
- Giáo án Công nghệ 11
- Giáo án GDQP 11
- Đề thi lớp 11 (các môn học)
- Đề thi Ngữ Văn 11 (có đáp án)
- Chuyên đề Tiếng Việt lớp 11
- Đề cương ôn tập Văn 11
- Đề thi Toán 11 (có đáp án)
- Đề thi Toán 11 cấu trúc mới
- Đề cương ôn tập Toán 11
- Đề thi Tiếng Anh 11 (có đáp án)
- Đề thi Tiếng Anh 11 mới (có đáp án)
- Đề thi Vật Lí 11 (có đáp án)
- Đề thi Hóa học 11 (có đáp án)
- Đề thi Sinh học 11 (có đáp án)
- Đề thi Lịch Sử 11
- Đề thi Địa Lí 11 (có đáp án)
- Đề thi KTPL 11
- Đề thi Tin học 11 (có đáp án)
- Đề thi Công nghệ 11
- Đề thi GDQP 11 (có đáp án)


Giải bài tập SGK & SBT
Tài liệu giáo viên
Sách
Khóa học
Thi online
Hỏi đáp

