6+ Đề thi Giữa kì 1 Vật lí 11 Cánh diều (cấu trúc mới, có đáp án)
Với bộ 6+ đề thi Vật lí 11 Giữa kì 1 Cánh diều năm 2026 theo cấu trúc mới có đáp án và ma trận được biên soạn và chọn lọc từ đề thi Vật lí 11 của các trường THPT trên cả nước sẽ giúp học sinh lớp 11 ôn tập và đạt kết quả cao trong các bài thi Giữa học kì 1 Vật lí 11.
6+ Đề thi Giữa kì 1 Vật lí 11 Cánh diều (cấu trúc mới, có đáp án)
Chỉ từ 90k mua trọn bộ Đề thi Giữa kì 1 Vật lí 11 Cánh diều theo cấu trúc mới bản word có lời giải chi tiết:
- B1: gửi phí vào tk:
1133836868- CT TNHH DAU TU VA DV GD VIETJACK - Ngân hàng MB (QR) - B2: Nhắn tin tới Zalo VietJack Official - nhấn vào đây để thông báo và nhận đề thi
Sở Giáo dục và Đào tạo ...
Đề thi Giữa kì 1 - Cánh diều
năm 2025
Môn: Vật Lí 11
Thời gian làm bài: phút
(Đề số 1)
A. TRẮC NGHIỆM KHÁCH QUAN
PHẦN I. Câu trắc nghiệm nhiều phương án lựa chọn. Thí sinh trả lời từ câu 1 đến câu 12. Mỗi câu hỏi thí sinh chỉ lựa chọn một phương án.
Câu 1: Chu kì dao động điều hòa của một vật là khoảng thời gian để vật
A. lặp lại vị trí 2 lần liên tiếp.
B. thực hiện một dao động toàn phần.
C. lặp lại vectơ vận tốc 2 lần liên tiếp.
D. lặp lại vị trí và vectơ gia tốc 2 lần liên tiếp.
Câu 2: Dao động cơ học đổi chiều khi
A. lực tác dụng có độ lớn cực đại.
B. lực tác dụng đổi chiều.
C. lực tác dụng có độ lớn cực tiểu.
D. lực tác dụng bằng không.
Câu 3: Một chất điểm khối lượng m = 100 g dao động điều hòa với biên độ bằng 10 cm. Biết chu kì dao động của chất điểm bằng 1 s. Tính độ lớn lực cực đại tác dụng lên vật trong quá trình dao động.
A. 0,2 N.
B. 0,4 N.
C. 40 000 N.
D. 40 N.
Câu 4: Một vật nhỏ có khối lượng bằng 500 g đang dao động điều hòa trên trục Ox. Biết khi vật ở tọa độ x thì hợp lực tác dụng lên vật được xác định theo biểu thức F = -4x. Chu kỳ và tần số của dao động lần lượt là
A.
B.
C.
D.
Câu 5: Cho một lò xo có độ cứng k. Khi gắn lò xo với vật nhỏ có khối lượng m1 thì tần số dao động điều hòa của con lắc bằng 3 Hz. Khi gắn lò xo với vật nhỏ có khối lượng m1 thì tần số dao động điều hòa của con lắc bằng 4 Hz. Khi gắn lò xo với vật nhỏ có khối lượng (m1 + m2) thì tần số dao động điều hòa của con lắc bằng
A. 5,32 Hz.
B. 1,24 Hz.
C. 7,04 Hz.
D. 5,76 Hz.
Câu 6: Cho một lò xo có độ cứng k. Khi gắn lò xo với vật nhỏ có khối lượng (m1 + m2) thì tần số dao động điều hòa của con lắc bằng 2 Hz. Nếu gắn lò xo với vật nhỏ có khối lượng (m1 - m2) thì tần số dao động điều hòa của con lắc bằng 4 Hz. Chu kỳ dao động của con lắc trong hai trường hợp, khi gắn lò xo với vật có khối lượng m1 và khi gắn lò xo với vật có khối lượng m2 tương ứng bằng
A. 0,3539 s; 0,3062 s.
B. 0,3593 s; 0,3206 s.
C. 0,3953 s; 0,3206 s.
D. 0,3953 s; 0,3062 s.
Câu 7: Khi đưa một con lắc đơn lên cao theo phương thẳng đứng (coi chiều dài con lắc không đổi) thì tần số dao động điều hòa của nó sẽ:
A. không đổi vì chu kỳ của dao động điều hòa không phụ thuộc vào gia tốc trọng trường.
B. giảm vì gia tốc trọng trường giảm theo độ cao.
C. tăng vì tần số dao động điều hòa tỉ lệ nghịch với gia tốc trọng trường.
D. tăng vì chu kỳ dao động điều hòa của nó giảm.
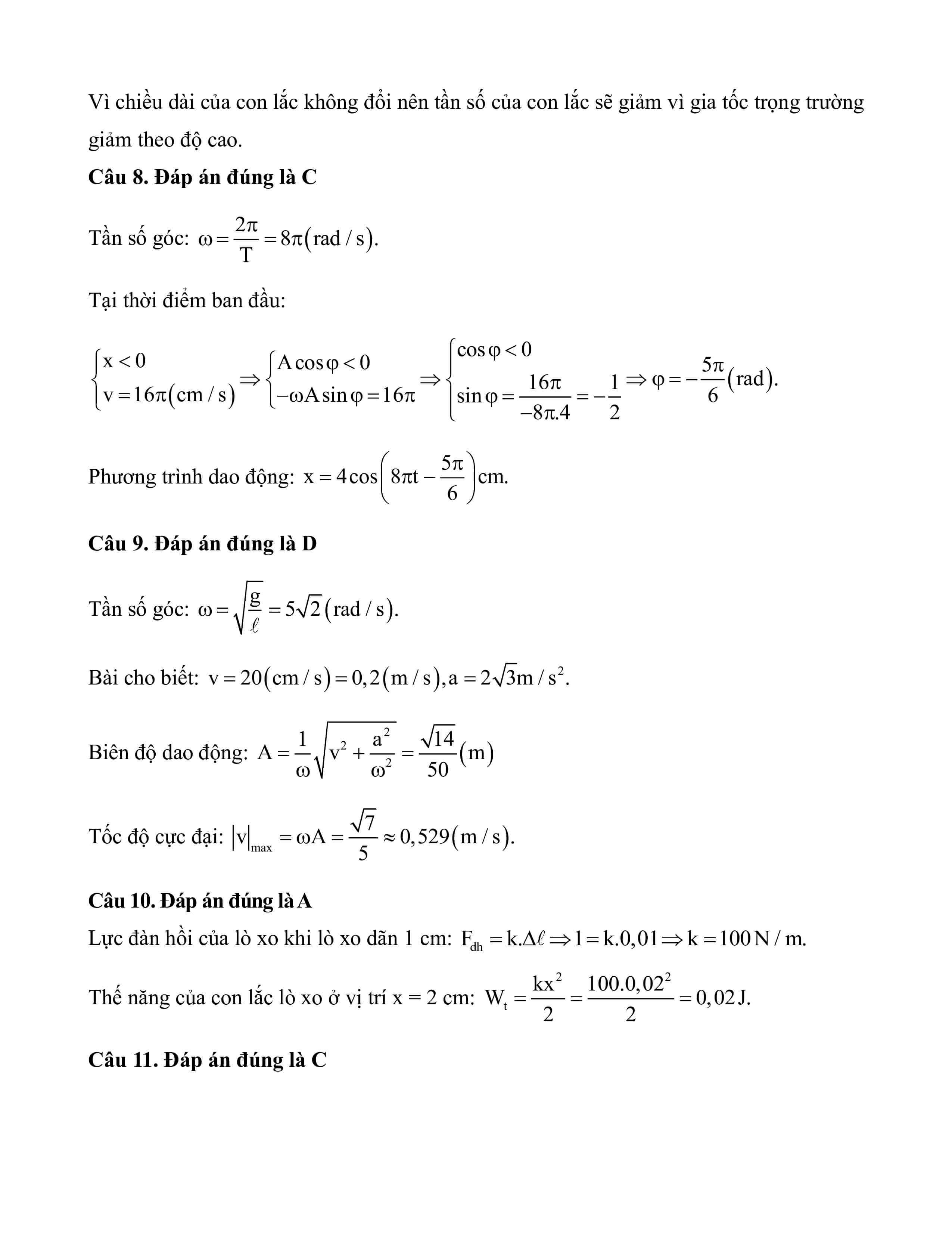
Câu 8: Một chất điểm đang dao động điều hòa trên trục Ox với chu kì bằng 0,25 s và biên độ bằng 4 cm quanh vị trí cân bằng là gốc tọa độ O. Tại thời điểm ban đầu, t = 0, chất điểm có li độ âm và đang chuyển động với vận tốc 16π cm/s. Phương trình dao động của chất điểm là
A.
B.
C.
D.
Câu 9: Một con lắc đơn lý tưởng có độ dài dây treo bằng 20 cm, treo tại nơi có gia tốc trọng trường bằng 10 m/s2, đang dao động điều hòa. Tại một thời điểm, vận tốc và gia tốc tức thời của quả nặng lần lượt là 20 cm/s và Tốc độ cực đại của quả nặng trong quá trình dao động bằng
A. 20,59 cm/s.
B. 0,785 m/s.
C. 0,765 m/s.
D. 0,529 m/s.
Câu 10: Một lò xo bị dãn 1 cm khi chịu tác dụng một lực là 1 N. Nếu kéo dãn lò xo khỏi vị trí cân bằng một đoạn 2 cm thì thế năng của lò xo này là:
A. 0,02 J.
B. 1 J.
C. 0,4 J.
D. 0,04 J.
Câu 11: Chọn phát biểu đúng:
A. Dao động duy trì là dao động tắt dần mà người ta làm mất lực cản của môi trường.
B. Dao động duy trì là dao động tắt dần mà người ta tác dụng ngoại lực biến đổi điều hòa theo thời gian vào vật dao động.
C. Dao động duy trì là dao động tắt dần được cấp bù năng lượng sau mỗi chu kì một phần năng lượng đúng bằng phần năng lượng tiêu hao do ma sát mà không làm thay đổi chu kì riêng của nó.
D. Dao động duy trì là dao động tắt dần mà người ta kích thích lại dao động khi nó tắt hẳn.
Câu 12: Khi nói về dao động cưỡng bức đã ổn định, phát biểu nào sau đây là sai?
A. Dao động cưỡng bức có tần số luôn bằng tần số của lực cưỡng bức.
B. Biên độ của dao động cưỡng bức phụ thuộc vào biên độ của lực cưỡng bức.
C. Dao động cưỡng bức có tần số luôn bằng tần số riêng của hệ dao động.
D. Biên độ của dao động cưỡng bức phụ thuộc vào tần số của lực cưỡng bức.
PHẦN II. Câu trắc nghiệm đúng sai. Thí sinh trả lời từ câu 1 đến câu 2. Trong mỗi ý a), b), c), d) ở mỗi câu, thí sinh chọn đúng hoặc sai
Câu 1: Một con lắc đơn gồm vật nặng có khối lượng m được treo vào sợi dây có chiều dài bằng 40 cm tại nơi có gia tốc trọng trường bằng 10 m/s2. Kích thích cho con lắc dao động điều hòa với biên độ góc bằng 5o. Phát biểu nào đúng, phát biểu nào sai?
a) Tần số góc là 5 rad.
b) Biên độ dao động của con lắc là
c) Vận tốc cực đại của vật nặng là 0,17 m/s.
d) Gia tốc cực đại của vật nặng là 0,87 m/s.
Câu 2: Hình chiếu của một chất điểm chuyển động tròn đều lên một đường kính của quỹ đạo có chuyển động là dao động điều hòa. Phát biểu nào đúng, phát biểu nào sai?
a) Tần số góc của dao động điều hòa bằng tốc độ góc của chuyển động tròn đều.
b) Biên độ của dao động điều hòa bằng bán kính của chuyển động tròn đều.
c) Lực kéo về trong dao động điều hòa có độ lớn bằng độ lớn lực hướng tâm trong chuyển động tròn đều.
d) Tốc độ cực đại của dao động điều hòa gấp hai lần tốc độ dài của chuyển động tròn đều.
PHẦN III. Câu trắc nghiệm trả lời ngắn. Thí sinh trả lời từ câu 1 đến câu 4
Câu 1: Con lắc lò xo có độ cứng k = 80 N/m, dao động điều hòa với biên độ A = 10 cm. Động năng khi vật qua vị trí có li độ 2 cm là bao nhiêu?
Câu 2: Tại nơi có gia tốc trọng trường bằng 9,8 m/s2, một con lắc đơn có chiều dài dây treo bằng 39,2 cm, đang dao động điều hòa với biên độ góc bằng 0,05 rad. Tại thời điểm, khi vận tốc của con lắc bằng 2,4 cm/s thì gia tốc của con lắc có độ lớn xấp xỉ bằng bao nhiêu?
Câu 3: Một vật dao động điều hoà, khi vật có li độ 4 cm thì vận tốc là 30π cm/s còn khi vật có li độ 3 cm thì vận tốc là 40π cm/s. Biên độ và tần số của dao động bằng bao nhiêu?
Câu 4: Một chất điểm dao động điều hòa có đồ thị li độ như hình vẽ. Tìm phương trình dao động của vật?
B. TỰ LUẬN
Câu 1: Một con lắc lò xo dao động điều hoà đi được 40 cm trong thời gian một chu kì dao động. Con lắc có động năng gấp ba lần thế năng tại vị trí có li độ bằng bao nhiêu?
Câu 2: Một con lắc đơn khối lượng 200 g dao động nhỏ với chu kỳ T = 1 s, quỹ đạo coi như thẳng có chiều dài 4 cm. Chọn mốc thế năng ở vị trí cân bằng. Tìm thế năng của vật tại vị trí
Câu 3: Một con lắc đơn có độ dài bằng . Trong khoảng thời gian nó thực hiện 12 dao động. Khi giảm độ dài của nó bớt 21 cm, trong cùng khoảng thời gian như trên, con lắc thực hiện 16 dao động. Độ dài ban đầu của con lắc là bao nhiêu?
Sở Giáo dục và Đào tạo ...
Đề thi Giữa kì 1 - Cánh diều
năm 2025
Môn: Vật Lí 11
Thời gian làm bài: phút
(Đề số 2)
Câu 1: Một lò xo có độ cứng ban đầu là k, quả cầu khối lượng m. Khi giảm độ cứng 3 lần và tăng khối lượng vật lên 3 lần thì chu kì mới
A. Giảm 3 lần.
B. Tăng 3 lần.
C. Giảm 9 lần.
D. Không đổi.
Câu 2: Vật dao động điều hòa có phương trình x = cm. Vật tốc vật đạt được khi đến vị trí cân bằng là
A. 0,4 cm/s.
B. 2,5 cm/s.
C. 0,4 m/s.
D. 40 m/s.
Câu 3: Một vật dao động điều hoà theo phương trình x = 2cos(4pt - )cm. Li độ và vận tốc của vật ở thời điểm t = 0,5 s là:
A. cm và -4π cm/s.
B. 1 cm và 4π cm/s.
C. cm và 4π cm/s.
D. cm và 4π cm/s.
Câu 4: Một vật dao động điều hoà với biên độ 4 cm. Khi nó có li độ 2 cm thì vận tốc là 1 m/s. Tần số dao động là:
A. ≈ 1 Hz.
B. ≈ 1,2 Hz.
C. ≈ 4,6 Hz.
D. ≈ 3 Hz.
Câu 5: Con lắc lò xo nằm ngang có độ cứng k = 45 N/m. Kích thích vật dao động điều hòa trên đoạn thẳng dài nhất là 4 cm, khi dao động đến biên vật đạt gia tốc 18 m/s2. Bỏ qua mọi lực cản. Khối lượng của vật là
A. 450 g.
B. 250 g.
C. 75 g.
D. 50 g.
Câu 6: Con lắc lò xo gồm lò xo có độ cứng k = 100 N/m, vật nặng có khối lượng m = 100 g dao động điều hòa theo phương ngang. Lấy . Chu kì dao động bằng
A. 1 s.
B. 2 s.
C. 0,1 s.
D. 0,2 s.
Câu 7: Một vật dao động điều hòa với biên độ A = 4 cm tần số góc ω. Chọn gốc thời gian là lúc vật đi qua vị trí có li độ x = 2 cm và đang đi theo chiều âm. Phương trình dao động của vật là
A. x = 2cos(ωt - ) cm.
B. x = 4cos(ωt + ) cm.
C. x = 4cos(ωt + ) cm.
D. x = 2cos(ωt - ) cm.
Câu 8: Chu kì dao động nhỏ của con lắc đơn phụ thuộc vào
A. chiều dài dây treo con lắc.
B. điều kiện kích thích ban đầu cho con lắc dao động.
C. biên độ dao động của con lắc.
D. khối lượng của con lắc.
Câu 9: Một con lắc đơn có độ dài 1 m dao động với chu kì 2 s. Tại cùng một vị trí thì con lắc đơn dài 3 m sẽ dao động với chu kì:
A. 6 s.
B. 4,24 s.
C. 3,46 s.
D. 1,5 s.
Câu 10: Con lắc đơn có chiều dài , trong khoảng thời gian ∆t thực hiện được 40 dao động. Nếu tăng chiều dài dây của dây treo thêm 19 cm, thì cũng trong khoảng thời gian trên con lắc chỉ thực hiện được 36 dao động. Chiều dài lúc đầu của con lắc là:
A. = 64 cm.
B. = 19 cm.
C. = 36 cm.
D. = 81 cm.
Câu 11: Dao động cơ học đổi chiều khi
A. lực tác dụng có độ lớn cực đại.
B. lực tác dụng đổi chiều.
C. lực tác dụng có độ lớn cực tiểu.
D. lực tác dụng bằng không.
Câu 12: Nhận xét nào sau đây không đúng?
A. Biên độ dao động cưỡng bức đạt cực đại khi tần số của lực cưỡng bức bằng tần số dao động riêng của vật.
B. Dao động tắt dần càng nhanh nếu lực cản của môi trường càng lớn.
C. Dao động cưỡng bức có tần số bằng tần số của lực cưỡng bức.
D. Biên độ của dao động cưỡng bức không phụ thuộc tần số của lực cưỡng bức.
Câu 13: Tại cùng một nơi trên Trái Đất, con lắc đơn có chiều dài dao động điều hòa với chu kì 2 s, con lắc đơn có chiều dài 2 dao động điều hòa với chu kì:
A. s.
B. s.
C. 2 s.
D. 4 s.
Câu 14: Một lò xo rất nhẹ đặt thẳng đứng, đầu trên gắn cố định, đầu dưới gắn vật nhỏ khối lượng m. Chọn trục Ox thẳng đứng hướng xuống, gốc tọa độ O tại vị trí cân bằng của vật. Lấy g = 10 m/s2. Vật dao động điều hòa trên trục Ox với phương trình x = cm. Khi vật ở vị trí cao nhất thì lực đàn hồi của lò xo có độ lớn bằng
A. 1,0 N.
B. 0 N.
C. 1,8 N.
D. 0,1 N.
Câu 15: Một vật dao động điều hòa với biên độ A và cơ năng W. Mốc thế năng của vật ở vị trí cân bằng. Khi vật đi qua vị trí có li độ A thì động năng của vật là
A. W.
B. W.
C. W.
D. W.
Câu 16: Một chất điểm dao động điều hòa trên trục Ox. Vectơ gia tốc của chất điểm có
A. độ lớn không đổi, chiều luôn hướng về vị trí cân bằng.
B. độ lớn tỉ lệ với độ lớn của li độ, chiều luôn hướng về vị trí cân bằng.
C. độ lớn cực đại ở vị trí biên, chiều luôn hướng ra biên.
D. độ lớn cực tiểu khi qua vị trí cân bằng luôn cùng chiều với vectơ vận tốc.
Câu 17: Tại một nơi xác định, hai con lắc đơn có độ dài l1 và l2 dao động điều hoà với tần số tương ứng f1 và f2. Tỉ số bằng
A. .
B. .
C. .
D. .
Câu 18: Một vật dao động điều hòa trên đoạn thẳng MN dài 10 cm với tần số 20 Hz. Chọn gốc thời gian lúc vật qua vị trí cân bằng theo chiều dương của quỹ đạo. Phương trình dao động của vật là
A. x = (cm).
B. x = (cm).
C. x = (cm).
D. x = (cm).
Câu 19: Một vật dao động điều hoà theo phương trình x = (cm), pha dao động của chất điểm tại thời điểm t = 1 s.
A. 2π (rad).
B. π (rad).
C. 0,5π (rad).
D. 1,5π (rad).
Câu 20: Vật dao động điều hòa có phương trình x = Acos(ωt + φ). Gọi v và a lần lượt là vận tốc và gia tốc của vật. Hệ thức đúng là
A. .
B. .
C. .
D. .
Câu 21: Trong phương trình dao động điều hoà x = Acos(ωt + φ), đại lượng (ωt + φ) được gọi là
A. pha dao động.
B. tần số dao động.
C. biên độ dao động.
D. chu kì dao động.
Câu 22: Tại cùng một vị trí địa lý, nếu chiều dài của con lắc đơn tăng lên 4 lần thì chu kì dao động điều hòa của nó sẽ
A. giảm 4 lần.
B. tăng 2 lần.
C. giảm 2 lần.
D. tăng 4 lần.
Câu 23: Một chất điểm khối lượng m = 100 g, dao động điều hòa dọc theo trục Ox có phương trình x = 4cos(2t) cm. Cơ năng của chất điểm đó bằng
A. 3200 J.
B. 3,2 J.
C. 0,32 J.
D. 0,32 mJ.
Câu 24: Biểu thức tần số góc của con lắc lò xo dao động điều hòa là
A. ω = .
B. ω = .
C. ω = .
D. ω = .
Câu 25: Một vật dao động điều hòa với biên độ A và chu kỳ T. Biết rằng vật thực hiện 12 dao động hết 6 (s). Tốc độ của vật khi qua vị trí cân bằng là 8π (cm/s). Quãng đường lớn nhất vật đi được trong khoảng thời gian bằng chu kỳ T là
A. 8 cm.
B. 9 cm.
C. 6 cm.
D. 12 cm.
Câu 26: Con lắc lò xo treo thẳng đứng, tại vị trí cân bằng lò xo dãn ∆ℓo. Kích thích để quả nặng dao động điều hoà theo phương thẳng đứng với chu kỳ T. Thời gian lò xo bị giãn trong một chu kỳ là 2T/3. Biên độ dao động của vật là:
A. A = ∆ℓo.
B. A = ∆ℓo.
C. A = 2∆ℓo.
D. A = 1,5∆ℓo.
Câu 27: Một con lắc lò xo dao động điều hòa theo thẳng đứng với biên độ A = 10 cm. Tỉ số giữa lực cực đại và cực tiểu tác dụng vào điểm treo trong quá trình dao động là 7/3. Lấy g = π2 = 10 m/s2. Độ biến dạng của lò xo tại VTCB là Dℓ0
A. Dℓ0 = 2,5 cm.
B. Dℓ0 = 25 cm.
B. Dℓ0 = 5 cm.
D. Dℓ0 = 4 cm.
Câu 28: Một con lắc đơn có chiều dài 160 cm, dao động điều hòa với biên độ dài 16 cm. Biên độ góc của dao động là
A. 0,01 rad.
B. 0,1 rad.
C. 0,05 rad.
D. 0,5 rad.
Câu 29: Một chất điểm dao động điều hoà theo phương trình x = 2cos2πt cm; tại thời điểm t = s chất điểm có vận tốc bằng
A. -2π cm / s.
B. 2π cm / s.
C. cm / s.
D. cm / s.
Câu 30: Dao động cưỡng bức là dao động của hệ:
A. dưới tác dụng của lực quán tính.
B. dưới tác dụng của một ngoại lực biến thiên tuần hoàn theo thời gian.
C. dưới tác dụng của lực đàn hồi.
D. trong điều kiện không có lực ma sát.
BẢNG ĐÁP ÁN
|
1 – B |
2 – C |
3 – C |
4 – C |
5 – D |
6 – D |
7 – C |
8 – A |
9 – C |
10 – D |
|
11 – A |
12 – D |
13 – B |
14 - B |
15 – D |
16 – B |
17 – C |
18 – C |
19 – D |
20 – C |
|
21 – A |
22 – B |
23 – D |
24 – A |
25 – C |
26 – C |
27 – B |
28 – B |
29 – D |
30 – B |
................................
................................
................................
Trên đây tóm tắt một số nội dung miễn phí trong bộ Đề thi Vật lí 11 mới nhất, để mua tài liệu trả phí đầy đủ, Thầy/Cô vui lòng xem thử:
Tham khảo đề thi Vật lí 11 Cánh diều có đáp án hay khác:
Để học tốt lớp 11 các môn học sách mới:
- Giải bài tập Lớp 11 Kết nối tri thức
- Giải bài tập Lớp 11 Chân trời sáng tạo
- Giải bài tập Lớp 11 Cánh diều
Tủ sách VIETJACK shopee lớp 10-11 (cả 3 bộ sách):
Đã có app VietJack trên điện thoại, giải bài tập SGK, SBT Soạn văn, Văn mẫu, Thi online, Bài giảng....miễn phí. Tải ngay ứng dụng trên Android và iOS.
Theo dõi chúng tôi miễn phí trên mạng xã hội facebook và youtube:Nếu thấy hay, hãy động viên và chia sẻ nhé! Các bình luận không phù hợp với nội quy bình luận trang web sẽ bị cấm bình luận vĩnh viễn.
- Giáo án lớp 11 (các môn học)
- Giáo án điện tử lớp 11 (các môn học)
- Giáo án Toán 11
- Giáo án Ngữ văn 11
- Giáo án Tiếng Anh 11
- Giáo án Vật Lí 11
- Giáo án Hóa học 11
- Giáo án Sinh học 11
- Giáo án Lịch Sử 11
- Giáo án Địa Lí 11
- Giáo án KTPL 11
- Giáo án HĐTN 11
- Giáo án Tin học 11
- Giáo án Công nghệ 11
- Giáo án GDQP 11
- Đề thi lớp 11 (các môn học)
- Đề thi Ngữ Văn 11 (có đáp án)
- Chuyên đề Tiếng Việt lớp 11
- Đề cương ôn tập Văn 11
- Đề thi Toán 11 (có đáp án)
- Đề thi Toán 11 cấu trúc mới
- Đề cương ôn tập Toán 11
- Đề thi Tiếng Anh 11 (có đáp án)
- Đề thi Tiếng Anh 11 mới (có đáp án)
- Đề thi Vật Lí 11 (có đáp án)
- Đề thi Hóa học 11 (có đáp án)
- Đề thi Sinh học 11 (có đáp án)
- Đề thi Lịch Sử 11
- Đề thi Địa Lí 11 (có đáp án)
- Đề thi KTPL 11
- Đề thi Tin học 11 (có đáp án)
- Đề thi Công nghệ 11
- Đề thi GDQP 11 (có đáp án)


Giải bài tập SGK & SBT
Tài liệu giáo viên
Sách
Khóa học
Thi online
Hỏi đáp

