Đề thi Giữa kì 2 Toán 6 phòng GD&ĐT thành phố Bắc Giang năm 2023-2024
Với đề thi Giữa kì 2 Toán 6 phòng GD&ĐT thành phố Bắc Giang năm 2023-2024 có đáp án sẽ giúp học sinh lớp 6 ôn tập và đạt điểm cao trong bài thi Toán 6.
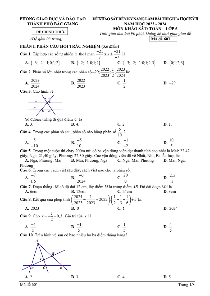
Đề thi Giữa kì 2 Toán 6 phòng GD&ĐT thành phố Bắc Giang năm 2023-2024
Xem thử Đề GK2 Toán 6 KNTT Xem thử Đề GK2 Toán 6 CTST Xem thử Đề GK2 Toán 6 CD
Chỉ từ 150k mua trọn bộ Đề thi Giữa kì 2 Toán 6 (mỗi bộ sách) theo cấu trúc mới bản word có lời giải chi tiết:
- B1: gửi phí vào tk:
1133836868- CT TNHH DAU TU VA DV GD VIETJACK - Ngân hàng MB (QR) - B2: Nhắn tin tới Zalo VietJack Official - nhấn vào đây để thông báo và nhận đề thi
................................
................................
................................
Xem thử Đề GK2 Toán 6 KNTT Xem thử Đề GK2 Toán 6 CTST Xem thử Đề GK2 Toán 6 CD
Xem thêm đề thi Toán 6 Giữa kì 2 các trường trên cả nước hay khác:
Đề thi Giữa kì 2 Toán 6 phòng GD&ĐT Lục Nam (Bắc Giang) năm 2023-2024
Đề thi Giữa kì 2 Toán 6 phòng GD&ĐT Hiệp Hòa (Bắc Giang) năm 2023-2024
Đề thi Giữa kì 2 Toán 6 phòng GD&ĐT Tân Yên (Bắc Giang) năm 2023-2024
Đề thi Giữa kì 2 Toán 6 trường THCS Song Mai (Bắc Giang) năm 2023-2024
Đề thi Giữa kì 2 Toán 6 trường THCS Nguyễn Thiện Thuật (Đà Nẵng) năm 2024-2025
Đề thi Giữa kì 2 Toán 6 trường THCS Phước An (Bình Định) năm 2023-2024
Đề thi Giữa kì 2 Toán 6 trường THCS&THPT Vàm Đình (Cà Mau) năm 2023-2024
Đề thi Giữa kì 2 Toán 6 phòng GD&ĐT thành phố Ninh Bình năm 2023-2024
Đề thi Giữa kì 2 Toán 6 phòng GD&ĐT Thạch Hà (Hà Tĩnh) năm 2023-2024
Đề thi Giữa kì 2 Toán 6 trường THCS Quỳnh Xuân (Nghệ An) năm 2023-2024
Tủ sách VIETJACK shopee lớp 6-8 (2025):
Đã có app VietJack trên điện thoại, giải bài tập SGK, SBT Soạn văn, Văn mẫu, Thi online, Bài giảng....miễn phí. Tải ngay ứng dụng trên Android và iOS.
Theo dõi chúng tôi miễn phí trên mạng xã hội facebook và youtube:Nếu thấy hay, hãy động viên và chia sẻ nhé! Các bình luận không phù hợp với nội quy bình luận trang web sẽ bị cấm bình luận vĩnh viễn.
- Giáo án lớp 6 (các môn học)
- Giáo án điện tử lớp 6 (các môn học)
- Giáo án Ngữ văn 6
- Giáo án Toán 6
- Giáo án Tiếng Anh 6
- Giáo án Khoa học tự nhiên 6
- Giáo án Lịch Sử 6
- Giáo án Địa Lí 6
- Giáo án GDCD 6
- Giáo án Tin học 6
- Giáo án Công nghệ 6
- Giáo án HĐTN 6
- Giáo án Âm nhạc 6
- Giáo án Vật Lí 6
- Giáo án Sinh học 6
- Đề thi lớp 6 (các môn học)
- Đề thi Toán 6 (có đáp án)
- Đề cương ôn tập Toán lớp 6
- Chuyên đề dạy thêm Toán 6 năm 2024 (có lời giải)
- Đề thi Ngữ Văn 6 (có đáp án)
- Chuyên đề Tiếng Việt lớp 6
- Bộ Đề thi Tiếng Anh 6 (có đáp án)
- Bộ Đề thi Khoa học tự nhiên 6 (có đáp án)
- Đề thi Lịch Sử & Địa Lí 6 (có đáp án)
- Đề thi Địa Lí 6 (có đáp án)
- Đề thi Lịch Sử 6 (có đáp án)
- Đề thi GDCD 6 (có đáp án)
- Đề thi Tin học 6 (có đáp án)
- Đề thi Công nghệ 6 (có đáp án)
- Đề thi Toán Kangaroo cấp độ 3 (Lớp 5, 6)


Giải bài tập SGK & SBT
Tài liệu giáo viên
Sách
Khóa học
Thi online
Hỏi đáp

