Đề cương ôn tập Học kì 2 Toán 6 trường THCS Nguyễn Bỉnh Khiêm (Hà Nội) năm 2025-2026

Với đề cương ôn tập Học kì 2 Toán 6 năm 2025-2026 trường THCS Nguyễn Bỉnh Khiêm, Hà Nội sẽ giúp học sinh lớp 6 ôn tập và đạt điểm cao trong bài thi Toán 6.

Đề cương ôn tập Học kì 2 Toán 6 trường THCS Nguyễn Bỉnh Khiêm (Hà Nội) năm 2025-2026

Xem thử Đề cương ôn tập Toán 6 CK2 KNTT Xem thử Đề cương ôn tập Toán 6 CK2 CTST Xem thử Đề cương ôn tập Toán 6 CK2 CD

Chỉ từ 80k mua trọn bộ đề cương ôn tập Toán 6 Học kì 2 theo cấu trúc mới bản word có lời giải chi tiết, trình bày đẹp mắt, dễ dàng chỉnh sửa:

Quảng cáo

Đề cương ôn tập Học kì 2 Toán 6 trường THCS Nguyễn Bỉnh Khiêm (Hà Nội) năm 2025-2026

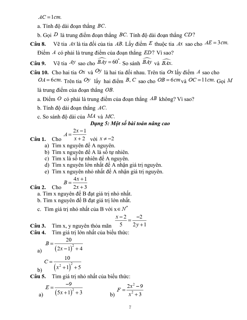
Đề cương ôn tập Học kì 2 Toán 6 trường THCS Nguyễn Bỉnh Khiêm (Hà Nội) năm 2025-2026

Đề cương ôn tập Học kì 2 Toán 6 trường THCS Nguyễn Bỉnh Khiêm (Hà Nội) năm 2025-2026

Đề cương ôn tập Học kì 2 Toán 6 trường THCS Nguyễn Bỉnh Khiêm (Hà Nội) năm 2025-2026

Đề cương ôn tập Học kì 2 Toán 6 trường THCS Nguyễn Bỉnh Khiêm (Hà Nội) năm 2025-2026

Đề cương ôn tập Học kì 2 Toán 6 trường THCS Nguyễn Bỉnh Khiêm (Hà Nội) năm 2025-2026

Đề cương ôn tập Học kì 2 Toán 6 trường THCS Nguyễn Bỉnh Khiêm (Hà Nội) năm 2025-2026

Đề cương ôn tập Học kì 2 Toán 6 trường THCS Nguyễn Bỉnh Khiêm (Hà Nội) năm 2025-2026

Xem thử Đề cương ôn tập Toán 6 CK2 KNTT Xem thử Đề cương ôn tập Toán 6 CK2 CTST Xem thử Đề cương ôn tập Toán 6 CK2 CD

Xem thêm các đề cương ôn tập Học kì 2 Toán 6 có đáp án, hay khác:

Đã có app VietJack trên điện thoại, giải bài tập SGK, SBT Soạn văn, Văn mẫu, Thi online, Bài giảng....miễn phí. Tải ngay ứng dụng trên Android và iOS.

Theo dõi chúng tôi miễn phí trên mạng xã hội facebook và youtube:

Nếu thấy hay, hãy động viên và chia sẻ nhé! Các bình luận không phù hợp với nội quy bình luận trang web sẽ bị cấm bình luận vĩnh viễn.


Đề thi, giáo án lớp 6 các môn học