Đề thi Giữa kì 1 Toán 6 THCS Ngọc Lâm (Hà Nội) năm 2025-2026
Với đề thi Giữa kì 1 Toán 6 năm 2025-2026 THCS Ngọc Lâm, Hà Nội có đáp án sẽ giúp học sinh lớp 6 ôn tập và đạt điểm cao trong bài thi Toán 6.
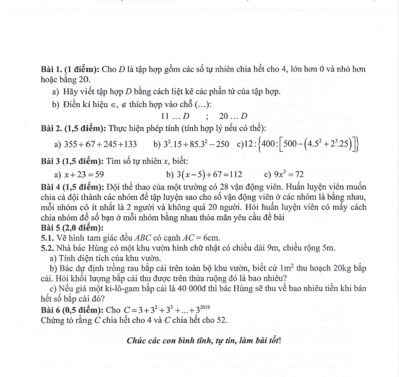
Đề thi Giữa kì 1 Toán 6 THCS Ngọc Lâm (Hà Nội) năm 2025-2026
Xem thử Đề thi GK1 Toán 6 KNTT Xem thử Đề thi GK1 Toán 6 CTST Xem thử Đề thi GK1 Toán 6 CD
Chỉ từ 150k mua trọn bộ Đề thi Toán 6 Giữa kì 1 (mỗi bộ sách) theo cấu trúc mới bản word có lời giải chi tiết:
- B1: gửi phí vào tk:
1133836868- CT TNHH DAU TU VA DV GD VIETJACK - Ngân hàng MB (QR) - B2: Nhắn tin tới Zalo VietJack Official - nhấn vào đây để thông báo và nhận giáo án
Xem thử Đề thi GK1 Toán 6 KNTT Xem thử Đề thi GK1 Toán 6 CTST Xem thử Đề thi GK1 Toán 6 CD
Xem thêm các đề thi Giữa kì 1 Toán 6 năm 2025-2026 có đáp án, hay khác:
Đề thi Giữa kì 1 Toán 6 trường THCS&THPT Lương thế Vinh năm 2025-2026
Đề thi Giữa kì 1 Toán 6 THCS Nguyễn Bỉnh Khiêm năm 2025-2026
Tủ sách VIETJACK shopee lớp 6-8 (2025):
Đã có app VietJack trên điện thoại, giải bài tập SGK, SBT Soạn văn, Văn mẫu, Thi online, Bài giảng....miễn phí. Tải ngay ứng dụng trên Android và iOS.
Theo dõi chúng tôi miễn phí trên mạng xã hội facebook và youtube:Nếu thấy hay, hãy động viên và chia sẻ nhé! Các bình luận không phù hợp với nội quy bình luận trang web sẽ bị cấm bình luận vĩnh viễn.
- Giáo án lớp 6 (các môn học)
- Giáo án điện tử lớp 6 (các môn học)
- Giáo án Ngữ văn 6
- Giáo án Toán 6
- Giáo án Tiếng Anh 6
- Giáo án Khoa học tự nhiên 6
- Giáo án Lịch Sử 6
- Giáo án Địa Lí 6
- Giáo án GDCD 6
- Giáo án Tin học 6
- Giáo án Công nghệ 6
- Giáo án HĐTN 6
- Giáo án Âm nhạc 6
- Giáo án Vật Lí 6
- Giáo án Sinh học 6
- Đề thi lớp 6 (các môn học)
- Đề thi Toán 6 (có đáp án)
- Đề cương ôn tập Toán lớp 6
- Chuyên đề dạy thêm Toán 6 năm 2024 (có lời giải)
- Đề thi Ngữ Văn 6 (có đáp án)
- Chuyên đề Tiếng Việt lớp 6
- Bộ Đề thi Tiếng Anh 6 (có đáp án)
- Bộ Đề thi Khoa học tự nhiên 6 (có đáp án)
- Đề thi Lịch Sử & Địa Lí 6 (có đáp án)
- Đề thi Địa Lí 6 (có đáp án)
- Đề thi Lịch Sử 6 (có đáp án)
- Đề thi GDCD 6 (có đáp án)
- Đề thi Tin học 6 (có đáp án)
- Đề thi Công nghệ 6 (có đáp án)
- Đề thi Toán Kangaroo cấp độ 3 (Lớp 5, 6)


Giải bài tập SGK & SBT
Tài liệu giáo viên
Sách
Khóa học
Thi online
Hỏi đáp

