Đề kiểm tra 15 phút Đại số 11 Chương 4 có đáp án (Đề 1)
Đề kiểm tra Đại Số 11 - Học kì 2
Thời gian làm bài: 15 phút
Câu 1: Giá trị của.
bằng:
Câu 2: Tính
Câu 3: Tính
Câu 4: Tính tổng
Câu 5: Hãy viết số thập phân vô hạn tuần hoàn sau dưới dạng một phân số. α = 34,1212… (chu kỳ 12)
Câu 6: Tính
Câu 7: Giá trị của
bằng:
Câu 8: Giá trị của
bằng:
Câu 9: Giá trị của
bằng:
Câu 10: Cho dãy số un với
Chọn kết quả đúng của un là:
Câu 11:
Câu 12: Tính giới hạn:
Câu 13: Chọn kết quả đúng của
Câu 14: Giá trị đúng của (3n - 5n) là:
Câu 15:
Đáp án & Hướng dẫn giải
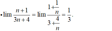
Câu 1:
- Ta có:
Chọn C
Câu 2:
Chọn D
Câu 3:
Chọn B
Câu 4:
- Xét dãy:
là cấp số nhân
Chọn C.
Câu 5:
Chọn A.
Câu 6:
- Mà:
Chọn B
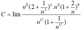
Câu 7:
- Ta có:
Chọn C.
Câu 8:
- Ta có:
Chọn D.
Câu 9:
Chọn C.
Câu 10:
- Ta có:
Chọn B.
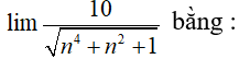
Câu 11:
- Ta có:
- Nhưng:
- Nên :
Chọn C.
Câu 12:
- Ta có : 1 + 3 + 5 + ... + (2n + 1) là tổng của cấp số cộng có n số hạng với u1 = 1 và công sai d = 2
- Do đó:
- Suy ra:
Chọn B
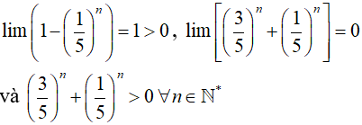
Câu 13:
- Ta có:
Chọn C
Câu 14:
- Ta có:
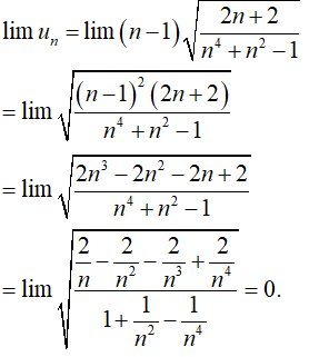
Câu 15:
- Ta có:
- Nhưng:
- Nên:
Chọn A.
Xem thêm các đề thi Toán 11 Đại số, Hình học có đáp án hay khác:
- Đề kiểm tra 15 phút Đại số 11 Chương 4 có đáp án (Đề 2)
- Đề kiểm tra 15 phút Đại số 11 Chương 4 có đáp án (Đề 3)
- Đề kiểm tra 15 phút Đại số 11 Chương 4 có đáp án (Đề 4)
Để học tốt lớp 11 các môn học sách mới:
- Giải bài tập Lớp 11 Kết nối tri thức
- Giải bài tập Lớp 11 Chân trời sáng tạo
- Giải bài tập Lớp 11 Cánh diều
Tủ sách VIETJACK shopee lớp 10-11 (cả 3 bộ sách):
Đã có app VietJack trên điện thoại, giải bài tập SGK, SBT Soạn văn, Văn mẫu, Thi online, Bài giảng....miễn phí. Tải ngay ứng dụng trên Android và iOS.
Theo dõi chúng tôi miễn phí trên mạng xã hội facebook và youtube:Nếu thấy hay, hãy động viên và chia sẻ nhé! Các bình luận không phù hợp với nội quy bình luận trang web sẽ bị cấm bình luận vĩnh viễn.
- Giáo án lớp 11 (các môn học)
- Giáo án điện tử lớp 11 (các môn học)
- Giáo án Toán 11
- Giáo án Ngữ văn 11
- Giáo án Tiếng Anh 11
- Giáo án Vật Lí 11
- Giáo án Hóa học 11
- Giáo án Sinh học 11
- Giáo án Lịch Sử 11
- Giáo án Địa Lí 11
- Giáo án KTPL 11
- Giáo án HĐTN 11
- Giáo án Tin học 11
- Giáo án Công nghệ 11
- Giáo án GDQP 11
- Đề thi lớp 11 (các môn học)
- Đề thi Ngữ Văn 11 (có đáp án)
- Chuyên đề Tiếng Việt lớp 11
- Đề cương ôn tập Văn 11
- Đề thi Toán 11 (có đáp án)
- Đề thi Toán 11 cấu trúc mới
- Đề cương ôn tập Toán 11
- Đề thi Tiếng Anh 11 (có đáp án)
- Đề thi Tiếng Anh 11 mới (có đáp án)
- Đề thi Vật Lí 11 (có đáp án)
- Đề thi Hóa học 11 (có đáp án)
- Đề thi Sinh học 11 (có đáp án)
- Đề thi Lịch Sử 11
- Đề thi Địa Lí 11 (có đáp án)
- Đề thi KTPL 11
- Đề thi Tin học 11 (có đáp án)
- Đề thi Công nghệ 11
- Đề thi GDQP 11 (có đáp án)


Giải bài tập SGK & SBT
Tài liệu giáo viên
Sách
Khóa học
Thi online
Hỏi đáp

