Đề thi Học kì 2 Toán 11 trường THPT Chế Lan Viên (Quảng Trị) năm 2024-2025
Với đề thi Học kì 2 Toán 11 trường THPT Chế Lan Viên, Quảng Trị năm 2024-2025 có đáp án sẽ giúp học sinh lớp 11 ôn tập và đạt điểm cao trong bài thi Toán 11.
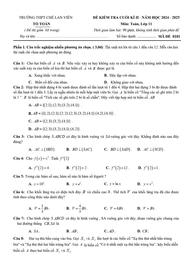
Đề thi Học kì 2 Toán 11 trường THPT Chế Lan Viên (Quảng Trị) năm 2024-2025
Xem thử Đề thi CK2 Toán 11 KNTT Xem thử Đề thi CK2 Toán 11 CTST Xem thử Đề thi CK2 Toán 11 CD
Chỉ từ 150k mua trọn bộ đề thi Toán 11 Học kì 2 theo cấu trúc mới bản word có lời giải chi tiết, dễ dàng chỉnh sửa:
- B1: gửi phí vào tk:
1133836868- CT TNHH DAU TU VA DV GD VIETJACK - Ngân hàng MB (QR) - B2: Nhắn tin tới Zalo VietJack Official - nhấn vào đây để thông báo và nhận giáo án
................................
................................
................................
Xem thử Đề thi CK2 Toán 11 KNTT Xem thử Đề thi CK2 Toán 11 CTST Xem thử Đề thi CK2 Toán 11 CD
Xem thêm đề thi Toán 11 Học kì 2 các trường trên cả nước hay khác:
Đề thi Học kì 2 Toán 11 trường THPT Hướng Hóa (Quảng Trị) năm 2024-2025
Đề thi Học kì 2 Toán 11 trường THPT Lý Thái Tổ (Bắc Ninh) năm 2024-2025
Đề thi Học kì 2 Toán 11 trường chuyên Thoại Ngọc Hầu (An Giang) năm 2024-2025
Đề thi Học kì 2 Toán 11 trường THPT Quế Sơn (Quảng Nam) năm 2024-2025
Đề thi Học kì 2 Toán 11 trường THPT Phạm Thành Trung (Tiền Giang) năm 2024-2025
Đề thi Học kì 2 Toán 11 trường THPT Trần Quang Khải (Bà Rịa - Vũng Tàu) năm 2024-2025
Đề thi Học kì 2 Toán 11 trường THPT Xuyên Mộc (Bà Rịa - Vũng Tàu) năm 2024-2025
Đề thi Học kì 2 Toán 11 trường THPT Ngô Gia Tự (Phú Yên) năm 2024-2025
Để học tốt lớp 11 các môn học sách mới:
- Giải bài tập Lớp 11 Kết nối tri thức
- Giải bài tập Lớp 11 Chân trời sáng tạo
- Giải bài tập Lớp 11 Cánh diều
Tủ sách VIETJACK shopee lớp 10-11 (cả 3 bộ sách):
Đã có app VietJack trên điện thoại, giải bài tập SGK, SBT Soạn văn, Văn mẫu, Thi online, Bài giảng....miễn phí. Tải ngay ứng dụng trên Android và iOS.
Theo dõi chúng tôi miễn phí trên mạng xã hội facebook và youtube:Nếu thấy hay, hãy động viên và chia sẻ nhé! Các bình luận không phù hợp với nội quy bình luận trang web sẽ bị cấm bình luận vĩnh viễn.
- Giáo án lớp 11 (các môn học)
- Giáo án điện tử lớp 11 (các môn học)
- Giáo án Toán 11
- Giáo án Ngữ văn 11
- Giáo án Tiếng Anh 11
- Giáo án Vật Lí 11
- Giáo án Hóa học 11
- Giáo án Sinh học 11
- Giáo án Lịch Sử 11
- Giáo án Địa Lí 11
- Giáo án KTPL 11
- Giáo án HĐTN 11
- Giáo án Tin học 11
- Giáo án Công nghệ 11
- Giáo án GDQP 11
- Đề thi lớp 11 (các môn học)
- Đề thi Ngữ Văn 11 (có đáp án)
- Chuyên đề Tiếng Việt lớp 11
- Đề cương ôn tập Văn 11
- Đề thi Toán 11 (có đáp án)
- Đề thi Toán 11 cấu trúc mới
- Đề cương ôn tập Toán 11
- Đề thi Tiếng Anh 11 (có đáp án)
- Đề thi Tiếng Anh 11 mới (có đáp án)
- Đề thi Vật Lí 11 (có đáp án)
- Đề thi Hóa học 11 (có đáp án)
- Đề thi Sinh học 11 (có đáp án)
- Đề thi Lịch Sử 11
- Đề thi Địa Lí 11 (có đáp án)
- Đề thi KTPL 11
- Đề thi Tin học 11 (có đáp án)
- Đề thi Công nghệ 11
- Đề thi GDQP 11 (có đáp án)


Giải bài tập SGK & SBT
Tài liệu giáo viên
Sách
Khóa học
Thi online
Hỏi đáp

