Đề cương ôn tập Giữa kì 1 Toán 7 trường THCS Thành Công năm 2026-2026
Với đề cương ôn tập Giữa kì 1 Toán 7 năm 2026-2026 trường THCS Thành Công, Hà Nội có đáp án sẽ giúp học sinh lớp 7 ôn tập và đạt điểm cao trong bài thi Toán 7.
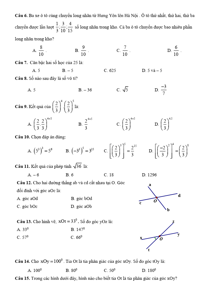
Đề cương ôn tập Giữa kì 1 Toán 7 trường THCS Thành Công năm 2026-2026
Xem thử Đề cương ôn tập Toán 7 GK1 KNTT Xem thử Đề cương ôn tập Toán 7 GK1 CTST Xem thử Đề cương ôn tập Toán 7 GK1 CD
Chỉ từ 80k mua trọn bộ đề cương ôn tập Toán 7 Giữa kì 1 theo cấu trúc mới bản word có lời giải chi tiết, trình bày đẹp mắt, dễ dàng chỉnh sửa:
- B1: gửi phí vào tk:
1133836868- CT TNHH DAU TU VA DV GD VIETJACK - Ngân hàng MB (QR) - B2: Nhắn tin tới Zalo VietJack Official - nhấn vào đây để thông báo và nhận giáo án
Xem thử Đề cương ôn tập Toán 7 GK1 KNTT Xem thử Đề cương ôn tập Toán 7 GK1 CTST Xem thử Đề cương ôn tập Toán 7 GK1 CD
Xem thêm các đề cương ôn tập Giữa kì 1 Toán 7 có đáp án, hay khác:
Đề cương ôn tập Giữa kì 1 Toán 7 trường THCS Phước Nguyên năm 2026-2026
Đề cương ôn tập Giữa kì 1 Toán 7 trường THCS Nguyễn Văn Linh năm 2026-2026
Đề cương ôn tập Giữa kì 1 Toán 7 trường THCS Tô Hoàng năm 2026-2026
Đề cương ôn tập Giữa kì 1 Toán 7 trường THCS Hòa Ninh năm 2026-2026
Lời giải bài tập lớp 7 sách mới:
- Giải bài tập Lớp 7 Kết nối tri thức
- Giải bài tập Lớp 7 Chân trời sáng tạo
- Giải bài tập Lớp 7 Cánh diều
Đã có app VietJack trên điện thoại, giải bài tập SGK, SBT Soạn văn, Văn mẫu, Thi online, Bài giảng....miễn phí. Tải ngay ứng dụng trên Android và iOS.
Theo dõi chúng tôi miễn phí trên mạng xã hội facebook và youtube:Tuyển tập Đề thi các môn học lớp 7 năm 2025 học kì 1, học kì 2 được các Giáo viên hàng đầu biên soạn bám sát chương trình và cấu trúc ra đề thi trắc nghiệm và tự luận mới.
Nếu thấy hay, hãy động viên và chia sẻ nhé! Các bình luận không phù hợp với nội quy bình luận trang web sẽ bị cấm bình luận vĩnh viễn.
- Giáo án lớp 7 (các môn học)
- Giáo án điện tử lớp 7 (các môn học)
- Giáo án Toán 7
- Giáo án Ngữ văn 7
- Giáo án Tiếng Anh 7
- Giáo án Khoa học tự nhiên 7
- Giáo án Lịch Sử 7
- Giáo án Địa Lí 7
- Giáo án GDCD 7
- Giáo án Tin học 7
- Giáo án Công nghệ 7
- Giáo án HĐTN 7
- Giáo án Hoạt động trải nghiệm 7
- Giáo án Vật Lí 7
- Giáo án Sinh học 7
- Giáo án Hóa học 7
- Giáo án Âm nhạc 7
- Đề thi lớp 7 (các môn học)
- Đề thi Ngữ Văn 7 (có đáp án)
- Chuyên đề Tiếng Việt lớp 7
- Đề thi Toán 7 (có đáp án)
- Đề cương ôn tập Toán 7
- Đề thi Tiếng Anh 7 (có đáp án)
- Đề thi Khoa học tự nhiên 7 (có đáp án)
- Đề thi Lịch Sử & Địa Lí 7 (có đáp án)
- Đề thi Địa Lí 7 (có đáp án)
- Đề thi Lịch Sử 7 (có đáp án)
- Đề thi GDCD 7 (có đáp án)
- Đề thi Công nghệ 7 (có đáp án)
- Đề thi Tin học 7 (có đáp án)


Giải bài tập SGK & SBT
Tài liệu giáo viên
Sách
Khóa học
Thi online
Hỏi đáp

